- •Исследование функций с помощью производной (точки экстремума, наибольшее (наименьшее) значения функции) Функция задана формулой
- •3) Приравняем ее к нулю;
- •Производная задана графиком
- •Приемы быстрого решения заданий в15 без использования производной
- •1. Тригонометрические функции вида
- •2. Тригонометрические функции вида
- •При определении х тригонометрических функций вида
- •5. Функции вида где а, в, с – числа
- •6. Функции вида , где а - числа
- •8. Применение свойства корней
Задания В15: Содержание
Исследование функций с помощью производной (точки экстремума, наибольшее (наименьшее) значения функции) Функция задана формулой
Правило отыскания наибольшего и наименьшего значений f: чтобы найти наибольшее и наименьшее значения функции, имеющей на отрезке конечное число критических точек, нужно вычислить значения функции во всех критических точках и на концах отрезка, а затем из полученных чисел выбрать наибольшее и наименьшее.
Критические точки – внутренние точки области, в которых ее производная равна нулю или не существует.
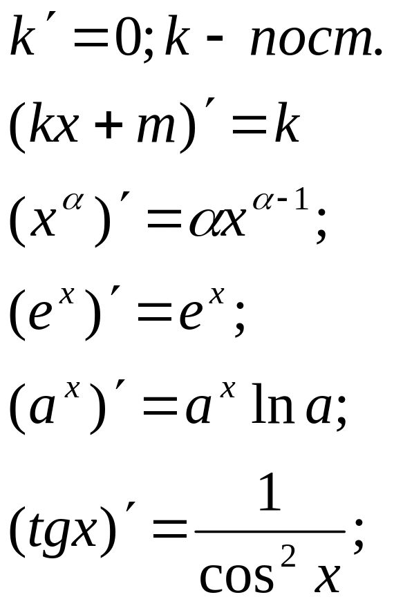
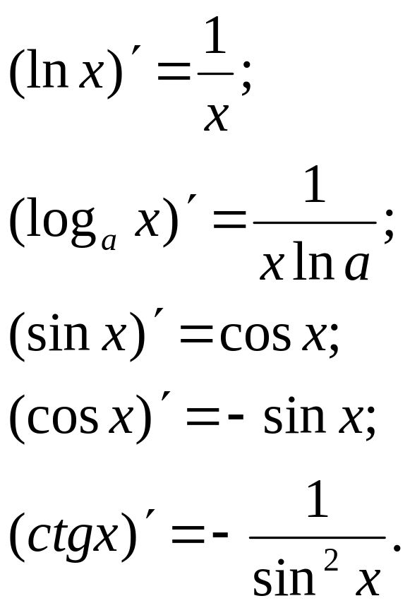
Правила вычисления производных: Таблица производных
|
|
х´= 1 |
|
Применяя изложенный выше метод поиска наибольшего и наименьшего значений функции, будем следовать алгоритму:
1) найдем производную данной функции; Вычисление производной, пример 12
2) приравняем ее к нулю;
3) выберем критические точки, лежащие внутри отрезка;
4) найдем значение функции в этих точках и на концах отрезка;
5) из полученных чисел выберем наибольшее или наименьшее.
Пример 1.
В15.Найти наименьшее значение
функции
Решение: 1)Найдем производную функции :
2)Так
как производная
4) Вычислим значения функции в критической точке, принадлежащей данному отрезку, и на его концах, т.е. в точках 4; 5; 6:
5) Наименьшее
значение достигается в точке 5 и равно
-3. Коротко это записывается так:
|
Исследование функций, примеры 1-8
Признак максимума и минимума функции:
если в точке
производная
меняет знак с «+» на «-», то
есть точка максимума, с «-» на
«+», то
– точка минимума.
При решении практических задач на нахождение точки максимума или минимума функции следуем такому алгоритму:
1) найдем область определения данной функции;
2) найдем производную данной функции;
3) Приравняем ее к нулю;
4) найдем промежутки знакопостоянства функции;
5) найдем точку максимума или минимума.
Пример 2.
В15. Найдите точку максимума
функции
Решение: 1) Функция определена при любом действительном значении t. 2)
3)
D = b²- 4 a с = 4² - 4 · 1 · (- 5) = 16 + 20 = 36 = 6² > 0 - 2 корня;
t 4) у´ + - + у -5 1
5) В первой точке функция у´ меняет знак с плюса на минус, поэтому t = -5 и есть точка максимума (а вторая найденная точка является точкой минимума). В бланк ответов: - 5 |
