- •Теоретическая часть
- •Теоретическая часть
- •Теоретическая часть
- •Теоретическая часть
- •Элементы комбинаторики
- •Классическая вероятность
- •Некто, перетасовывая колоду из 36 карт, извлекает оттуда случайным образом одну карту. Какова вероятность того, что это будет туз?
- •В конверте среди 25 карточек находится разыскиваемая карточка. Из конверта наудачу извлечено 6 карточек. Какова вероятность, что среди них окажется нужная карточка?
- •Вычисление вероятностей с помощью формул комбинаторики
- •Теоретическая часть
- •Теоретическая часть Вычисление вероятностей независимых событий
- •Теоретическая часть Тема "Дискретные случайные величины"
- •Числовые характеристики дискретных случайных величин
- •Свойства математического ожидания
- •Свойства дисперсии
- •Теоретическая часть
Тема: «Вычисление предела функции»
Теоретическая часть
Правила вычисления предела функции на бесконечности
П
равило
1.
Для любого натурального показателя m
и любого коэффициента k
справедливо соотношение:
Правило
2.
Если
, , то
Предел суммы равен сумме пределов:
Предел произведения равен произведению пределов:
Предел частного равен частному пределов (если с≠0):
Постоянный множитель можно вынести за знак предела:
Пример 1. Вычислите
Р
ешение:
Определение.
Ф
ункцию
y= f (x) называют непрерывной
в точке x=a, если выполняется соотношение
Если выражение f (x) составлено из рациональных, иррациональных, тригонометрических и обратных тригонометрических выражений, то функция y= f (x) непрерывна в любой точке, в которой определено выражение f (x)
Пример 2. Вычислить
Решение:
В
ыражение
определено в любой точке
x, в частности в точке x=1. Следовательно,
функция непрерывна в
точке x=1, а поэтому предел функции при
стремлении x к 1 равен значению функции
в точке x=1:
П
ример
3. Вычислить
Решение:
Пример 4. Вычислить
Решение:
Ф
ункция
в точке x=-3
не определена. Поэтому числитель и
знаменатель надо разложить на множители:
Пример
5. Вычислить
Решение:
Замечательные пределы
Пример
6. Вычислить
Решение:
Тема: «Вычисление производной функции»
Теоретическая часть
|
|
|
|
|
|
|
|
|
|
|
|
|
|
|
|
|
|
|
|
|
|
|
|
|
|
|
|
|
|
|
|
|
|
|
|
|
|
|
|
Правила дифференцирования:
,
где С - число
Производная
сложной функции:
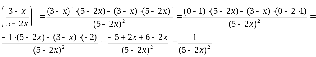
Пример
1 . Найти производную функции
Решение: Пользуясь правилами дифференцирования и таблицей производных, получим:
Пример
2 . Найти производную функции
Воспользуемся формулой производной сложной функции:
.
Пример
3
. Найти производную функции
Решение:
.
Тема: «Условия монотонности функции. Необходимое и достаточное условие экстремума»
Теоретическая часть
Пример 1:
Пример
2: Найти экстремум функции
.
Найдем
производную функции. Она равна
.
Приравниваем производную к нулю
и находим критическую точку
.
Чтобы найти ординату этой точки, подставим
в данную функцию
и запишем вершину параболы C(1; 4). Ось
симметрии проходит через C параллельно
оси
(рис. 3). Пересечение параболы с осью
:
;
,
т.е. A(0; 5). Симметричная ей точка A1(2; 5).
Пример
3: Найти точки экстремума и интервалы
монотонности функции
.
Находим первую производную:
и
приравниваем ее к нулю
.
Так как
,
то
и
.
Критическая точка
делит
на два интервала монотонности,
при переходе через точку
меняет знак с
на
.
Следовательно,
- точка минимума.
Тема: «Исследование функции одной переменной и построение графика. Асимптоты графика функции»
Теоретическая часть
Схема исследования функций:
Найти область определения функции.
Установить, не является ли функция четной, нечетной, периодической.
Найти точки разрыва и исследовать пределы функции в этих точках.
Найти точки экстремума и значения функции в этих точках.
Исследовать интервалы возрастания и убывания функции.
Для
исследования функции на возрастание и
убывание находят производную ƒ΄(х)
функции ƒ(х) определяют ее знак. (Если
ƒ΄(х)
0, то ƒ(х) возрастает; если ƒ΄(х)
0, то ƒ(х) убывает)
Найти точки перегиба.
Исследовать график функции на выпуклость и вогнутость (f ''(x) < 0, то график функции на этом интервале выпуклый, если же f ''(x) > 0 – вогнутый.)
Найти точки пересечения с осями координат.
Определить промежутки знакопостоянства функции, т.е. промежутки, на которых ƒ(х) 0 и ƒ(х) 0.
Построить график заданной функции.
Пример
1.
Исследовать
функцию у =
и построить ее график.
Решение.
Область определения функции – вся
числовая ось, кроме точки х = 1,
поэтому, D(у)
= (-
1)
(1; +
).
* Так как у (-х) =
= -
, то функция ни четная и ни нечетная.
* Так как у(х + Т) =
=
ни при каком Т
0,
то данная функция не периодическая.
* Строим прямую х = 1. В случае,
когда х приближается к 1 слева, значения
функции стремятся к –
,
а в случае, когда х приближается к
1 справа, значения функции
стремятся к +
.
Так как у =
+
= х + 1 +
, то при |х|
график этой функции приближается к
графику функции у1
= х
+1.
*
Находим производную у΄
=
=
и
из уравнения
-
2х – 3 = 0 определяем критические точки:
х1
= - 1 и х2
= 3. Так как для точек интервала ( -
;
- 1) производная имеет знак «+», а для
точек интервала ( - 1; 1) производная имеет
знак «-», то точка х1
= -1 является точкой максимума функции.
Аналогично убеждаемся, что точка х2
= 3 является точкой минимума функции.
* Так как уравнение х2
+ 3 = 0 не имеет действительных корней,
то
график функции не пересекает ось 0х.
*
На интервале (-
;
- 1) функция возрастает, на интервале (
- 1; 1) – убывает, на
интервале (1; 3) вновь убывает, на интервале
(3; +
)
– возрастает.
Найдем точки графика при х1
= - 1 и х2
= 3; А ( - 1; - 2); В (3; 6).
* Найдем точки пересечения графика
функции с осью 0у: у(0) = - 3.
*
Построим график исходной функции.
Тема: «Вычисление неопределенных интегралов»
Теоретическая часть
Неопределенный
интеграл
функции у = f(х)
– это совокупность всех первообразных
функций F(х)
+ С для функции
f(х).
Обозначается символом
=
F(х)
+ С,
где
знак
интеграла;
f(х)
– подынтегральная
функция; f(х)
dх
– подынтегральное
выражение;
С – постоянная
интегрирования,
способная принимать любое значение;
х – переменная интегрирования.
Интегрирование – это отыскание первообразной по ее производной. Это действие, обратное дифференцированию.
Геометрический смысл неопределенного интеграла: это семейство кривых, зависящих от одного параметра С, которые получаются путем параллельного переноса вдоль оси 0у.
у
С1
Кубическая
парабола у =
dх
=
+ С;
С2 0 х
С3
Основные свойства неопределенного интеграла
d
= f(х)
+ С.
= f(х)
+ С.
= С
– постоянный множитель можно выносить
за знак интеграла.
=
+
- интеграл суммы равен
сумме интегралов.
Основные способы интегрирования
Метод непосредственного интегрирования, который заключается в использовании основных свойств неопределенного интеграла и приведении подынтегрального выражения к табличному виду.
Пример
1.
Найти неопределенный интеграл
.
Решение.
Используя 3 и 4 свойства неопределенного
интеграла и таблицу интегрирования,
получаем (таблица прилагается)
= 3
+ 2
= 3
-
2cоs
х + С.
Метод подстановки или метод введения новой переменной.
Это самый эффективный прием сведения неопределенного интеграла к табличному виду.
Пример
2.
Найти неопределенный интеграл
.
Решение.
Положим х + 1 = t,
тогда х = t
– 1;
=
;
=
.
Продифференцировав
х + 1 = t, получим dх
=
dt.
=
=
=
- 2
+
=
- 2
+
=
- 2
+
=
+
-
+ С =
+
-
+ С.
Метод интегрирования по частям. Пусть функция u = u(х) и v = v(х) определены и непрерывно дифференцируемые функции, то справедлива формула интегрирования по частям:
=
uv
-
.
Пример
3.
Найти
.
Решение.
Обозначим
u
=
;
dv
= dх,
=
,т.е. v
= х; du
= (
)'
dх.
По формуле (1) получаем:
= х
–
= х
–
= х
- х + С = х (
)+
С.
Таблица основных интегралов
|
|
|
|
|
|
|
|
|
|
|
|
Тема: «Вычисление определённых интегралов»
Теоретическая часть
Определенный
интеграл
– это общий предел всех интегральных
сумм функции f(х)
на отрезке [а,
b].
Определенный интеграл обозначается:
,
где f(х)
– подынтегральная функция; х – переменная
интегрирования; число а
называется
нижним
пределом
интеграла,
b
– верхним;
[а,
b]
– промежуток
интегрирования.
Если
F(х)
– первообразная функция для непрерывной
функции у = f(х),
т.е. F'(х)
= f(х),
то имеет место формула:
=
F(х)|
=
F(b)
– F(а).
Это формула Ньютона – Лейбница –
основная формула интегрального
исчисления, устанавливающая связь между
определенным и неопределенным интегралом.
Определенный интеграл – это разность значений любой первообразной функции для f(х) при верхнем и нижнем пределах интегрирования. Разница между определенным и неопределенным интегралами: определенный интеграл – это число, а неопределенный интеграл – это функция.
Основные свойства определенного интеграла
При перестановке пределов изменяется знак интеграла:
= -
.
Интеграл с одинаковыми пределами равен нулю:
= 0.
Отрезок интегрирования можно разбивать на части:
.
Определенный интеграл от алгебраической суммы(разности) функций равен алгебраической сумме(разности) их определенных интегралов:
=
.
Постоянный множитель можно выносить за знак определенного интеграла:
= С
.
Если функция f(х)
0
всегда на отрезке [а,b],
то
Если f(х)
g(х)
всюду на
отрезке [а,b],
то
.
Пример
1.
Вычислите:
.
Решение. Применим формулу Ньютона – Лейбница и свойства определенного интеграла:
= 3
=
|32
=
-
= 27 – 8 = 19.
Пример
2.
Вычислите:
.
Решение.
Обозначим 4х + 3 = z,
откуда 4dх
= dz
или dх
=
;
при х = – 1, tн
=
– 4 + 3 = – 1; при х = 1, tв
=
4 +3 = 7. Следовательно,
=
=
=
=
.
Тема: «Геометрические приложения определенного интеграла»
Теоретическая часть
Тема: «Решение однородных обыкновенных дифференциальных уравнений первого порядка»
Теоретическая часть
Тема: «Действия над комплексными числами, заданными в алгебраическом виде»
Теоретическая часть
Пример 1: Найдите сумму комплексных чисел:
Пример 2: Найдите произведение комплексных чисел:
Произведение комплексных чисел в алгебраической форме:
Пример 3: Выполните действия
Частное комплексных чисел в алгебраической форме:
Пример 4: Выполните действие
П
ример
5: Найти модуль числа и число, противоположное
и сопряженное комплексному числу
Модуль числа
:
П
ротивоположное
число
Сопряженное число
Тема: «Умножение и деление комплексных чисел в тригонометрической форме»
Теоретическая часть
У
комплексных чисел есть удобное и
наглядное геометрическое представление:
число z = a + bi можно изображать
вектором с координатами (a; b) на
декартовой плоскости (или, что почти то
же самое, точкой — концом вектора
с этими координатами). При этом сумма
двух комплексных чисел изображается
как сумма соответствующих векторов
(которую можно найти по правилу
параллелограмма). По теореме Пифагора
длина вектора с координатами (a; b)
равна
.
Эта величина называется модулем
комплексного числа z = a + bi и
обозначается |z|. Угол, который этот
вектор образует с положительным
направлением оси абсцисс (отсчитанный
против часовой стрелки), называется
аргументом комплексного числа z и
обозначается Arg z. Аргумент определен
не однозначно, а лишь с точностью
до прибавления величины, кратной 2π
радиан (или 360°, если считать в градусах) —
ведь ясно, что поворот на такой угол
вокруг начала координат не изменит
вектор. Но если вектор длины r образует
угол φ с положительным направлением
оси абсцисс, то его координаты равны
(r · cos φ; r · sin φ).
Тригонометрическая
форма комплексного числа:
,
где
,
Пример
1: Записать
в тригонометрической форме комплексное
число
Решение:
Решение:
Найдем
:
,
откуда
,
т.к. точка
лежит в третьей четверти.
Учитывая
,
имеем:
Произведение комплексных чисел:
Пример 2: Выполните действие
Частное комплексных чисел:
Пример 3: Выполните действие
Формула Муавра:
Пример 4: Выполните действие
Внимание!
Ни в коем случае нельзя использовать
четность косинуса, нечетность синуса
и проводить дальнейшее «упрощение»
записи:
Рассмотрим
уравнение
,
или, то же самое:
.
Здесь «эн» может принимать любое
натуральное значение, которое больше
единицы. В частности, при
получается
квадратный корень
Уравнение
вида
имеет
ровно
корней
,
которые можно найти по формуле:
,
где
–
это модуль комплексного числа
,
–
его аргумент, а параметр
принимает
значения:
Тема: «Вычисление вероятности событий с элементами комбинаторики»
