- •Семестрова контрольна робота
- •С еместрова контрольна робота
- •Семестрова контрольна робота
- •Семестрова контрольна робота
- •Семестрова контрольна робота
- •Семестрова контрольна робота
- •Семестрова контрольна робота
- •Семестрова контрольна робота
- •Семестрова контрольна робота
- •Семестрова контрольна робота
- •Семестрова контрольна робота
- •Семестрова контрольна робота
- •Семестрова контрольна робота
- •Семестрова контрольна робота
- •Семестрова контрольна робота
- •Семестрова контрольна робота
- •Семестрова контрольна робота
- •Семестрова контрольна робота
- •Семестрова контрольна робота
- •Семестрова контрольна робота
- •Семестрова контрольна робота
- •Семестрова контрольна робота
- •Семестрова контрольна робота
- •Семестрова контрольна робота
- •Семестрова контрольна робота
- •Семестрова контрольна робота
- •Семестрова контрольна робота
- •Семестрова контрольна робота
- •Семестрова контрольна робота
- •Семестрова контрольна робота
КРИВОРІЗЬКИЙ МЕТАЛУРГІЙНИЙ ІНСТИТУТ
ДЕРЖАВНИЙ ВИЩИЙ НАВЧАЛЬНИЙ ЗАКЛАД
КРИВОРІЗЬКИЙ НАЦІОНАЛЬНИЙ УНІВЕРСИТЕТ
КАФЕДРА АВТОМАТИЗОВАНОГО УПРАВЛІННЯ МЕТАЛУРГІЙНИМИ ПРОЦЕСАМИ ТА ЕЛЕКТРОПРИВОДОМ
Семестрова контрольна робота
Спеціальність: _______________________________________________________________
Група: _______________________________________________________________________
Дисципліна: Математичні моделі в розрахунках на ЕОМ
Студент ________________________________ № залік. книжки ____________________
Дата видачі_____________________________ Видав ______________________________
Варіант
1.
Построить график полинома Чебышева
четвертой степени
на интервале
и
найти значение этой функции при х = 0.5.
Построить
график функции двух переменных
и график ее линий уровня.
2. Найти значения выражений:
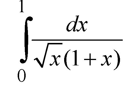
а) ;
;
;
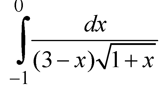
b)
;
;
c)
.
d)
;
3.
Найти если
4. Решить систему линейных и нелинейных уравнений:
5.
Решить задачу Коши для ОДУ первого
порядка
КРИВОРІЗЬКИЙ МЕТАЛУРГІЙНИЙ ІНСТИТУТ
ДЕРЖАВНИЙ ВИЩИЙ НАВЧАЛЬНИЙ ЗАКЛАД
КРИВОРІЗЬКИЙ НАЦІОНАЛЬНИЙ УНІВЕРСИТЕТ
КАФЕДРА АВТОМАТИЗОВАНОГО УПРАВЛІННЯ МЕТАЛУРГІЙНИМИ ПРОЦЕСАМИ ТА ЕЛЕКТРОПРИВОДОМ
С еместрова контрольна робота
Спеціальність: _______________________________________________________________
Група: _______________________________________________________________________
Дисципліна: Математичні моделі в розрахунках на ЕОМ
Студент ________________________________ № залік. книжки ____________________
Дата видачі_____________________________ Видав ______________________________
Варіант
1.
Построить график полинома Чебышева
четвертой степени
на интервале
и
найти значение этой функции при х = 0.5.
Построить
график функции двух переменных
и график ее линий уровня.
2. Найти значения выражений:
а) ;
;
;
b)
c)
.
d)
;
3.
Найти если
4. Решить систему линейных и нелинейных уравнений:
5. Решить задачу Коши для ОДУ первого порядка
КРИВОРІЗЬКИЙ МЕТАЛУРГІЙНИЙ ІНСТИТУТ
ДЕРЖАВНИЙ ВИЩИЙ НАВЧАЛЬНИЙ ЗАКЛАД
КРИВОРІЗЬКИЙ НАЦІОНАЛЬНИЙ УНІВЕРСИТЕТ
КАФЕДРА АВТОМАТИЗОВАНОГО УПРАВЛІННЯ МЕТАЛУРГІЙНИМИ ПРОЦЕСАМИ ТА ЕЛЕКТРОПРИВОДОМ
Семестрова контрольна робота
Спеціальність: _______________________________________________________________
Група: _______________________________________________________________________
Дисципліна: Математичні моделі в розрахунках на ЕОМ
Студент ________________________________ № залік. книжки ____________________
Дата видачі_____________________________ Видав ______________________________
Варіант
1.
Построить график полинома Чебышева
четвертой степени
на интервале
и
найти значение этой функции при х = 0.5.
Построить
график функции двух переменных
и график ее линий уровня.
2. Найти значения выражений:
а ) ;
;
;
b)
;
;
c)
.
d)
;
3.
Найти если
4. Решить систему линейных и нелинейных уравнений:
5.
Решить задачу Коши для ОДУ первого
порядка
КРИВОРІЗЬКИЙ МЕТАЛУРГІЙНИЙ ІНСТИТУТ
ДЕРЖАВНИЙ ВИЩИЙ НАВЧАЛЬНИЙ ЗАКЛАД
КРИВОРІЗЬКИЙ НАЦІОНАЛЬНИЙ УНІВЕРСИТЕТ
КАФЕДРА АВТОМАТИЗОВАНОГО УПРАВЛІННЯ МЕТАЛУРГІЙНИМИ ПРОЦЕСАМИ ТА ЕЛЕКТРОПРИВОДОМ
