- •Лекция 5 Транспортные задачи. Основные понятия Формулировка транспортной задачи. Математическая модель
- •Опорное решение транспортной задачи
- •Вопросы для самоконтроля
- •Лекция 6 Методы решения транспортных задач с правильным балансом
- •Метод северо-западного угла
- •Переход от одного опорного решения к другому. Метод потенциалов
- •Вопросы для самоконтроля
- •Методы решения транспортных задач с неправильным балансом
- •Вопросы для самоконтроля
- •Лекция 7-8 Сетевые модели
- •1. Построение сетевых моделей
- •1.1. Теоретическое введение
- •1.2. Правила построения сетевых моделей
- •Задача № 1.1
- •Решение
- •Задача № 1.2
- •Решение
- •1.3. Задачи для самостоятельного решения Задача № 1.1
- •Задача №1.2
- •Задача №1.3
- •Задача №1.4
- •Задача №1.5
- •Задача №1.6*
- •2. Расчет и анализ сетевых моделей
- •2.1. Теоретическое введение
- •2.2. Методические рекомендации Задача № 2.01
- •Решение
- •Задача №2.02
- •Общие рекомендации
- •Решение
- •I. Поиск критических путей
- •II. Поиск резервов работ
- •Правило № 1
- •Лекция 9 Системы массового обслуживания, задачи смо Предмет и задачи теории массового обслуживания
- •Система массового обслуживания
- •Классификация смо
- •Характеристики смо
- •Вопросы для самоконтроля
Лекция 5 Транспортные задачи. Основные понятия Формулировка транспортной задачи. Математическая модель
Задача: Однородный груз, имеющийся в m пунктах отправления (производства) в количествах а1, а2, ..., аm единиц, требуется доставить в каждый из n пунктов назначения (потребления) в количествах b1, b2 ..., bn единиц. Стоимость перевозки (тариф) единицы продукции из i-ого пункта отправления в j-ый пункт назначения составляет cij (i=1, …, m; j=1, …, n). Требуется составить такой план перевозок, при котором весь груз из пунктов отправления вывозится, и запросы всех пунктов потребления удовлетворяются
Исходные данные ТЗ записываются в таблице:
ПН
ПО |
1 |
2 |
… |
n |
Запасы |
|||
1 |
|
c11 |
|
c12 |
… |
|
c1n |
a1 |
|
|
|
||||||
2 |
|
c21 |
|
c22 |
… |
|
c2n |
a2 |
|
|
|
||||||
… |
… |
… |
… |
… |
… |
|||
m |
|
cm1 |
|
cm2 |
… |
|
cmn |
am |
|
|
|
||||||
Потреб- ности |
b1 |
b2 |
… |
bn |
|
|||
Пусть xij
– количество груза перевозимого с i-ого
пункта отправления (ПО) в j-ый
пункт назначении (ПН). Матрица
– план перевозок.
Произведение
cijxij
определяет затраты на перевозку груза
с i-ого
ПО в j-ый
ПН. Тогда суммарные затраты на перевозку
груза равны
.
По условию задачи необходимо обеспечить
минимум суммарных затрат. Следовательно,
целевая функция имеет вид
.
Так как груз из всех m пунктов отправления вывозиться полностью, то
.
Так как запросы всех n пунктов назначения удовлетворяется полностью, то
.
По смыслу плана xij0, (i=1,…,m; j=1,…,n)
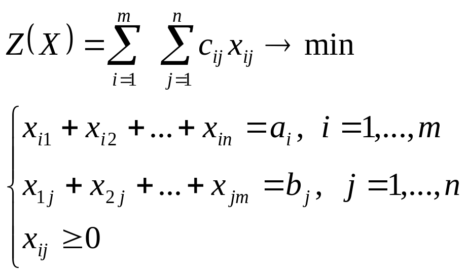
Следовательно, математическая модель транспортной задачи имеет вид:
.
(1)
Замечание. В транспортной задаче m+n уравнений и mn неизвестных.
В рассмотренной модели транспортной задачи предполагается, что суммарные запасы поставщиков равны суммарным запросам потребителей, т.е.
(2)
Такая задача
называется задачей
с правильным балансом,
а ее модель – закрытой.
Если равенство (2) не выполняется, т.е.
,
то задача называется задачей
с неправильным балансом,
а ее модель – открытой.
