- •Введение
- •§1. Электрические цепи постоянного тока
- •1.1. Источник э.Д.С. И источник тока
- •1.2. Допустимые и недопустимые комбинации соединений идеальных источников в электрических цепях
- •1.3. Методы расчета электрических цепей
- •1.3.1. Метод эквивалентного генератора
- •1.3.2. Принцип наложения и метод наложения
- •1.3.3. Метод, основанный на использовании первого и второго законов Кирхгофа
- •1.3.4. Метод контурных токов
- •1.3.5. Метод узловых потенциалов
- •1.3.6. Сравнение метода контурных токов и метода узловых потенциалов
- •1.3.7. Преобразование звезды в треугольник и треугольника в звезду
- •§2. Электрические цепи синусоидального переменного тока
- •2.1. Синусоидальный ток и его основные характеристики
- •2.2. Символический метод расчета цепей синусоидального тока
- •2.3. Мощность в цепи синусоидального переменного тока
- •§4. Переходные процессы в электрических цепях
- •4.1. Общий подход к анализу переходных процессов
- •4.2. Классический метод анализа переходного процесса
- •4.3 Формализация классического метода
- •4.4. Переходные процессы в цепях синусоидального переменного тока
- •4.5. Операторный метод анализа переходных процессов
4.3 Формализация классического метода
Можно обратить внимание на тот факт, что характеристическое уравнение (4.2.1) цепи, представленной на рис. 4.1.1, имеет аналогию с выражением полного сопротивления цепи для синусоидального переменного тока в символическом методе:
.
Если это выражение приравнять к нулю и оператор j заменить оператором p, получим характеристическое уравнение (4.2.1).
Эту аналогию можно углубить, понимая под оператором p т. н. обобщенную частоту, т. е. частоту, которая изменяется от бесконечности до нуля при развитии во времени переходного процесса, т. е.
.
В первый момент времени переходного процесса t = 0, p , т. е. частота переходного процесса бесконечно велика. Для этого момента времени сопротивление индуктивности pL бесконечно велико, сопротивление емкости 1/pC бесконечно мало. Индуктивность равноценна разрыву цепи, емкость – короткому замыканию.
При нарастании времени переходного процесса частота p переходного процесса падает. В результате сопротивление индуктивности pL падает, сопротивление емкости 1/pC растет. В пределе, при t , сопротивление индуктивности становится равным нулю, сопротивление емкости – бесконечно большой величине. Такая частотная интерпретация, аналогично законам коммутации, может быть использована для анализа начальных условий задачи о переходном процессе и составления таблицы.
Таким образом, цепь на рис. 4.1.1 при переходном процессе обладает сопротивлением:
.
В общем случае для сложных цепей может быть составлена система характеристических уравнений, например, по методу контурных токов (или узловых потенциалов). Определитель этой системы, приравненный к нулю, будет характеристическим уравнением системы
,
. (4.3.2)
Таким образом, формально характеристическое уравнение есть полное сопротивление цепи на частоте p, приравненное нулю. Пользуясь этим выводом и аналогией с символическим методом, можно не составлять систему дифференциальных уравнений, а сразу начинать решение задачи с составления системы характеристических уравнений. Продемонстрируем вышесказанное решением задачи с использованием метода контурных токов.
Рис. 4.3.1
Решение. Составим определитель сопротивлений по методу контурных токов и приравняем его к нулю (см. свойства 1–3 в § 1.3.4):
;
откуда
,
решим полученное уравнение
;
;
.
Таким образом, решение для тока будет иметь вид
. (4.3.3)
Решение для напряжения найдем интегрированием решения (4.3.3):
(4.3.4)
:
;
,
откуда
;
.
Окончательное решение для тока
.
Решение для напряжения имеет вид
.
Рис. 4.3.2 Рис. 4.3.3
На рис. 4.3.2 представлен переходный
процесс для тока
,
на рис. 4.3.3 – для напряжения UAB.
Рис. 4.3.4
Решение. 1.Найдем характеристическое уравнение
,
,
откуда
.
Корни характеристического уравнения
,
,
. (4.3.5)
2. Составим таблицу начальных условий:
3. В общем виде решение для токов и напряжений:
. (4.3.6)
Однако так как корни характеристического уравнения комплексно сопряжены, сопряжены не только p1 и p2, но и коэффициенты A1 и A2; в результате решение можно представить как
.
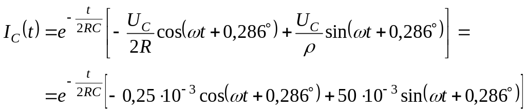
4. Найдем напряжение и ток конденсатора:
; (4.3.7)
(4.3.8)
Решим уравнение (4.3.8) для момента t = 0+:
;
;
;
.
Решим уравнение (4.3.7) для момента
:
,
откуда
.
Окончательно напряжение на емкости:
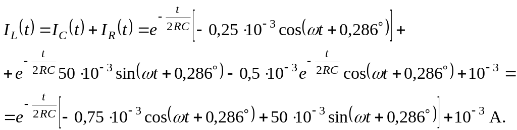
Ток через емкость:
A.
Ток через резистор R2:
Ток индуктивности IL можно найти из уравнения Кирхгофа:
Напряжение на индуктивности так же найдем из уравнения Кирхгофа:
На рис. 4.3.5а и 4.3.5б представлены в качестве примера графики переходных процессов напряжений на катушке индуктивности и на конденсаторе (здесь и далее графики получены с помощью моделирующей программы Work Bench).
Рис. 3.4.5а
Рис. 3.4.5б
Рис. 4.3.6
