- •Модуль 2. Аналітична геометрія та вступ до математичного аналізу
- •Тема 5. Лінії на площині.
- •1. Системи координат на площині.
- •2. Рівняння лінії на площині.
- •4. Умови паралельності та перпендикулярності прямих. Відстань від точки до прямої.
- •4.1. Умова паралельності прямих.
- •4.2. Умова перпендикулярності прямих.
- •4.3. Відстань від точки до прямої.
- •4.4. Кут між двома прямими.
- •Тема 6. Рівняння площини та прямої в просторі.
- •1. Декартова прямокутна системи координат.
- •2.4. Рівняння площини через три не колінеарні точки.
- •2.5. Рівняння площини у відрізках.
- •2.6. Розташування площини відносно системи координат.
- •5. Взаємне розташування двох прямих в просторі.
- •6. Взаємне розташування прямої та площини в просторі.
- •7. Кут між двома прямими.
- •8. Кут між прямою та площиною.
Модуль 2. Аналітична геометрія та вступ до математичного аналізу
Тема 5. Лінії на площині.
1. Системи координат на площині.
П
роведемо
на площині через точку О
дві взаємно перпендикулярні прямі х
та у –
вісі
координат.
Вісь х
називається віссю
абсцис, а вісь у
– віссю ординат.
Точка перетину О
– початком координат.
На віссях координат відмітимо масштаб – одиничний відрізок.
Кожній точці А площини співставимо пару чисел – координати точки – абсцису (х0) та ординату (у0). Точки вісі абсцис мають рівні нулю ординати у=0, а точки вісі ординат мають рівні нулю абсциси х=0. Початок координат О(0, 0).
Означення 8.1. Побудовану таким способом систему координат називають декартовою.
2. Рівняння лінії на площині.
Нехай на площині задана лінія (крива). Координати х та у точки, що лежить на лінії, не можуть бути довільними, а повинні бути якимось-чином пов’язані. Такий зв’язок записується у вигляді рівняння.
Означення 8.2.
Рівнянням кривої
на площині називається рівняння
,
якщо координати будь-якої точки кривої
задовольняють це рівняння, а координати
точки, що не лежить на кривій, не
задовольняє це рівняння.
Приклад.
8.1. Нехай
є крива
і точки
,
,
,
.
Які точки належать прямій?
:
– точка
належить лінії.
:
– точка
не належить лінії.
3. Рівняння прямої на площині, їх різновиди.
3.1. Рівняння прямої з кутовим коефіцієнтом.
Н
ехай
пряма перетинає вісь ординат в точці
і утворює з віссю абсцис кут α.
Візьмемо на прямій довільну точку
.
Тоді тангенс кута α
нахилу прямої знайдемо з прямокутного
трикутника MBN:
.
– називається кутовим коефіцієнтом
прямої.
(8.1)
Рівняння 8.1. називається рівнянням прямої з кутовим коефіцієнтом.
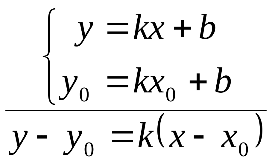
3.2. Рівняння прямої через точку і кутовий коефіцієнт.
Нехай пряма проходить через
точку
і утворює з віссю абсцис кут α.
Так як
лежить на прямій, то її координати
задовольняють рівняння 8.1., тобто
.
(8.2)
Рівняння 8.2. називається рівнянням прямої через точку і кутовий коефіцієнт.
3.3. Рівняння прямої через точку і напрямний вектор.
Н
ехай
пряма проходить через точку
і паралельна вектору
.
Візьмемо на прямій довільну точку
.
Тоді вектор
.
А тому координати векторів повинні бути
пропорційними.
(8.3)
Рівняння 8.3. називається рівнянням прямої через точку і напрямний вектор.
3.4. Рівняння прямої через дві точки.
Н
ехай
пряма проходить через точки
і
.
В якості вектора
візьмемо вектор
,
який паралельний прямій l,
а тому і вектору
.
Підставивши в рівняння 8.3., отримаємо:
(8.4)
Рівняння 8.4. називається рівнянням прямої через дві точки.
3.5. Рівняння прямої у відрізках.
Н
ехай
пряма перетинає вісь абсцис в точці
,
вісь ординат в точці
.
Запишемо рівняння прямої через дві
точки 8.4.
;
;
(8.5)
Р
івняння
8.5. називається рівнянням
прямої у відрізках.
3.6. Рівняння прямої через точку і нормальний вектор.
Вектор
,
перпендикулярний до прямої l,
називається нормальним.
Нехай пряма проходить через
точку
і перпендикулярна вектору
.
Візьмемо на прямій довільну точку
.
Тоді вектор
.
А тому їх скалярний добуток дорівнює
нулю.
(8.6)
Рівняння 8.6. називається рівнянням прямої через точку і нормальний вектор.
3.7. Загальне рівняння прямої, її розташування.
В рівнянні 8.6. розкриємо дужки
і позначимо вираз
.
Отримали рівняння.
(8.7)
Рівняння 8.7. називається
загальним рівнянням
прямої. Коефіцієнти
є координатами нормального вектора
.
Причому коефіцієнти
не можуть дорівнювати нулю одночасно.
З’ясуємо як розташовується
пряма
відносно осей координат.
1. Нехай
.
Тоді
,
.
Всі точки прямої мають однакову ординату
,
тому
.
2. Нехай
.
Тоді
,
.
Це вісь абсцис, тому
.
3. Нехай
.
Тоді
,
.
Всі точки прямої мають однакову абсцису
,
тому
.
4. Нехай
.
Тоді
,
.
Це вісь ординат, тому
.
5. Нехай
.
Тоді
.
Пряма проходить через початок координат.
