2. Анимация графиков
Для анимации графиков применяется встроенная системная переменная FRAME.
Для этого ее необходимо ввести формулу, Присвоить ей начальное и конечное значение.
На основе заданной функции построить график
Последовательность действий:
Построить график на основе исходных данных. Он будет построен с использованием 0-го значения переменной FRAME
Tools (Инструменты)Animation(Анимация)Record(Запись). В рабочей области появляется окно записи анимации.
Рис.2.20 Рис. 2.21
Выделить с помощью мыши область документа, которая будет включена в область анимации
В окне записи анимации установить начальное значение переменной FRAME (поле From) и конечное значение переменной FRAME(поле To), а также скорость проигрывания анимации в кадрах за секунду. (поле At) - скорость воспроизведения.
Щелкнуть на кнопке Animation( Анимация). Это приведет к появлению еще одного окна, в котором можно проигрывать анимационный ролик.
Рис 2.22 Рис. 2.23
Созданный ролик можно сохранить в формате AVI с помощью команды Save As(Сохранить как).
Для воспроизведения сохраненной анимации выполнить: TOOLSAnimationPlayBack. В появившемся окне Play Animation нажимаем кнопку Меню Команд Открыть(Open) В диалоговом окне «M Open AVI» выбрать нужный анимационный файл с расширением AVI
Рис. 2.24 Рис.2.24
Задание 3. Использование размерных переменных.
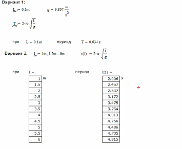
Задание: Вычислить период колебания математического маятника
Т- перид колебания
L –длина маятника
Задание 4. Операторы MathCad и их использование
Операторы используются в математической области и предназначены для выполнения различных операций над операндами. Они могут вводиться с клавиатуры, кнопками палитры инструментов, а также командами меню.
В среде Mathcad рассматриваются основные операторы:
- арифметические;
- векторов и матриц;
- вычислений;
- Булевы.
Рассмотрим их подробней.
Арифметические операторы
Арифметические операторы MathCAD реализуют обычные операции математики над операндами. В таблице 3.1 приведена панель арифметических операторов и их горячие клавиши для вызова их с клавиатуры.
Таблица 3.1.
Арифметические операторы MathCAD.
Операторы: |
Горячие клавиши: |
|
Панель Арифметика:
|
встроенные функции |
|
факториал |
! |
|
мнимая единица |
1i |
|
модуль переменной |
| |
|
квадратный корень |
\ |
|
корень n-ой степени |
[Ctrl]\ |
|
функция ex |
e^x |
|
pi (π) |
p[Ctrl]g или [Ctrl][Shift]p |
|
смешанное число (целое с дробной частью) |
[Ctrl][Shift]+ |
|
сложение (+) |
+ |
|
вычитание (-) |
- |
|
умножение (x) |
* |
|
деление (/) запись дробью |
/ |
|
деление
( |
[Ctrl]/ |
|
присваивание (:=) |
: |
|
Вычисление (=) |
= |
|
Приведем пример использования арифметических операторов:
