- •Лекция тезистері
- •Лекция.
- •Лекция.
- •Цилиндрлік координаталар жүйесі.
- •Лекция.
- •Лекция.
- •Базис және аффиндік координаталар.
- •Лекция.
- •Анықтама бойынша
- •Енді, ортогоналдық шартты тексеру арқылы
- •Лекция.
- •Лекция.
- •Лекция.
- •Жазықтықтағы түзудің берілу тәсілдері.
- •Екі жазықтықтың арасындағы бұрыш
- •3)Канондық теңдеу арқылы берілген түзу теңдеуі
- •Лекция.
- •Жазықтықтағы түзудің берілу тәсілдері.
- •Екі жазықтықтың арасындағы бұрыш
- •3)Канондық теңдеу арқылы берілген түзу теңдеуі
- •Лекция.
Лекция.
Таќырыбы: Жазықтықтағы және кеңістіктегі координаталар жүйесін түрлендіру. Эйлер бұрыштары. Аффиндік, ортогональ түрлендірулер.
Кез келген үш нүктенің коллинеарлық шарты сақталып, бір мәнді кеңістіктің нүкетлік түрленуі аффиндық түрлендіру деп аталады. Бұл түрлендіруде үш коллинеарлық нүкте үш коллинеарлық нүктелерге көшеді.
Аффиндық түрлендірудің негізгі қасиеті мынау: кеңістіктің кезе келген аффиндық түрленуі сызықтық түрленуге жатады. Аффиндық түрлендірудің қасиеттері мынадай:
өз ара коллинеар болмайтын кеңістіктің үш нүктесі коллинеар емес үш нүктеге,
өз ара компланар болмайтын төрт нүкте компланар емес төрт нүктеге,
түзу сызық түзу сызыққа,
қиылысатын екі түзу қиылысатын екі түзуге
бір параллелограмның төрт төбесі екінші параллелограмның төрт төбесіне,
бір кесіндінің ортасы екінші кесіндінің ортасына
кеңістіктегі кез келген бір М нүктесі екінші бір М ’ нүктесінде көшеді. Бұл екі нүктенің әрқайсысы өзіне сәйкес координаталар системасында анықталады.
Егер осы айтылған қасиеттер сақталса, онда мұндай ұғымды аффиндік түрлендіру дейміз. Басқаша айтқанда, еркінше алынған аффиндік түрлендіруде сақталатын геометриялық бейнелердің қасиеттерін аффиндік түрлендіру дейміз. Мысалы, параллелограм, түзу сызық, эллипс, гипербола, парабола аффиндік ұғымға жатады. ал тік бұрышты төртбұрышты, шеңбер аффиндік ұғымға жатпайды. Өйткені аффиндік түрленуде тік бұрышты төртбұрыш параллелограмға ал шеңбер эллипске айналады. Сондықтан бұл екі пішін аффиндік ұғым болмайды. Сонымен түрлендірілгеннен кейін теореманың қасиеті сақталса, онда мұндай теорема аффиндік деп аталады. Мысалы, үш медиана бір нүктеде қиылысады деген теорема аффиндік болады, ал үш биссектриса бір нүктеде қиылысады деген теорема аффиндік теоремаға жатпайды. Аффиндік ұғымдар мен теоремалардың жиындысын аффиндік геометрия деуге болады. Аффиндік геометрияда кесіндінің ұзындығы деген ұғым жоқ. Мұнда кез келген кесіндіні координаталық вектор деп қабылдауға болады. Аффиндік түрленудегі координаталық вектор ұзындығы еркінше алынатын кез келген вектор болуы мүмкін. Осы сияқты аффиндік геометрияда аудан мен көлем де анықталмайды.
Енді аффиндік түрлендірудің қандай болатынын мысалдар арқылы қарастырайық. Бір жазықтықтың бойындағы шексіз алыстағы нүктелерге осы жазықтықпен үйлесетін екінші жазықтықтың бойындағы шексіз алыстағы нүктелер сәйкес болса, онда жазықтықтағы нүктелердің аффиндік түрленуі деп коллинеарлық түрлендіруді айтамыз.
Үш түзудің теңдеулерін біртектес координаталар арқылы алайық:
(8)
Бізге
бір түзудің бойында жатқан екі түрлі
координаталар берілсін, яғни
.
Бұлар бір координаталар системасындағы
екі нүктені анықтасын. Егер
координаталарының кейбір мәндерінде
мынадай теңдік орындалса
(9)
Онда бұл теңдеу коллинеарлық түрленуді көрсететін теңдеу деп аталады. Өйткені бір түзудің бойындағы нүкте түрленгеннен кейін сол түзудің бойындағы екінші нүктеге көшеді, яғни түзу түзуге көшеді. Мұндай коллинеарлық түрленуде қасиеттері сақталатын нүктелерінің координаталары өз ара пропорционал болады:
Ендеше нүктелерін анықтау үшін мынадай теңдеулерді аламыз:
(10)
Осыдан
(11)
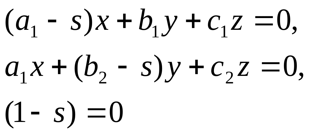
(11) теңдеулер системасы шешілу үшін бұлардың коэффициентерінен құрылған үшінші ретті анықтауыш нольге тең болу керек:
а1
– s b1
c1
(12)
а2 b2 – s c1
а3 b3 c3 – s
Бұл – s параметріне қарағанда үшінші дәрежелі теңдеу, яғни үш теңдеудің түбіріне сәйкес келетін үш нүкте берілген коллинеарлық түрлендіруді көрсетеді. Шындығында, бұл түрленуде үш нүкте өзгерілмей сақталып отырады, олар – инвариант нүктелер, дербес жағдайда өз ара үйлеседі немесе жорымал болады.
Осы берілген коллинеарлық түрленуде сақталатын түзулер қозғалмайтын екі нүктелерді қосқаннан шығады. Өйткені бұл нүктелер инварианттар, ал осы екі нүктені қосатын түзу өзіне көшетін түзу болады. Аффиндік немесе декарттық координаталар арқылы мынадай теңдеулерді жазайық:
(13)
Егер мұндағы анықтауыш нольге тең болмаса,
яғни
Онда аффиндік түрлену (13) бір мәнді болады. Аффиндік түрленуде бірінші жазықтықтың әрбір түзуі екінші жазықтықтың әрбір түзуіне көшеді, яғни бір түзудің бойында жатқан нүктелерге екінші түзудің бойындағы нүктелер сәйкес келеді. Мына y=kx түзуінің бойындағы шексіз алыстағы нүктелерге коэффициенті
Шамасына тең түзудің бойындағы шексіз алыстағы нүктелерге сәйкес келеді. Басқаша айтқанда түзу түзуге көшеді. Бұдан мынадай қорытынды шығады: параллель түзулер шексіз алыста қиылысатын болғандықтан, олар аффиндік түрленуде параллель түзулерге көшеді.
(13) теңдеуді біртектес координаталар арқылы алайық:
Мұның аффиндік түрленуі мынадай болады:
(13)’
Осыдан мынадай теңдеулер системасы шығады:
(14)
Бұл теңдеулер системасы шешілу үшін мына үшінші ретті анықтауыш нольге тең болу керек:
а1 – s b1 c1 (14’)
а2 b2 – s c1 =0.
а3 b3 c3 – s
осындай үшінші дәрежелі теңдеудің бір түбірі бірге тең (s1=1), ал қалған екі s2, s3 түбірлері нақты немесе жорымал болуы мүмкін. Егер үшінші дәрежелі теңдеудің барлық түбірлері әр түрлі болса, онда , онда аффиндік түрлендірудің үш инвариант нүктелері бар, оның біреуі шекті қашықтықта ал қалған екі нүктесі шексіз алыста, нақты немесе жорымал болады. Осы нүктелерге сәйкес өз ара инвариант болатын үш түзу шығады.
Аффиндік түрлендіруде бір жазықтықта жатқан түзудің бойындағы М1, М2, М3 үш нүктенің М1 М3: М3 М2 қатынасы аффиндік түрлендірудің инварианты болады. Осының дұрыс екендігін көрсету үшін мынадай қатынасты қарастырайық:
Формула бойынша
Бірінші теңдеуден екінші теңдеуді алсақ, мынадай болады:
Осы сияқты
Соңғы екі теңдіктің қатынасын түрлендіріп табайық:
(15)
Сөйтіп,
аффиндік түрленуде түзудің бойындағы
кез келген М1,
М2,
М3
үш нүктеге сол түзудің бойындағы үш
нүкте
сәйкес келеді:
Немесе
(15’)
Бір тік бұрышты декаттық координаталар системасынан екінші тік бұрышты декарттық координаталар системасыа көшу аффиндік системасының дербес түрленуіне жатады. Мысалы:
Немесе
Бұл формулалардың негізгі мағынасы мынау: бір жазықтықтағы М нүктесі екінші жазықтықтағы М нүктесіне әрқашанда сәйкес келеді, яғни екі жазықтықтың бетінде жатқан екі нүкте бір-біріне бір мәнді сәйкес келеді. Осы шарт орындалғанда бір жазықтық екінші жазықтыққа түрленеді дейміз. Бұл жагдайда бір жазықтықтың бойындағы бір пішінге екінші жазықтықтың бойындағы белгілі бір пішін сәйкес болып отырады. Мәселен,F және F пішіндері-екі жазықты беттестіргеннен шыққан пішіндер, ал екеуі өз ара сәйкес келеді. Мұндай F, F пішіндері конгруэнттік пішіндер деп аталады. Ал олардың бір-біріне сійкес көші конгруненттік түрлену деп аталады. Сондықтан жоғарғы жазылған
Формулаларды конгруэнттік түрлендіруді сипаттайды. Осы сияқты кеңістіктегі аффиндік түрлендіру мынадай формулалармен сипатталады:
(16)
Мұндағы
a
1
b1 c1
a2 b2 c2
a3 b3 c3
Ортогональдық матрица, d1, d2, d3- кез келген сандар, М (х, у, z),
М (х’, у’, z’,) – координаталар системасына сәйкес нүктелер.
Аффиндік координаталар системасындағы түрленудің қасиеті тік бұрышты декарттық координаталар системасындағы түрленуден гөрі кеңірек болғандықтан, Декарт геометриясында кездесетін түрлену формулалары өзгермейді. Мысалға мынадай формулаларды келтірейік:
1)
2)
3)
4)
x 1 y1 z1
x2 y2 z2 = 0
x3 y3 z3
5)
x -x1 y-y1 z-z1
x2-x1 y2-y1 z2-z1 = 0.
x3-x1 y3-y1 z3-z1
бұл формулалар екі вектордың параллелдік, үш вектордың компланарлық, үш нүктенің коллинеарлық, төрт нүктенің компланарлық шарттарын көрсетеді. Осы формулалар негізгі аффиндік формулалар болады.
