- •Содержание
- •7.1. Основные понятия и определения 114
- •11. Задачи динамического программирования 127
- •1. Основные понятия и определения
- •2. Классификация экономико-математических моделей
- •3. Обобщенный алгоритм построения эмм
- •4. Метод Жордана-Гаусса
- •Табличная форма представления системы линейных уравнений
- •5. Задачи линейного программирования
- •5.1. Свойства задач лп
- •5.2. Графический (геометрический) метод решения задач лп
- •2 Этап: определение решения каждого из неравенств системы ограничений.
- •4 Этап: построение вектора-градиента.
- •5 Этап: построение прямой целевой функции.
- •6 Этап: определение оптимума целевой функции.
- •2 Этап: определение решения каждого из неравенств системы ограничений.
- •3 Этап: определение одр задачи линейного программирования.
- •Построение области допустимых решений задачи
- •5.3. Симплекс-метод решения задач лп
- •Представление исходной задачи в виде симплекс таблицы.
- •Исходная симплекс-таблица
- •2. Определение базисного решения.
- •3. Проверка совместности системы ограничений.
- •4. Проверка ограниченности целевой функции.
- •5. Проверка допустимости базисного решения.
- •6. Проверка оптимальности найденного базисного решения.
- •7. Проверка альтернативности найденного оптимального решения.
- •8. Определение разрешающего элемента.
- •8.1. Определение разрешающей колонки.
- •8.2. Определение разрешающей строки.
- •8.3. Определение разрешающего элемента.
- •9. Преобразование симплекс-таблицы.
- •I итерация:
- •1 Этап: формирование исходной симплекс-таблицы.
- •8.2. Определение разрешающей строки.
- •II итерация:
- •1 Этап: составление симплекс-таблицы.
- •Симплекс-таблица II итерации
- •Симплекс-таблица II итерации
- •9 Этап: преобразование симплекс-таблицы.
- •III итерация
- •1 Этап: построение новой симплекс-таблицы.
- •Симплекс-таблица III итерации
- •Симплекс-таблица III итерации
- •9 Этап: преобразование симплекс-таблицы.
- •IV итерация
- •1 Этап: построение новой симплекс-таблицы.
- •Симплекс-таблица IV итерации
- •I итерация:
- •1 Этап: формирование исходной симплекс-таблицы.
- •I итерация
- •1 Этап: составление исходной симплекс-таблицы.
- •2 Этап: определение базисного решения.
- •3 Этап: проверка совместности системы ограничений злп.
- •5.4. Двойственные задачи лп
- •5.5. Двойственный симплекс-метод решения задач лп
- •Симплекс-таблица оптимального решения исходной задачи
- •Симплекс-таблица оптимального решения исходной задачи
- •6. Задачи целочисленного (дискретного) лп
- •6.1. Задачи лп транспортного типа
- •6.2. Метод потенциалов
- •1. Проверка сбалансированности запасов и потребностей.
- •2. Разработка исходного опорного плана.
- •3. Проверка вырожденности опорного плана.
- •4. Расчет потенциалов.
- •5. Проверка плана на оптимальность.
- •6. Поиск «вершины максимальной неоптимальности» (вмн).
- •7. Построение контура перераспределения поставок.
- •8. Определение минимального элемента в контуре перераспределения и перераспределение поставок по контуру.
- •9. Получение нового опорного плана.
- •I итерация:
- •1 Этап: проверка сбалансированности запасов и потребностей.
- •2 Этап: разработка исходного опорного плана.
- •3 Этап: проверка вырожденности опорного плана.
- •4 Этап: расчет потенциалов.
- •5 Этап: проверка плана на оптимальность.
- •6 Этап: поиск «вершины максимальной неоптимальности» (вмн).
- •7 Этап: построение контура перераспределения поставок.
- •8 Этап: определение минимального элемента в контуре перераспределения и перераспределение поставок по контуру.
- •9 Этап: получения нового опорного плана.
- •II итерация:
- •1 Этап: проверка вырожденности опорного плана.
- •2 Этап: расчет потенциалов.
- •3 Этап: проверка плана на оптимальность.
- •4 Этап: поиск «вершины максимальной неоптимальности» (вмн).
- •5 Этап: построение контура перераспределения поставок.
- •6 Этап: определение минимального элемента в контуре перераспределения и перераспределение поставок по контуру.
- •7 Этап: получения нового опорного плана.
- •III итерация:
- •1 Этап: проверка вырожденности опорного плана.
- •2 Этап: расчет потенциалов.
- •3 Этап: проверка плана на оптимальность.
- •4 Этап: поиск «вершины максимальной неоптимальности» (вмн).
- •5 Этап: построение контура перераспределения поставок.
- •6 Этап: определение минимального элемента в контуре перераспределения и перераспределение поставок по контуру.
- •7 Этап: получения нового опорного плана.
- •VI итерация:
- •1 Этап: проверка вырожденности опорного плана.
- •2 Этап: расчет потенциалов.
- •3 Этап: проверка плана на оптимальность.
- •6.3. Варианты заданий
- •6.4. Метод Гомори
- •2 Этап: формирование правильного отсечения.
- •3 Этап: корректировка исходной задачи с ослабленными ограничениями с учетом правильного отсечения.
- •4 Этап: решение скорректированной задачи.
- •I итерация
- •2 Этап: формирование правильного отсечения.
- •3 Этап: корректировка исходной задачи с ослабленными ограничениями с учетом правильного отсечения.
- •4 Этап: решение скорректированной задачи.
- •II итерация
- •1 Этап: формирование правильного отсечения.
- •2 Этап: корректировка исходной задачи с ослабленными ограничениями с учетом правильного отсечения.
- •3 Этап: решение скорректированной задачи.
- •6.5. Метод ветвей и границ
- •2 Этап: формирование исключаемой области.
- •3 Этап: формирование и решение задач с дополнительными ограничениями.
- •I итерация
- •2 Этап: формирование исключаемой области.
- •3 Этап: формирование и решение задач с дополнительными ограничениями.
- •II итерация
- •1 Этап: формирование исключаемой области.
- •2 Этап: формирование и решение задач с дополнительными ограничениями.
- •7. Теория игр
- •7.1. Основные понятия и определения
- •7.2. Платежная матрица. Нижняя и верхняя цена игры
- •Платежная матрица
- •Платежная матрица игры «поиск»
- •Платежная матрица игры
- •7.3. Решение игр в смешанных стратегиях
- •7.4. Правило доминирования
- •11.2. Принцип оптимальности и уравнения Беллмана
- •11.3. Задача распределения ресурсов
- •Расчет условных оптимумов
- •11.4. Задача замены оборудования
- •Исходные данные
- •Коэффициенты, учитывающие инфляцию
- •Зачетно-экзаменационные вопросы
- •1. Теоретические тестовые вопросы
- •2. Теоретические тестовые вопросы по MathCad
- •3. Практические тестовые вопросы
- •1. Вопросы по системам линейных уравнений и методу Жордана-Гаусса:
- •2. Вопросы по формам задач линейного программирования:
- •3. Вопросы по свойствам задач линейного программирования и геометрическому методу их решения:
- •4. Вопросы по симплекс-методу решения задач линейного программирования:
- •5. Вопросы по составлению двойственных задач линейного программирования:
11.4. Задача замены оборудования
Оборудование эксплуатируется в течение T лет, после чего продается (считается, что после T лет оборудование в результате морального износа не способно обеспечить выпуск конкурентоспособной продукции). В начале каждого года принимается решение сохранить оборудование или заменить его новым аналогичным (при этом старое оборудование продается, а вырученные средства направляются на покрытие части стоимости нового оборудования).
Известны (таблица 11.2):
стоимость нового оборудования p;
первоначальные затраты по новому оборудованию r(0), включающие затраты на доставку, монтаж оборудования, пуско-наладочные работы и др.;
эксплуатационные затраты r(t) (осуществляются в начале каждого периода, зависят от возраста оборудования t);
рыночная (ликвидная) стоимость оборудования, эксплуатировавшегося t лет φ(t),
прогнозные годовые темпы прироста инфляции R.
Таблица 11.2
Исходные данные
T =5 лет (горизонт планирования) |
1 |
2 |
3 |
4 |
5 |
|
R (% годовых) |
15 |
15 |
15 |
15 |
15 |
|
|
|
|
|
|
|
|
(в постоянных ценах, усл. ден. ед.) |
||||||
t (возраст оборудования) |
0 (новое) |
1 |
2 |
3 |
4 |
5 |
p |
8000 |
|
|
|
|
|
r(t) |
600 |
800 |
1100 |
1500 |
2000 |
|
φ(t) |
|
6000 |
5000 |
3000 |
1000 |
500 |
Необходимо определить оптимальную стратегию замены оборудования, обеспечивающую минимальные суммарные затраты на эксплуатацию в течение рассматриваемого периода T в условиях текущих цен (рассчитанных с учетом прогнозных годовых темпов прироста инфляции R – условно приняты постоянными).
Решение:
Примем способ деления управления на шаги – по годам. Исходя из заданной величины горизонта планирования T=5 лет, соответственно k=1, 2, …, 5, где k – рассматриваемый шаг управления (начало k-го года).
В качестве параметра
состояния системы примем возраст
оборудования:
–
возраст оборудования t
к концу k-го
года (
– начальное состояние системы). Причем
зависит от управления (управленческого
решения)
,
принимаемого на k-ом
управленческом шаге (в начале k-го
года). Управление
в зависимости от возраста оборудования
может принимать одно из следующих
значений
,
где P –
приобрести оборудование, при k=1;
S
– сохранить оборудование, при k=2,
3, …, 5; Z
– заменить оборудование новым, при k=2,
3, …, 5. Тогда уравнения состояний можно
записать в следующем виде:
(11.14)
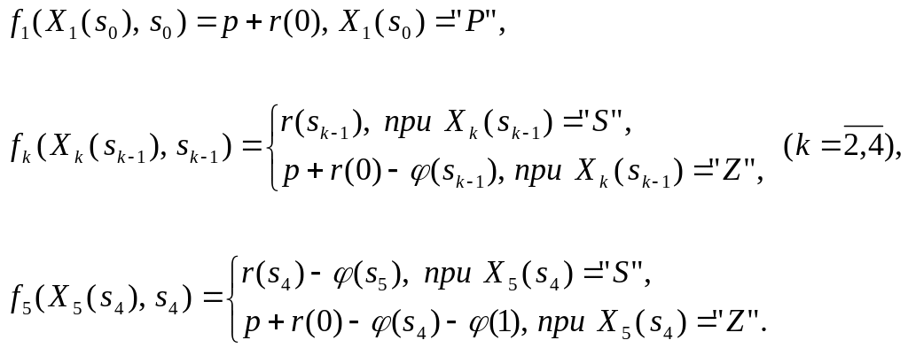
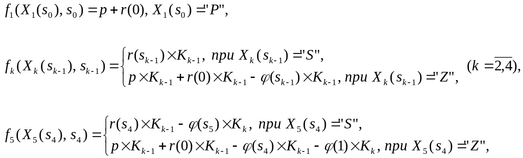
Показатели эффективности k-го шага в постоянных ценах:
(11.15)
Показатели эффективности k-го шага в текущих ценах:
(11.16)
где
– коэффициент, учитывающий инфляцию
(рассчитывается по методу сложных
процентов на конец года):
для 1 года:
;
для 2 года:
;
для n
года:
.
Если темпы инфляции постоянные или приблизительно постоянные, то можно воспользоваться следующей формулой:
(11.17)
Пусть
– условно-оптимальные затраты на
эксплуатацию оборудования, начиная с
k-го
шага до конца, при условии, что к началу
k-го
шага оборудование имеет возраст t
лет, т.е.
.
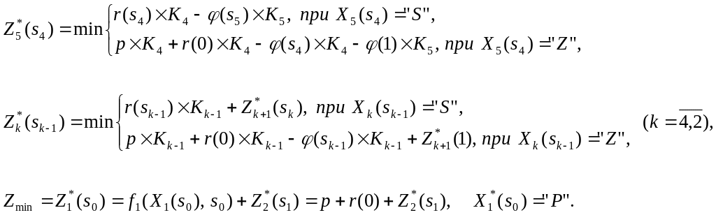
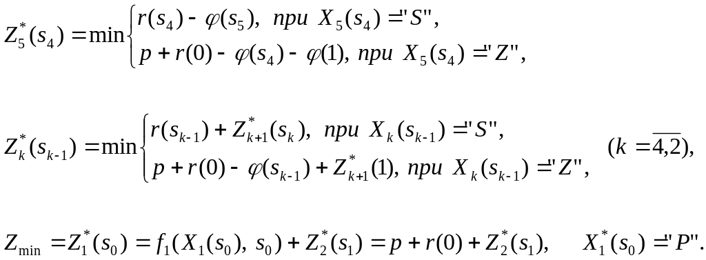
Тогда рекуррентные уравнения Р.Э. Беллмана (обратная схема) будут иметь вид (в постоянных ценах):
(11.18)
В условиях текущих цен рекуррентные уравнения Р.Э. Беллмана (обратная схема) будут иметь вид:
(11.19)
Далее по полученным
результатам условной оптимизации можно
определить оптимальную стратегию замены
оборудования
по следующей схеме:
Для рассматриваемого примера значения коэффициентов, учитывающих инфляцию и рассчитанных по формуле (11.17), будут следующими:
Таблица 11.1
