- •Лабораторные работы
- •"Электротехника и основы электроники" Электрические машины
- •Лабораторная работа № 6 испытание однофазного двухобмоточного силового трансформатора
- •Программа работы
- •Пояснения к работе
- •Лабораторная работа № 7
- •Пояснения к работе
- •Лабораторная работа № 8 испытание трехфазного асинхронного двигателя с фазным ротором
- •Контрольные вопросы
- •Лабораторная работа № 9 испытание генератора постоянного тока с параллельным возбуждением
- •Программа работы
- •Контрольные вопросы
- •Лабораторная работа № 10 испытание двигателя постоянного тока с параллельным возбуждением
- •Пояснения к работе
- •Лабораторная работа № 11 исследование синхронной машины
- •Программа работы
- •Пояснения к работе
- •Контрольные вопросы
- •Лабораторные работы по курсу
МИНИСТЕРСТВО ОБРАЗОВАНИЯ И НАУКИ РОССИЙСКОЙ ФЕДЕРАЦИИ
Федеральное агентство по образованию
Южно-Российский государственный технический университет
(Новочеркасский политехнический институт)
Лабораторные работы
по курсу
"Электротехника и основы электроники" Электрические машины
Новочеркасск 2004
УДК 621.3.01 (076.5)
Рецензент – канд. техн. наук В.И. Рожков
Составители: Артюхова И.И., Наталевич К.В., Синельников Д.Е.,
|
Широбоков Н.А. |
|
|
Электрические машины: лабораторные работы по курсу "Электротехника и основы электроники". /Юж.-Рос. гос. техн. ун-т - Новочеркасск: ЮРГТУ, 2004. - 29 с.
Лабораторные работы по разделу «Электрические машины» представляют собой руководство по исследованию однофазного трансформатора, машин постоянного тока, асинхронных двигателей и синхронной машины в генераторном и двигательном режимах.
Работы включают элементы проблемного обучения, вычислительной тех-ники и предназначены для студентов неэлектротехнических специальностей.
ã
Южно-Российский государственный
технический
университет, 2004
ã
Коллектив авторов, 2004
Лабораторная работа № 6 испытание однофазного двухобмоточного силового трансформатора
Цель работы: изучить конструкцию и экспериментально определить основные параметры и характеристики трансформатора.
Программа работы
1.Ознакомиться с конструкцией и принципом действия трансформатора, с его паспортными данными.
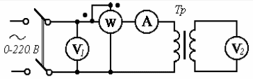
2. Собрать цепь по
схеме рис. 6.1 и осуществить режим холостого
хода при
:
измерить напряжения
и
,
ток
,
мощность
.
По результатам измерений определить
-
потери в стали сердечника (магнитные),
вычислить коэффициент трансформации
и
коэффициент мощности холостого хода
.
Данные измерений и вычислений занести
в табл. 6.1.
|
Рис. 6.1. Схема проведения опыта холостого хода
Таблица 6.1
Опыт холостого хода
Измерено |
Вычислено |
Примечание |
||||
U1н , В |
Рхх , Вт |
I1хх , А |
U2хх , В |
К |
|
|
|
|
|
|
|
|
|
|
|
|
|
|
|
|
|
|
|
|
|
|
( |
Собрать цепь по схеме рис. 6.2 и провести опыт короткого замыкания при
По результатам
измерений определить электрические
потери в обмотках трансформатора
,
напряжение короткого замыкания
(%)
и коэффициент трансформации. Данные
измерений и вычислений занести в табл.
6.2.
|
Рис. 6.2. Схема проведения опыта короткого замыкания
Таблица 6.2
Опыт короткого замыкания
Измерено |
Вычислено |
Примечание |
||||
U1к , В |
I1к , А |
Рк , Вт |
I2к , А |
К |
U1к , % |
|
|
|
|
|
|
I2к=I2н;
|
|
ВНИМАНИЕ !
При проведении опыта короткого замыкания
необходимо напряжение на первичной
обмотке трансформатора поднимать от
0 до
,
при котором
.
4. Собрать цепь по схеме рис. 6.3. Изменяя сопротивление нагрузки, увеличить ток во вторичной цепи трансформатора от нуля до номинального значения. Для каждого значения тока снять показания приборов и рассчитать КПД. Результаты измерений и вычислений занести в табл. 6.3.
|
Рис. 6.3. Схема для снятия внешней характеристики трансформатора
5. По данным
табл. 6.3 построить внешнюю характеристику
трансформатора
и объяснить, почему с ростом тока нагрузки
напряжение падает.
Построить
зависимость КПД от нагрузки трансформатора
Для упрощенной схемы замещения трансформатора получить, используя персональную ЭВМ, данные для построения внешних характери-
стик трансформатора
при тех же, что и в опыте п.4, значениях
тока
при
,
и при
,
.
Таблица 6.3
Нагрузочный режим
№ |
Измерено |
Вычислено |
Примечание |
|||||
п/п |
I1 , А |
U2 , В |
I2 , A |
Р2 Вт |
Вт |
Р1 , Вт |
|
|
1 |
|
|
|
|
|
|
|
|
2 |
|
|
|
|
|
|
|
|
3 |
|
|
|
|
|
|
|
|
4 |
|
|
|
|
|
|
|
|
5 |
|
|
|
|
|
|
|
|
Построение этих характеристик осуществить в одной системе координат с внешней характеристикой трансформатора, снятой опытным путем.
На основании
сравнения всех характеристик сделать
выводы о влиянии характера нагрузки
(
)
на величину напряжения
при том же токе
.
Вычислить КПД по данным п.6 для всех трех значений
и построить в одной системе координат
все три кривые
Сравнить их и сделать выводы о влиянии
характера нагрузки на КПД.
