- •К практическим занятиям по дисциплине «Эконометрика»
- •Занятие 2. Дисперсионный анализ и анализ качества уравнения регрессии.
- •Занятие 3. Нелинейные модели регрессии и их линеаризация. Мнк. Индекс корреляции. Коэффициент детерминации.
- •Пример 1
- •Пример 2
- •Занятие 4 и 5. Множественная регрессия и корреляция
- •Скорректированный коэффициент множественной детерминации.
- •Список рекомендуемой литературы
Министерство образования и науки Российской Федерации
Федеральное государственное бюджетное образовательное
учреждение высшего профессионального образования
«Тульский государственный университет»
Кафедра «Финансы и менеджмент»
Методические указания
К практическим занятиям по дисциплине «Эконометрика»
Направления подготовки: 080100 «Экономика»
Специальности подготовки: 080105 «Финансы и кредит»,
080109 «Бухгалтерский учет и аудит»
Форма обучения: заочная
Тула 2011 г.
Методические указания составлены доцентом Е.Н. Гучек и обсуждены на заседании кафедры «Финансы и менеджмент» факультета экономики и менеджмента,
протокол №_1от «_30_»_августа__2011 г.
Зав. кафедрой ________________Е.А. Федорова
Методические указания пересмотрены и утверждены на заседании кафедры «Финансы и менеджмент» факультета экономики и менеджмента,
протокол №_1_от «_30_»_августа_2013г.
Зав. кафедрой ________________Е.А. Федорова
Цель данного курса – дать возможность студентам овладеть системными знаниями и практическими навыками в области эконометрического моделирования, а также углубить знания студентов по курсу эконометрики.
Студент в результате изучения дисциплины должен:
з н а т ь:
- основные понятия, категории и инструменты эконометрики, ее роль и место в комплексе экономических задач;
- основные особенности ведущих школ и научных направлений;
- методы построения эконометрических моделей объектов, явлений и процессов.
у м е т ь:
- осуществлять поиск информации по полученному заданию, сбор и анализ данных для решения поставленных экономических задач;
- осуществлять выбор инструментальных средств для обработки экономических данных в соответствии с поставленной задачей, анализировать результаты расчетов и обосновывать полученные выводы;
- стоить эконометрические модели, анализировать и интерпретировать полученные результаты;
- прогнозировать на основе полученных моделей поведение экономических объектов, процессов на макро и микро уровнях.
в л а д е т ь:
- методологией эконометрического исследования;
- методикой построения эконометрических моделей;
- методами и приемами анализа экономических явлений и процессов с помощью эконометрических моделей;
- навыками самостоятельной работы и работы со специальными таблицами и литературой.
Задача дисциплины – выработать у студентов твердые навыки исследования и решения определенного круга задач, привить способность к самостоятельному аналитическому мышлению, умению работать со специальной и справочной литературой, таблицами и закрепить знания, полученные на лекции.
Объем практических занятий, предусмотренных учебными планами, 8 час.
Рассмотри подробно каждое занятие.
Занятие 1. Парная регрессия. МНК.
Уравнение парной линейной регрессии имеет вид:
(1), где
у – зависимая переменная;
х – независимая (объясняющая) переменная;
а и b – параметры уравнения;
– случайная (стохастическая) переменная.
Метод наименьших квадратов для парной регрессии записывается в виде системы (2)
(2)
Решаем ее и находим коэффициенты a и b. Можно вычислять коэффициенты по формулам (3), которые легко получаются из (2)
или
(3)
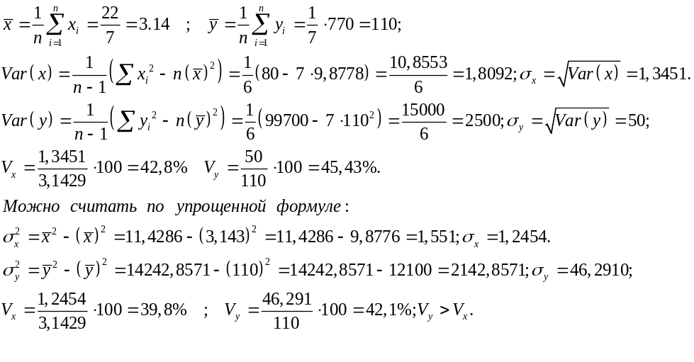
Параметр ''b'' называется коэффициентом регрессии. Его величина показывает среднее изменение результата с изменением фактора на одну единицу. Параметр ''а'' не имеет экономического содержания. Интерпретировать можно лишь знак при параметре «а». Если а>0, то относительное изменение результата происходит медленнее, чем изменение фактора, т.е. изменение (вариация) Var (y) < Var (x).
Можно пользоваться коэффициентами вариации
или
.
;
.т.е.
прослеживается следующая закономерность:a
< 0 то Vy
> Vx
, или a > 0 -
Vy
< Vx.
Задача 1. По группе предприятий, выпускающих один и тот же вид продукции, рассмотреть функцию издержек , используя МНК.
№ предприятия |
1 |
2 |
3 |
4 |
5 |
6 |
7 |
Выпуск продукции, х (тыс. ед.) |
1 |
2 |
4 |
3 |
5 |
3 |
4 |
Затраты на производство, у (млн. руб.) |
30 |
70 |
150 |
100 |
170 |
100 |
150 |
Решение. Составим расчетную таблицу
№ предприятия |
х |
у |
ух |
х2 |
у2 |
|
|
Аi |
1 |
1 |
30 |
30 |
1 |
900 |
31,1 |
-1,1 |
3,67 |
2 |
2 |
70 |
140 |
4 |
4900 |
67,9 |
+2,1 |
3 |
3 |
4 |
150 |
600 |
16 |
22500 |
141,6 |
+8,4 |
5,6 |
4 |
3 |
100 |
300 |
9 |
10000 |
104,7 |
-4,7 |
4,7 |
5 |
5 |
170 |
850 |
25 |
28900 |
178,4 |
-8,4 |
4,9 |
6 |
3 |
100 |
300 |
9 |
10000 |
104,7 |
-4,7 |
4,7 |
7 |
4 |
150 |
600 |
16 |
22500 |
141,6 |
+8,4 |
5,6 |
Итого |
22 |
770 |
2820 |
80 |
99700 |
770,0 |
0 |
32,17 |
Сред. знач. |
3,1429 |
110 |
402,8571 |
11,4286 |
14242,8571 |
110 |
0 |
4,59 |
Сначала заполним первые 6 столбцов, а затем составим систему для МНК, и определим параметры а и b
,
решая которую любым способом, получим:
(*)
подставляя в (*) значение х из столбика 2, вычислим - теоретические значения для столбика 7
Коэффициент корреляции можно вычислить и по следующим формулам
Т.к. получили одинаковые значения, то можно вычислять по более простой формуле. Связь между х и у прямая, весьма высокая.
Оценку качества полученной модели дает
коэффициент детерминации
,
который говорит о том, что 98,2% учтены
предложенной моделью, и только 1,8%
составляют случайные величины, неучтенные
в данном уравнении. О точности модели
судят по средней ошибке аппроксимации,
которая равна
,
и показывает среднее отклонение расчетных
значений от фактических. Допустимый
предел значений Ā – не более 8-10%.У нас
,
т.е. точность высокая.
Задача 2. Для количественного анализа влияния доходности акций компании лидера на доходности акций других компаний применяются методы регрессивного анализа. Построить модель парной регрессии для изучения зависимости доходности акций компании А от доходности акций компании Б. Компании А и Б относятся к одной отрасли, данные по годовым доходностям акций приведены в таблице:
Номер наблюдения |
Доходность акций А (у), % |
Доходность акций Б (х), % |
1 2 3 4 5 6 7 8 9 10 11 12 13 14 15 |
-2,56 26,65 4,44 17,12 10,19 13,88 4,55 10,28 11,76 11,89 5,14 7,70 7,17 7,57 17,46 |
-5,31 16,84 0,07 10,03 4,98 7,52 0,23 5,30 5,94 6,09 0,93 3,22 2,08 2,81 10,73 |
Ответ:
.
Задача 3. Построить две модели парной регрессии зависимости годового товарооборота фирмы (млн. руб.) – у от размера торговой площади (тыс. кв. м) – х1 и – х2. Исходные данные приведены в таблице:
№ филиала |
Товарооборот (уi) |
Торговая площадь (х1) |
Интенсивность потока покупателей (х2) |
1 2 3 4 5 6 7 8 9 10 11 12 |
2,93 5,29 6,85 7,01 7,02 8,35 4,33 5,77 7,68 3,16 1,52 3,15 |
0,31 0,98 1,21 1,29 1,12 1,49 0,78 0,94 1,29 0,48 0,24 0,55 |
10,24 7,51 10,81 9,89 13,72 13,92 8,54 12,36 12,27 11,01 8,25 9,31 |
Ответ: 1)
2)
