- •Санкт-Петербург
- •Линейное программирование.
- •1. Краткие теоретические сведения Постановка задач
- •Основные понятия модели
- •Элементы теории двойственности
- •Способы решения
- •Алгоритм симплекс-метода
- •2. Пример выполнения задания №2
- •1) Постановка прямой задачи линейного программирования
- •2) Исследование модели с помощью дифференциальных коэффициентов ресурсоотдачи
- •3) Графический метод решения задачи лп
- •4) Графический метод решения параметрической задачи
- •5) Симплекс- метод решения задачи
- •6) Двойственная задача
- •7) Оформление отчёта
- •3. Рекомендации по использованию компьютерного обеспечения
Линейное программирование
Учебное пособие
Автор - кандидат физико-математических наук, доцент Махов А.М.
Санкт-Петербург
2014
Линейное программирование.
1. Краткие теоретические сведения Постановка задач
Решение прямой задачи линейного программирования отвечает на следующий вопрос:
при каких интенсивностях n процессов получения прибыли (оказании различных услуг, производственных процессов), в которых используются m видов ресурсов (факторов производства) с известными предельными интенсивностями использования этих ресурсов выручка от реализации (прибыль) будет максимальна в случае, когда интенсивность расхода каждого ресурса и интенсивность получения прибыли (выручки) в каждом из процессов линейно зависят от интенсивности этого процесса.
Решение двойственной к ней задачи отвечает на следующий вопрос:
при каких наименьших ценах на единицу ресурса экономическому агенту будет невыгодно дальнейшее расширение процесса получения прибыли за счёт приобретения новых объёмов дефицитных в сложившихся условиях экономической деятельности ресурсов.
Прямая задача линейного программирования может быть связана со следующей ситуацией. Имеются n способов получения прибыли (оказание n видов услуг) с объёмами xi (число штук i-й оказанных услуг). При этом используются m видов ресурсов, запас j-го из которых равен bj . При этом расход каждого ресурса j и величина прибыли в каждом из процессов i линейно зависят от количества оказанных услуг i-го вида с коэффициентами aji и ci , соответственно. Матрица А=(aji)mn по смыслу аналогична такой же из первой части и также называется матрицей технологических, или структурных коэффициентов. Тогда оптимальный по критерию максимума получения прибыли план может быть получен из решения следующей прямой задачи линейного программирования:
Этой задаче можно поставить в соответствие расширенную матрицу следующего вида:
(4.1)
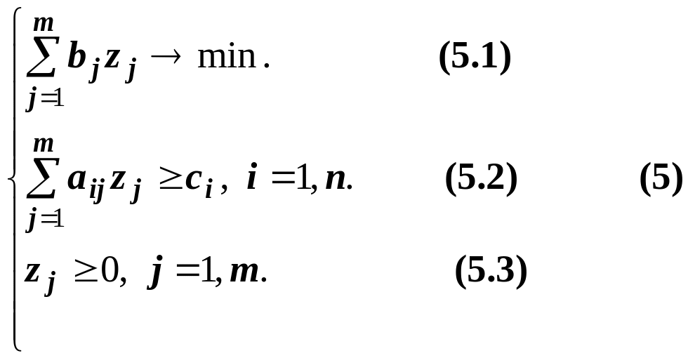
Двойственная к задаче (4) задача имеет следующий вид (zj – искомые предельные цены):
При такой формулировке двойственной задачи из условия минимизации цен вытекают (5.1) и (5.3), а из условия невыгодности продолжения деятельности прямо возникает условие превышения или равенства издержек над выручкой от реализации.
Основные понятия модели
Решение (план, программа)- набор, вектор конкретных значений всех переменных параметров управления модели – тех величин которые могут быть изменены по воле управляющего объектом моделирования. Решения бывают допустимые (реализуемые на практике), недопустимые (не реализуемые в силу существующих в модели ограничений) и оптимальные (лучшие из допустимых).
Целевая функция L(x) – математическое выражение, связывающее факторы (параметры) модели. Экономический смысл целевой функции отражает критерий оптимальности – показатель, имеющий экономическое содержание и служащий формализацией конкретной цели управления, например: максимизация прибыли (строка 1 в (4)), максимизация качества продукции или минимизация издержек (5.1).
Система ограничений модели – пределы, ограничивающие область допустимых (приемлемых, осуществимых) решений, фиксирующие основные внутренние и внешние свойства объекта, связанные с целью оптимизации. Уравнения связи (типа fj(x)<bj)– математическая формализация системы ограничений (строки 2 и 3 в (4), (5.2 , 5.3) ). Система ограничений отражает экономический смысл уравнений связи.
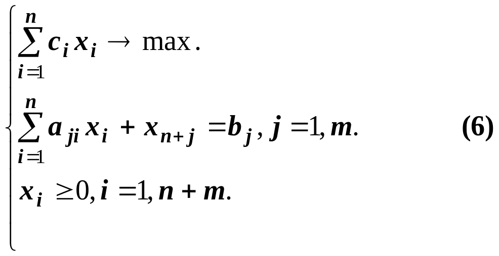
Система, состоящая из целевой функции и уравнений связи, - задача экономико- математического моделирования (ЭММ). В случае, когда целевая функция и уравнения связи линейны, а переменные управления меняются непрерывно, задача ЭММ называется задачей линейного программирования (ЛП). Основное свойство множества допустимых планов (МДП) задачи ЛП - оно является выпуклым многогранником. Выпуклым называется множество, которому принадлежат все отрезки, соединяющие любые две точки этого множества. Если задача ЛП имеет решение, то оно находится в вершине МДП. Планы, находящиеся в вершинах МДП, называются базовыми. Задачи линейного программирования делятся на задачи с ограничениями в форме неравенств (общая задача ЛП) и в форме равенств (каноническая задача ЛП). При математической формализации экономических задач с помощью линейной модели получаются общие задачи ЛП – например, (4), (5). Любой общей задаче путём введения дополнительных переменных может быть сопоставлена каноническая задача. Так, задаче (4) путём введения в каждое неравенство типа “расход ресурса запас ресурса” (строка 2 в (4)) дополнительной переменной xn+j (неизрасходованный остаток j-го ресурса) сопоставляется следующая каноническая:
При этом размерность задачи (6) – число переменных плана - по сравнению с (4) увеличилась с n до n+m.
При решении задачи (4) важное значение имеют коэффициенты ресурсоотдачи, среди которых здесь будут использованы дифференциальные и приростные. Дифференциальный коэффициент ресурсоотдачи kji показывает стоимость оказанных при использовании единицы j-го ресурса i–ых услуг. Те виды услуг, для которых все kji оказываются наименьшими по всем видам услуг, являются наименее выгодными. Они не должны присутствовать в оптимальном плане. Это позволяет, путём принудительного обнуления объёмов оказания таких услуг снизить размерность задачи и, таким образом, упростить её решение. Вычисляются они следующим образом - kji=ci/aji.
приростной коэффициент ресурсоотдачи Кj – это коэффициент пропорциональности между приращением значения целевой функции оптимального плана и вызвавшим это приращение изменением запасов j-го ресурса. Можно считать, что Кj показывают, на сколько увеличится значение целевой функции исходной задачи в оптимальном плане при увеличении величины запаса j-го ресурса на единицу. С математической точки зрения является полной производной от оптимального значения целевой функции по величине запаса j-го ресурса: Кj=dLopt/dbj.
