- •Цель и задачи курсового проектирования
- •Объем и содержание курсового проекта.
- •Пояснителная записка.
- •Графическая часть.
- •Составление и выбор вариантов стуктурной схемы
- •Построение суточных и годовых графиков потребителей и электростанции. Определение баланса мощностей (перетоки мощности).
- •Выбор чиса и мошности трансформаторов (автотрансформаторов) связи на электростанции
- •Технико-экономическое сравнение расматриваемых вариантов структурных схем электростанций
- •Выбор электрических аппаратов и проводников
- •Общие положения.
- •Выбор сечения проводников по экономической плотности тока
- •Выбор проводников и аппаратов по току продолжительного режима.
- •Выбор трансформаторов тока и напряжения по нагрузке в заданном классе точности
- •Выбор проводников и аппаратов по термической стойкости.
- •Выбор проводников и аппаратов по динамической стойкости.
- •Выбор выключателей по отключающей и включающей способности.
- •Выпор параметров группового реактора.
- •Примеры технико-экономического расчет по выбору принципиальной схемы электрических соединений электростанции
- •Выбор структурной (принципиальной) схемы тэц-зоо мВт.
- •Выбор турбогенераторов и построение графиков нагрузки.
- •Вариант 1. Определяем перетоки мощностей (баланс мощностей) в схеме (рис. 7.6) в нормальном режиме.
- •Аварийные режимы
- •Вариант 2. Определяем перетоки мощностей (баланс мощностей) в нормальном режиме.
- •Расчет годовых потерь энергии в автотрансформаторах.
- •Выбор трансформаторов собственных нужд (для технико-экономического расчета)
- •Технико-экономическое сравнение вариантов. Капитальные затраты.
- •Вариант “1”
- •Вариант "2".
- •Годовые издержи производства.
- •Расчетные затраты и выбор варианта.
- •Выбор структурной (принципиальной) схемы кзс (грэс).
- •Исходные данные.
- •Составление и анализ возможных вариантов структурной схемы и выбор номинальной мощности трансформаторов.
- •Вариант 1.
- •Вариант 2.
- •Вариант 3.
- •Вариант 4.
- •Вариант 5.
- •Анализ конкурирующих вариантов.
- •Технико-экономическое сопоставление вариантов.
- •Примерный учет ущерба от недоотпуска эл.Энергии.
- •Приведенные затраты и выбор варианта. Приведенные затраты без ущерба
- •1. Цель и задачи курсового проектирования
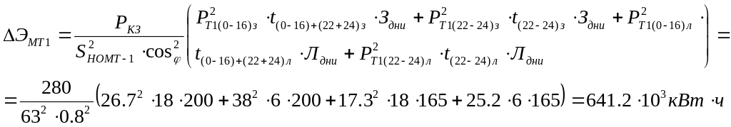
Расчет годовых потерь энергии в автотрансформаторах.
Примем, что географический район расположения станции - Европейская часть СНГ: зима - 200 суток, лето - 183 .суток. Удельная стоимость потерь в стали - 0,011 тен,/КВт.ч, в меди - 0,013 тен./КВт.ч.
Вариант "1"
Трансформатор ТРДН-63-.36,75/11/11, Годовые потери энергии в стали (трансформатор Т-1).
(7.12)
Годовые потери энергии в меди найдем, принимая, что обмотки НН загружены одинаково, по формуле для двухобмоточного трансформатора
(7.13)
В данном случае значения нагрузок Т-1 взяты из таблицы 7.3
Трансформаторы Т-2, Т-3 типа ТДТН-80-115/38,5/11.
Годовые потери энергии в стали
Годовые потери в меди определяются для каждой обмоток НН, СН и ВН в соответствии с их нагрузками (табл.7.4).
При этом принимаем, что
,
(7.14)
Трансформатор Т – 4 типа ТД – 80-121/10.5.
,
(7.15)
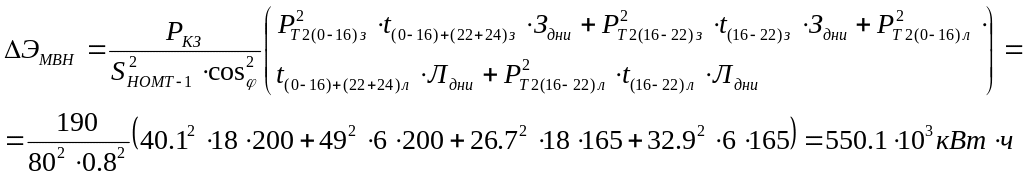
Вариант “2”
Годовые потери энергии в трансформаторах Т – 1, Т – 2, типа ТДТН – 63-115/38.5/11
(7.16)
Принимается, что
(7.17)
Тогда:
(7.18)
Данные о нагрузках трансформаторов Т-1 и Т-2 взяты из табл.7.4, -Годовые потери энергии в трансформаторах Т-3, Т-4 и Т-5 типа ТД-80-121/10,5 такие же, как и в варианте "1", т.е.
.
Выбор трансформаторов собственных нужд (для технико-экономического расчета)
В частности, в данном случае число рабочих трансформаторов с.н. принимаем равным числу генераторов - 5.
При этом резервных трансформаторов с.н. - 2.
В варианте "1" генераторы Г-1 и Г-2, а также их рабочие трансформаторы с.н. через выключатели подключены к сборным шинам 10 кВ, а рабочие трансформаторы с.н. Г-3, Г-4 и Г-5 « подключены отпайкой (без выключателей). Резервные трансформаторы с.н. через выключатели подклинены к сборным шинам 10 кВ.
В цепях генераторов Г-3 и Г-4 установлены выключатели, что позволяет использовать трехобмоточные трансформаторы для связи РУ-35 кВ и 110 кВ при повреждениях генераторов.
Трансформатор Т-1 с расщепленными обмотками НН подключен к шинам 10 кВ через два выключателя. Т.о., в варианте "1" число ячеек генераторного напряжения - 10,
Анализ схем показывает, что в варианте "2" число ячеек генераторного напряжения -8 (во всех вариантах резервные трансформаторы с.н. подключены к шинам 10 кВ),
В данном случае, мощность рабочих и резервных трансформаторов с.н. не определяем, т.к. во - всех вариантах они одинаковы.
Технико-экономическое сравнение вариантов. Капитальные затраты.
Вариант “1”
Сравнительный анализ схем вариантов показывает, что в варианте "1" необходимо учесть стоимость:
1х ТРДН-35/11/11 (расчетная стоимость 62x1.,6=99,2 тыс.руб.), где α -1,6 - усредненный коэффициент для расчета заводской стоимости силовых трансформаторов (автотрансформаторов) к расчетной стоимости табл.9-3, [4];
2х ТДТН-80-115/38,5/11 (расчетная стоимость 2x118x1,5=354 тыс.руб.) 1 ячейки 35кВ с масляными выключателями - расчетная стоимость. 8 тыс.руб., табл.9,16, [4].
2 ячеек 10 кВ с масляными выключателями - расчетная стоимость 2x10=20 тыс.руб., табл.9.14, [4].
Суммарные капиталовложения для варианта "1" составляют:
