- •2.12. Багатокрокові схеми розв’язування задачі Коші
- •2.13. Методи Адамса побудови багатокрокових схем
- •2.13.1. Екстраполяційний метод Адамса
- •2.13.2. Інтерполяційний метод Адамса
- •2.13.3. Методи Мілна-Сімпсона
- •2.13.4. Побудова багатокрокових методів, що ґрунтуються на формулах чисельного диференціювання
- •2.13.5. Деякі загальні зауваження про методи розв’язування задач Коші
- •2.14. Завдання для самостійної роботи
- •Список літератури
2.12. Багатокрокові схеми розв’язування задачі Коші
При
підвищенні порядку однокрокових методів
зростає кількість обчислень значень
функції
на кожному кроці, що спричинює збільшення
обчислювальної роботи, особливо у
випадку розв’язування систем звичайних
диференціальних рівнянь високого
порядку.
Щоб зменшити кількість обчислень правої частини на кожному кроці і при цьому забезпечити високий порядок точності, застосовують багатокрокові схеми.
При інтегруванні жорстких систем ЗДР на великих інтервалах зміни незалежної змінної явні методи Рунге-Кутта стають неефективними.
Узагальнено
клас таких
-крокових
методів лінійних щодо
подамо у вигляді:
(12.1)
де
– числові коефіцієнти,
.
До цих методів належать традиційні багатокрокові методи Адамса, методи Гіра та їхні модифікації. Дійсні коефіцієнти визначаються використовуваним методом.
Схему
(12.1) називають явною (екстраполяційною),
якщо
і
визначається через попередні значення
за явною формулою:
. (12.2)
Щоб
знайти
,
треба задати
початкове значення
,
а їх можна визначити однокроковим
методом. При
рівняння (12.1) стає неявним щодо
.
Запишемо (12.1) у вигляді:
(12.3)
У
цьому випадку
є вектором наближеного розв’язку
системи ЗДР (1.3), (1.4) у точці
.
Для розв’язування нелінійної системи рівнянь (12.3) застосовують методи простої ітерації, Ньютона та його модифікації.
Ітераційний процес Ньютона можна відобразити рівнянням:
(12.4)
де
– матриця Якобі. (12.5)
Серед модифікацій методу Ньютона використовують такі, в яких матриця Якобі обчислюється чисельним диференціюванням.
У методі простої ітерації
, (12.6)
де
– одинична матриця.
При
використанні будь-якого ітераційного
методу потрібно знати початкове
наближення
– предиктор (прогноз), який визначається
з точністю порядку
на підставі відомої інформації про
попередні
значення функції
та її похідні
,
що використовуються у методі (12.4). За
прогнозованим значенням
з допомогою диференціального рівняння
знаходять похідну
,
яку згодом підставляють у формулу
корекції (12.4) для обчислення уточненого
значення
.
В свою чергу
використовують для отримання точнішого
значення похідної
.
Якщо це значення похідної недостатньо
близьке до попереднього, тоді це значення
вводять у формулу корекції та ітераційний
процес продовжується. Якщо похідна
змінюється у припустимих межах, тоді
значення
використовується для остаточного
обчислення
.
Після цього процес продовжується –
робимо наступний крок, на якому обчислюємо
.
Подамо функціональну схему алгоритму “прогноз” – “корекція”(рис.12.1).
–__
Рис.
12.1. Схема алгоритму прогнозування і
корекції
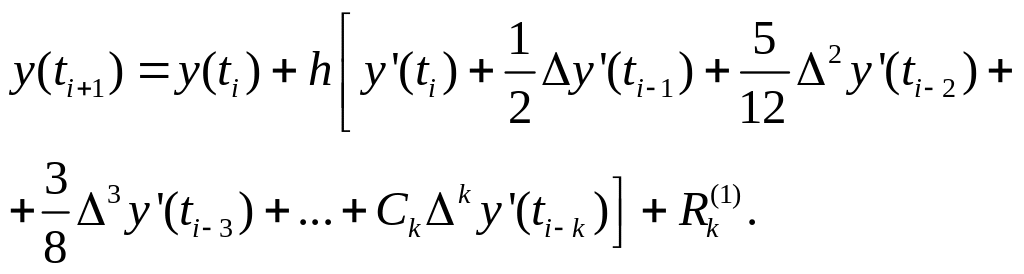
2.13. Методи Адамса побудови багатокрокових схем
2.13.1. Екстраполяційний метод Адамса
Розглянемо
праву частину
рівняння (2.1) не на всій площині зміни
її аргументів, а лише на кривій
,
що відповідає шуканому розв’язку. Нехай
вже відомий наближений розв’язок
у деяких точках сітки
.
Тоді у цих точках можна обчислити
.
Зробимо
заміну
.
Замінимо
функцію
як суму інтерполяційного многочлена,
який запишемо у формі Ньютона, і
залишкового члена:
(13.1)
де
.
Оскільки
точки
не належать проміжку інтегрування
,
то заміна функції
інтерполяційним многочленом буде
екстраполяцією. Для обчислення розв’язку
в наступній точці запишемо диференціальне
рівняння в інтегральній формі:
. (13.2)
Підставляючи вираз (13.1) під знак інтеграла у формулу (13.2) і виконуючи необхідні інтегрування, одержуємо:
(13.3)
Тут
(13.4)
Оскільки
в останньому інтегралі функція
зберігає знак на відрізку [0,1],
то на основі узагальненої теореми про
середнє значення при припущенні
неперервності функції
запишемо
у вигляді:
(13.5)
Введемо
позначення
.
Тоді:
. (13.6)
Якщо
крок
малий, то величиною
в (13.3) нехтуємо і одержуємо правило
екстраполяційного методу Адамса:
(13.7)
де
коефіцієнти
визначають за формулою (13.4).
Числові значення коефіцієнтів
наведемо у таблиці 30.
Таблиця 30
Коефіцієнти явних методів Адамса
|
0 |
1 |
2 |
3 |
4 |
5 |
6 |
7 |
8 |
|
1 |
|
|
|
|
|
|
|
|
Коефіцієнти задовольняють рекурентному співвідно-шенню [7]
. (13.8)
Запишемо
часткові випадки формули (13.7) для
.
Враховуючи, що
а
,
отримаємо наступні формули:
(13.9)
При
ми маємо явний метод Ейлера і побудова
початкової таблиці не потрібна. Формулу
(13.7) часто приписують Адамсу і Башфорту.
Вибір та необхідно узгодити з потрібною точністю результату. Оцінка (13.5) мало придатна для рекомендацій до вибору цих величин, тому що, по-перше, вона містить відомості про похідні високого порядку від вихідного розв’язку, по-друге, вона характеризує локальну похибку значення без урахування накопиченої похибки та похибки округлень. На практиці параметри та намагаються задати так, щоб перший відкинутий доданок у (13.7) вже не впливав на результат у межах прийнятої точності.
