- •1.Определенный интеграл. Геометрич.И экон.Смысл
- •3. Формула Ньютона-Лейбница.
- •4. .Интегрирование подстановкой (замена переменой).
- •5. . Интегрирование по частям.
- •6. Использование интеграла в экономических задачах.
- •7. Интегрирование чётных и нечетных функций в симметричных пределах.
- •8. Несобственный интеграл первого рода.
- •9. Несобственный интеграл второго рода.
- •10. Двойной интеграл. Геометрический и физический смысл.
- •11. Свойства двойного интеграла.
- •12. Вычисление двойного интеграла в декартовых координатах
- •13. Вычисление двойного интеграла в полярных координатах.
- •14. Числовые ряды. Основные понятия.
- •15. Ряд геометрической прогрессии. Необходимый признак сходимости ряда. Гармонический ряд.
- •17. Признаки Даламбера и Коши
- •18. Интегральный признак Коши.
- •19. Знакочередующиеся ряды. Признак Лейбница
- •20. Абсолютн. И условн. Сходимость числов. Рядов.
- •21. Функциональный ряд. Основные понятия
- •22. Степенные ряды. Теорема Абеля. Интервал и радиус сходимости степенного ряда.
1.Определенный интеграл. Геометрич.И экон.Смысл
О
пределенный
интеграл - одно из основных понятий
математического анализа. Вычисление
площадей, длин дуг, объёмов, работы,
скорости, моментов инерции и т. д. сводится
к вычислению определенного интеграла,
который, в свою очередь, тесно связан с
неопределенным. Определённым интегралом
от непрерывной функции f(x) на конечном
отрезке [a, b] (где ) называется приращение
какой-нибудь её первообразной на этом
отрезке. При этом употребляется запись
Геометрический смысл определенного интеграла. Если f(x) непрерывна и положительна на [a, b], то интеграл представляет собой площадь криволинейной трапеции, ограниченной линиями y = 0, x = a, x = b, y = f(x). Экономический смысл определенного интеграла: выражает объем произведенной продукции при известной функции производительности труда.
2. Свойства определенного интеграла.
Определенный интеграл от единицы равен длине интервала интегрирования:
Постоянный множитель можно выносить за знак определенного интеграла:
Определенный интеграл от суммы функций равен сумме интегралов от этих функций:
Определенный интеграл от разности функций равен разности интегралов от этих функций:
Если верхний предел равен нижнему, то определенный интеграл равен нулю:
При перестановке пределов интегрирования определенный интеграл изменяет знак на противоположный:
Пусть точка c принадлежит отрезку [a, b]. Тогда определенный интеграл от функции f(x) на отрезке [a, b] равен сумме интегралов на частичных промежутках [a, c] и [c, b]:
Определенный интеграл от неотрицательной(неположит.) функции всегда больше(меньше) или равен нулю и другие.
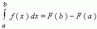
3. Формула Ньютона-Лейбница.
Формула Ньютона-Лейбница - даёт соотношение между операциями взятия определенного интеграла и вычисления первообразной. Формула Ньютона-Лейбница - основная формула интегрального исчисления.
Данная формула верна для любой функции f(x), непрерывной на отрезке [а, b], F - первообразная для f(x). Таким образом, для вычисления определенного интеграла нужно найти какую-либо первообразную F функции f(x) , вычислить ее значения в точках a и b и найти разность F(b) – F(a).
4. .Интегрирование подстановкой (замена переменой).
Метод интегрирования подстановкой заключается во введении новой переменной интегрирования (то есть подстановки). При этом заданный интеграл приводится к новому интегралу, который является табличным или к нему сводящимся. Общих методов подбора подстановок не существует. Умение правильно определить подстановку приобретается практикой. При решении задач нельзя забывать о том, что при переходе к новой переменной надо обязательно вычислить новые пределы интеграла.
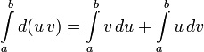
5. . Интегрирование по частям.
О
дин
из способов нахождения интеграла.
Применение для нахождения опред.
интеграла в целом аналогично случаю
неопределённого интеграла:
Данные формулы справедливы, если каждая из функций ю и вэ непрерывно дифференцируемы на области интегрирования.
