5 Практичне заняття № 5
Тема: |
Двоїста задача лінійного програмування |
Мета: |
|
Час: |
2 год. |
Порядок виконання роботи
Представити викладачу виконане домашнє завдання. Умову завдання наведено у п.4.5
Проробити практичну частину.
Виконати домашнє завдання.
Завдання для самопідготовки
У процесі підготовки до заняття студент в обов’язковому порядку повинен виконати наступні завдання:
а) вивчити конспект лекцій;
б) опрацювати рекомендовану літературу: [1] с. 47-55;
Практична частина
5.3.1 Контрольний приклад
Задача 1
Визначити максимальне значення функції
при заданій системі обмежень:
Скласти двоїсту задачу і розв’язати її геометричним методом. За розв’язком двоїстої задачі знайти розв’язок вихідної задачі.
Розв’язання
Цільова функція складається у пошуку максимального значення, тому система обмежень повинна мати вигляд (2). Помножимо другу нерівність на –1, отримаємо наступну систему
Складемо двоїсту задачу для вихідної. Для цього запишемо матрицю коефіцієнтів А вихідної задачі
.
Визначимо матрицю АТ, яка є транспонованою до А
.
Кількість
змінних у двоїстій задачі дорівнює
кількості обмежень системи вихідної
задачі – двом. Тобто це змінні
.
Коефіцієнти при невідомих у цільовій функції двоїстої задачі дорівнюють вільним членам в системі обмежень вихідної задачі, тобто –8 і –6.
Цільова функція вихідної задачі складається в визначені максимального значення, тому цільова функція двоїстої задачі складається в визначенні мінімального значення.
Змінні
вихідної задачі приймають лише невід’ємні
значення, тому в системі умов двоїстої
задачі повинно бути сім нерівностей
виду “
”.
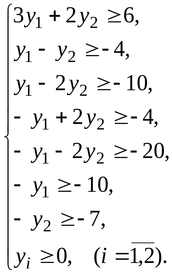
Таким чином, двоїста задача відповідно до вихідної задачі полягає в визначенні мінімального значення функції
при умовах
Розв’яжемо двоїсту задачу геометричним методом.
Побудуємо багатокутник розв’язків. Для цього будуємо напівплощини відповідно кожної нерівності, їх межи визначені відповідними прямими
-
(1)
(2)
(3)
(4)
(5)
(6)
(7)
Графіком отриманих рівнянь є прямі, які проходять відповідно крізь точки
(0; 3) і (2; 0); |
(1) |
(0;4) і (-4; 0); |
(2) |
(0; 5) і (-10; 0); |
(3) |
(0; -2) і (4; 0); |
(4) |
(0; 10) і (10; 5); |
(5) |
(10; 0) і (10; 5); |
(6) |
(0;7) і (10; 7). |
(7) |
Визначаємо
напівплощини, які задані кожною
нерівністю. Багатокутник розв’язків
ABDFKLMNО зображено на рис.
5.2. Будуємо вектор
та
пряму рівня
,
перпендикулярно до
.
Рисунок 5.2 – Багатокутник розв’язків задачі.
Пересуваємо
пряму
в напрямку протилежному напрямкові
вектора
.
Остання загальна точка з багатокутником
розв’язку (точка
)
є точкою, у якій цільова функція досягає
свого мінімального значення. Точка
є точкою перетину п’ятої і шостої
прямих. Координати точки К задовольняють
рівнянням цих прямих.
Таким
чином,
і цільова функція
досягає свого мінімального значення
.
За розв’язком двоїстої задачі визначимо розв’язок прямої.
Точка
є точкою перетину п’ятої і шостої
прямих. Як відомо, обмеження двоїстої
задачі відповідають змінним прямої
задачі. Тобто п’яте і шосте обмеження
відповідають змінним
і
,
тому змінні
,
є ненульовими, а
,
,
,
.
Таким чином розв’язуємо наступну
систему рівнянь
Отримані значення підставляємо в цільову функцію, одержуємо максимальне значення цільової функції, а саме
Висновок
Цільова
функція
вихідної задачі досягає свого максимального
значення
при
0;
0;
0;
0;
3;
5;
0.
Цільова
функція
двоїстої задачі досягає свого мінімального
значення
при
10,
5.
Задача 2
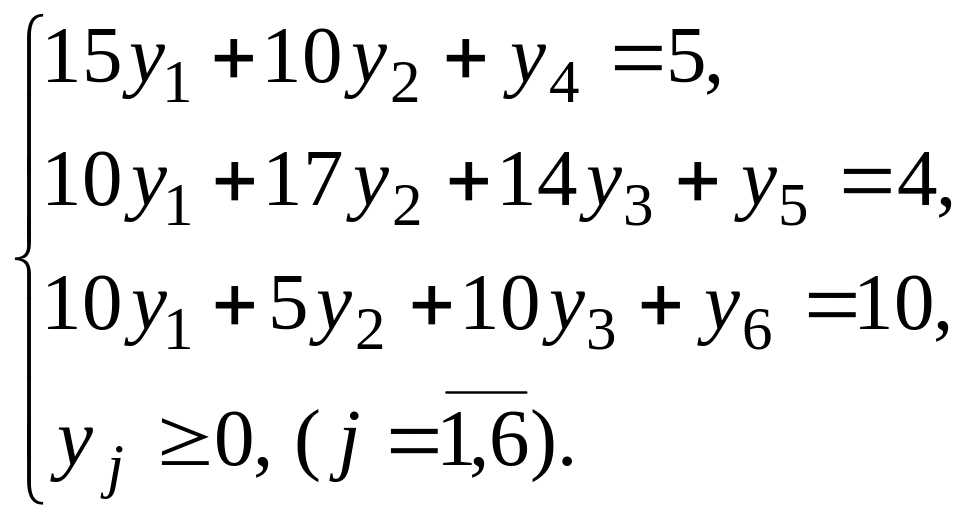
Раціон годівлі худоби містить харчові добавки А, В, С. У добу тварина повинна з'їдати не менш 200 г добавки А, 150 г добавки В, 100 г добавки С. Харчові добавки містяться в концентратах трьох видів К-1, К-2, К-3. Ціна концентратів за 1 кг відповідно складає 5, 4 і 10 грн. Вміст добавок в одному кг концентрату зазначено в таблиці 5.3.
Таблиця 5.3 – Вміст добавок в одному кг концентрату
Добавки |
Концентрати |
||
К-1 |
К-2 |
К-3 |
|
А В С |
15 10 0 |
10 17 14 |
10 5 10 |
Скласти математичну модель для визначення мінімальної вартості концентратів. Відповідно до вихідної задачі скласти двоїсту задачу та розв’язати її симплекс-методом. За розв’язком двоїстої задачі визначити розв’язок вихідної.
Розв’язання
Припустимо,
що необхідно
кг концентрату К-1,
кг концентрату К-2,
кг концентрату К-3.
Для визначення оптимального раціону годівлі худоби треба розв’язати задачу, яка полягає в мінімізації собівартості
при наступних обмеженнях
Згідно з загальними правилами задача, яка є двоїстою по відношенню до даної, формулюється наступним чином.
Визначити максимальне значення функції
при системі обмежень
Економічна
інтерпретація двоїстої задачі полягає
в визначенні такого набору цін (оцінок)
харчових добавок
,
при якому загальні потреби
на харчові добавки будуть максимальними
за умови, що витрати на харчові добавки
будуть не більшими за вартість
концентратів.
Розв’яжемо двоїсту задачу симплекс-методом. Приведемо задачу до канонічного виду
Заповнюємо першу симплекс-таблицю:
У стовпець базис виписуємо базисні змінні
.У стовпець
виписуємо коефіцієнти цільової функції
при базисних змінних.У стовпець
виписуємо праві частини рівнянь системи
обмежень, а в стовпці
– матрицю системи.В
-ому
рядку виписуємо значення цільової
функції
і
для
.
Таким чином,
,
Таблиця 5.4 – Перша симплекс-таблиця
|
|
|
|
200 |
150 |
100 |
0 |
0 |
0 |
|
|
|
Базис |
|
|
|
|
|
|
|
|
1 |
0 |
|
5 |
15 |
10 |
0 |
1 |
0 |
0 |
5/15 |
2 |
0 |
|
4 |
10 |
17 |
14 |
0 |
1 |
0 |
4/10 |
3 |
0 |
|
10 |
10 |
5 |
10 |
0 |
0 |
1 |
10/10 |
4 |
|
|
0 |
-200 |
-150 |
-100 |
0 |
0 |
0 |
|
Початковий
опорний план задачі має вигляд
,
.
Перевіримо план на оптимальність. Тому
що рядок
містить від’ємні елементи, то отриманий
план не є оптимальним.
Для
визначення напрямного стовпця вибираємо
максимальне за модулем від’ємне значення
серед
.
Це
.
Отже напрямним є відповідний стовпець
(стовпець
).
Для
визначення напрямного рядка обчислюємо
(для
,
).
Значення
є мінімальним серед усіх значень
,
тому відповідний рядок (рядок
)
є напрямним.
Заповнимо другу симплекс-таблицю.
Змінну
вводимо до базису, зміну
виводимо з базису. Всі елементи напрямного
рядка ділимо на дозвільний елемент. Всі
елементи напрямного стовпця зміняємо
нулями, а дозвільний елемент – одиницею.
Інші елементи таблиці перераховуємо
за правилом прямокутника.
Наприклад,
Таблиця 5.5 – Друга симплекс-таблиця
|
|
|
|
200 |
150 |
100 |
0 |
0 |
0 |
|
|
|
Базис |
|
|
|
|
|
|
|
|
1 |
200 |
|
1/3 |
1 |
2/3 |
0 |
1/15 |
0 |
0 |
- |
2 |
0 |
|
2/3 |
0 |
31/3 |
14 |
-2/3 |
1 |
0 |
1/21 |
3 |
0 |
|
20/3 |
0 |
-5/3 |
10 |
-2/3 |
0 |
1 |
2/3 |
4 |
|
|
200/3 |
0 |
-50/3 |
-100 |
40/3 |
0 |
0 |
|
,
.
Серед
значень
рядка є від’ємні, тому отриманий план
не є оптимальним. Напрямним стовпцем у
другій симплекс-таблиці є стовпець
,
тому що
,
а напрямним рядком – рядок
.
Заповнюємо третю симплекс-таблицю.
Таблиця 5.6 – Третя симплекс-таблиця
-
200
150
100
0
0
0
I
Базис
Y1
Y2
Y3
Y4
Y5
Y6
1
200
1/3
1
2/3
0
1/15
0
0
2
100
1/21
0
31/42
1
-1/21
1/14
0
3
0
130/21
0
-190/21
0
-4/21
-5/7
1
4
500/7
0
400/7
0
60/7
50/7
0
План
є оптимальним,
тому що в рядку
немає від`ємних
значень. При даному плані
.
Розв’язком
двоїстої задачі є
.
Визначимо
оптимальний розв’язок вихідної задачі
за допомогою теореми двоїстості. На
підставі першої теореми двоїстості
.
На підставі другої теореми двоїстості
компоненти
оптимального розв’язку прямої задачі
дорівнює відповідно змінним
у підсумковій симплекс таблиці, тобто
Таким чином, мінімальна вартість
концентратів складає 71,4 грн.
Висновок
Для забезпечення необхідної потреби змісту добавок у раціоні необхідно придбати з мінімальною вартістю, що дорівнює 71,4 грн., 8,571 кг концентрату К-1 і 7,143 кг концентрату К-2. Споживання добавки виду В поверх норми складає 57,143 кг.
