- •2)Определители третьего порядка и их свойства:
- •12) Линейная зависимость векторов (линейные комбинации двух и трех векторов).
- •13) Линейная зависимость векторов (линейные комбинации четырех векторов).
- •14) Скалярное произведение двух векторов: геометрические и алгебраические свойства скалярногo.
- •15) Скалярное произведение двух векторов: выражение скалярного произведения в декартовой системе координат.
- •16) Векторное произведение двух векторов: геометрические и алгебраические свойства векторного произведения.
- •21) Каноническое уравнение прямой. Прямая с угловым коэффициентом.
- •22) Угол между двумя прямыми, условие параллельности и перпендикулярности двух прямых
- •23) Нормированное уравнение прямой, отклонение точки от прямой.
- •24) Общее уравнение плоскости. Неполные уравнения плоскости, уравнение плоскости в отрезках.
- •25) Угол между двумя плоскостями, условие параллельности и перпендикулярности плоскостей.
- •26) Уравнение плоскости, проходящей через три различные точки, не лежащие на одной прямой.
- •27) Каноническое уравнение прямой в пространстве. Уравнение прямой, проходящей через две различные точки в пространстве.
- •28) Угол между двумя прямыми в пространстве, условие параллельности и перпендикулярности двух прямых.
- •29) Условие принадлежности двух прямых к одной плоскости. Угол между прямой плоскостью.
- •30) Условие параллельности и перпендикулярности прямой и плоскости. Условие принадлежности прямой и плоскости.
- •31) Эллипс и его свойства.
- •32) Гипербола и ее свойства.
- •33) Парабола и ее свойства.
16) Векторное произведение двух векторов: геометрические и алгебраические свойства векторного произведения.
Три некомпланарных (не лежащих в одной плоскости) вектора a, b и c взятые в указанном порядке, образуют правую тройку, если с конца вектора c кратчайший поворот от вектора a к вектору b виден совершающимся против часовой стрелки, и левую, если по часовой.
Вектор
называется векторным
произведением неколлинеарных
векторов
и
,
если:
1)
его
длина равна произведению длин
векторов
и
на
синус угла между ними:
2) вектор ортогонален векторам и ;
3) векторы , , (в указанном порядке) образуют правую тройку.
Векторное произведение коллинеарных векторов (в частности, если хотя бы один из множителей — нулевой вектор) считается равным нулевому вектору.
Векторное
произведение обозначается
(или
).
Алгебраические свойства векторного произведения
;
;
.
|
|
|
|
|
|
|
|
|
|
Геометрические свойства векторного произведения
Необходимым и достаточным условием коллинеарности двух ненулевых векторов является равенство нулю их векторного произведения.
Модуль
векторного произведения
равняется
площади
параллелограмма,
построенного на приведённых к общему
началу векторах
и
Если
— единичный
вектор,
ортогональный векторам
и
и
выбранный так, что тройка
—
правая, а
—
площадь параллелограмма, построенного
на них (приведённых к общему началу), то
для векторного произведения справедлива
формула:
Если
—
какой-нибудь вектор,
—
любая плоскость, содержащая этот
вектор,
—
единичный вектор, лежащий в плоскости
и
ортогональный к
,
—
единичный вектор, ортогональный к
плоскости
и
направленный так, что тройка
векторов
является
правой, то для любого лежащего в
плоскости
вектора
справедлива
формула
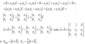
17) Векторное произведение двух векторов: выражение векторного произведения в декартовой системе координат.
18) Смешанное произведение векторов и его свойства.
19) Смешанное произведение в декартовой системе координат.
20) Общее уравнение прямой. Неполное уравнение прямой, уравнение прямой в отрезках.
Уравнение
вида
формула есть общее уравнение прямой на
плоскости в прямоугольной системе
координат Oxy. Из доказательства теоремы
также видно, что коэффициенты А и В при
переменных x и y являются соответствующими
координатами нормального вектора
прямой, заданной общим уравнением прямой
вида.
Если один или два из трех коэффициентов (считая и свободный член) обращаются в нуль, то уравнение называется неполным. Возможны следующие случаи:
1).
С=0; уравнение имеет вид
и
определяет прямую, проходящую через
начало координат.
2).
В=0 (А0); уравнение имеет вид
и
определяет прямую, перпендикулярную к
оси Ох. Это уравнение может быть записано
в виде х=а, где
является величиной отрезка, который
отсекает прямая на оси Ох, считая от
начала координат.
3). В=0, С=0 (А0); уравнение может быть записано в виде х=0 и определяет ось ординат.
4).
А=0 (В0); уравнение имеет вид
и
определяет прямую, перпендикулярную к
оси Оу. Это уравнение может быть записано
в виде y=b, где
является
величиной отрезка, который отсекает
прямая на оси Оу, считая от начала
координат.
5). А=0, С=0 (В0); уравнение может быть записано в виде у=0 и определяет ось абсцисс.
Если ни один из коэффициентов уравнения (1) не равен нулю, то его можно преобразовать к виду
,
(2)
где , суть величины отрезков, которые отсекает прямая на координатных осях.
Уравнение (2) называется уравнением прямой «в отрезках».
Если две прямые даны уравнениями
и
,
то могут представиться три случая:
а).
-
прямые имеют одну общую точку;
б).
-
прямые параллельны;
в).
-
прямые сливаются, то есть оба уравнения
определяют одну и ту же прямую.
