- •Действия с дробями.
- •Действия со степенями.
- •Действия с корнями.
- •5. Прим.
- •6. Прим. .
- •Алгебраические преобразования.
- •Уравнения первой степени или линейные уравнения.
- •Квадратные уравнения.
- •Биквадратные уравнения имеют вид:
- •Дробно рациональные уравнения.
- •1.Способ сложения
- •2. Способ подстановки
- •Решение неравенств методом интервалов.
- •Решение систем неравенств.
- •Линейная функция. (Прямая)
- •Функция обратная пропорциональность (Гипербола).
- •Квадратичная функция. (Парабола)
- •Графическое решение.
- •Графическое решение уравнений, систем уравнений и неравенств.
- •Арифметическая прогрессия.
- •Геометрическая прогрессия.
Действия с дробями.
1.сложение и вычитание:
.
внимание :
2.умножение дроби на число:
.
числитель умножить на это число.
3.умножение дробей:
. числитель на числитель, а знаменатель
на знаменатель.
4. деление дробей:
перевернуть вторую дробь, заменить
деление умножением.
5. перевод десятичной дроби в простую дробь:
Для перевода надо записать десятичную дробь в виде простой по принципу «что слышу – то пишу».
Пример.
1,065 – одна целая шестьдесят пять
тысячных:
.
6. перевод простой дроби в десятичную дробь:
Для перевода надо поделить числитель на знаменатель в столбик.
Пример.
перевести в десятичную дробь.
2 | 5 не делится, значит, дописываем ноль, ставим запятую: _20 | 5
20 0,4
0
Действия со степенями.
1.Свойства степеней ( a>0, b>0, x, y – действительные числа);
1)
;
Пр1.
.
Пр2.
2)
Пр3.
3)
Пр4.
4)
Пр5.
5)
Пр6.
6)
Пр7.
7)
Пр8.
.
Пр9.
.
8)
Пр10.
.
9)
Пр11.
.
Действия с корнями.
Опр. Арифметическим корнем n-й степени из числа a называют число b, n-ная степень которого равна a.
Пример.
,
т.к.
;
,
т.к.
.
Свойства
корня n-й степени
(
n,
k – натуральные числа,
большие единицы ):
1.
Корень произведения равен произведению
корней.
Прим.
.
2.
,
Корень частного равен частному корней.
3.
4.
Прим.
.
5. Прим.
6. Прим. .
7.
Степень с рациональным показателем.
Прим1.
Прим2.
8.
Алгебраические преобразования.
Формулы сокращённого умножения:
1)
-
разность квадратов
Прим1.
Прим2.
2)
- квадрат суммы
Прим1.
Прим2.
3)
- квадрат разности
Прим.
4)
- куб суммы
5)
- куб разности
6)
- сумма кубов
7)
-
разность кубов
Прим1.
Прим2.
Специальные формулы:
1)
- внесение под корень
2)
-
вынесение общего множителя за скобки
3)
- вынесение минуса
Теорема о разложении квадратного трехчлена на множители.
Квадратный
трехчлен можно представить в виде:
-
корни соответствующего квадратного
уравнения
.
Прим.
Уравнения первой степени или линейные уравнения.
Такие уравнения решаются по следующему алгоритму:
1.перенести всё что с «x» – влево, всё что без «x» – вправо;
2. привести подобные слагаемые;
3. поделить обе части уравнения на коэффициент при «x».
Прим.
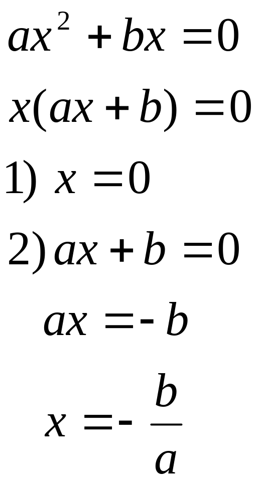
Квадратные уравнения.
Полные квадратные уравнения:
-
общего вида и приведённое:
Корни
ищутся по формуле:
,
где
Сокращённые квадратные уравнения:
,
тогда:
,
тогда:
надо выразить x2
вынести x
за скобку
