- •Тема 1. Концептуальні засади математичного моделювання економіки
- •Тема 2. Логічні основи методу моделювання. Особливості та принципи математичного моделювання в економіці.
- •Тема 3. Основні аспекти алгоритмічного (імітаційного) моделювання. Алгоритмічні моделі на промислових підприємствах.
- •Тема 4. Поняття виробничої функції (вф) та її економічний зміст. Види вф.
- •Тема 5. Моделювання системи рейтингового управління. Моделі й методи процесу обчислення рейтингу економічних систем.
- •Тема 6. Неокласична задача споживання. Переваги споживача та його функція корисності.
- •Тема 7. Неокласична теорія поведінки фірми. Модель фірми.
- •Тема 8. Моделювання поведінки фірми на конкурентних ринках.
- •Тема 9. Моделі взаємодії споживачів і виробників. Модель Еванса. Модель Вальраса.
- •Тема 10. Економіко-математична модель міжгалузевого балансу спільного продукту.
- •Тема 11. Класична модель ринкової економіки. Ринки в класичній моделі.
- •Тема 12. Види динамічних нелінійних моделей макроекономіки та методи їх реалізації. Врахування росту населення та технологічного прогресу в динамічних нелінійних моделях макроекономіки.
- •Тема 13. Моделювання і аналіз макроекономічної політики. Стабілізація системи.
- •Тема 14. Умова арбітражу та ефективний ринок. Рівняння арбітражу.
- •Тема 15. Прикладні моделі
Тема 7. Неокласична теорія поведінки фірми. Модель фірми.
Моделі оптимального (раціонального) вибору виробника (фірми). Нехай виробнича фірма випускає один продукт (чи багато продуктів, але з постійною структурою). Позначимо річний випуск у натурально-речовій формі через X — кількість одиниць продукту одного виду, вектор-стовпчик можливих обсягів витрат різних видів ресурсів через x = (x1, …, xn)’. Тоді технологія фірми визначатиметься її виробничою функцією, яка виражає зв’язок між випуском і витратами ресурсів:
X = F(x).
Припускається, що F(x) двічі неперервно диференційована, неокласична і матриця її других похідних є від’ємно визначеною.
Якщо w = (w1, …, wn) — вектор-рядок цін ресурсів, а р — ціна продукції, то кожному вектору витрат х відповідає прибуток:
П(х) = pF(x) — wx. (1)
У (1) R = pX = pF(x) — вартість річного випуску фірми або її річний дохід, C = wx — витрати виробництва чи вартість витрат ресурсів за рік.
Якщо не вводити інших обмежень, крім невід’ємних обсягів витрат ресурсів, то задача знаходження максимуму прибутку набере вигляду:
Це задача нелінійного програмування з n умовами невід’ємності: xi 0, i =1,…, n. Необхідними умовами існування екстремуму є умови Куна—Таккера:
.
Якщо
в оптимальному розв’язку використовуються
всі види ресурсів, тобто
,
то умови матимуть вигляд:
тобто в оптимальній точці вартість граничного продукту даного ресурсу повинна дорівнювати його ціні.
Розглянемо задачу знаходження максимуму випуску за заданого обсягу витрат
Це задача нелінійного програмування з одним лінійним обмеженням і умовою невід’ємності змінних. Побудуємо функцію Лагранжа
L(x, ) = F(x) + (C — wx),
і знайдемо її максимум за умови невід’ємності змінних. Для цього необхідно, щоб виконувались умови Куна — Таккера:
.
Тема 8. Моделювання поведінки фірми на конкурентних ринках.
За досконалої конкуренції, коли учасників ринку багато, ціни на ринку не залежать від дій окремих виробників і споживачів. Якщо ж, навпаки, учасників ринку небагато, ціни на залежать від стратегій, що їх дотримуються суб’єкти ринку.
Розгляньмо
приклад з двома конкурентами (дуополію),
що виробляють одну й ту саму продукцію,
кожен згідно зі своєю виробничою
функцією:
,
де
— випуск i
-
ї фірми;
— обсяги витрат ресурсів i-ї
фірми.
Ціна
продукції залежатиме від випуску обох
фірм:
Ціни на ресурси
залежать від обсягів купівлі фірм:
,
Кожна фірма прагне максимізувати свій прибуток. Наприклад, першій фірмі необхідно діяти так:
за
умови
Ця задача на умовний екстремум зводиться
до знаходження безумовного екстремуму
функції Лагранжа:
.
Розглянемо спрощену постановку задачі, коли до уваги не береться конкуренція на ринку ресурсів.
Нехай витрати обох фірм є однаковими лінійними функціями випуску (с — граничні витрати, d — постійні витрати):
ціна продажу — лінійна функція від загального випуску (Х) обох фірм:
р(X) = a – bX, X = X1 + X2
(b — характеризує спадання ціни за умови зростання спільного випуску на одиницю).
Тоді прибутки конкуруючих фірм можна подати у вигляді:
де X0 = (a – c) / b — величина спільного випуску, за якої прибуток кожної фірми є від’ємним і дорівнює – d.
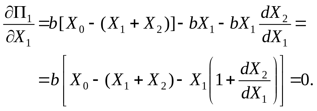
Необхідна умова екстремуму:
Звідси
випуск, що максимізує прибуток (за умови
),
дорівнює:
.
Аналогічно
2. Ціна ринкової рівноваги. Рівновага за Курно.
За досконалої конкуренції, коли учасників ринку багато, ціни на ринку не залежать від дій окремих виробників і споживачів. Якщо ж, навпаки, учасників ринку небагато, ціни на залежать від стратегій, що їх дотримуються суб’єкти ринку.
Розгляньмо приклад з двома конкурентами (дуополію), що виробляють одну й ту саму продукцію, кожен згідно зі своєю виробничою функцією: , де — випуск i - ї фірми; — обсяги витрат ресурсів i-ї фірми.
Розглянемо спрощену постановку задачі, коли до уваги не береться конкуренція на ринку ресурсів.
Нехай витрати обох фірм є однаковими лінійними функціями випуску (с — граничні витрати, d — постійні витрати):
ціна продажу — лінійна функція від загального випуску (Х) обох фірм:
р(X) = a – bX, X = X1 + X2
(b — характеризує спадання ціни за умови зростання спільного випуску на одиницю).
Тоді прибутки конкуруючих фірм можна подати у вигляді:
де X0 = (a – c) / b — величина спільного випуску, за якої прибуток кожної фірми є від’ємним і дорівнює – d.
Необхідна умова екстремуму:
Звідси випуск, що максимізує прибуток (за умови ), дорівнює: .
Аналогічно
Для
вирішення проблеми розробки стратегії
дуополістів в умовах невизначеності
А. Курно виходив з того, що кожне
підприємство у процесі вибору обсягу
своєї продукції для максимізації
прибутку припускає, що конкурент не
змінить свого обсягу реалізації, тобто
кожна фірма припускає гіпотезу щодо
незмінної стратегії конкуруючої фірми:
X1
не залежить від X2,
і навпаки, тобто
.
Очевидно, що
тому
отже,
Позначимо елементи отриманого розв’язку індексом K (Курно), тоді:
,
.
Точку
рівноваги за Курно
можна отримати за алгоритмом Курно:
перша фірма обирає спочатку довільний
випуск
,
а друга діє так, ніби перша весь час
обирала б
тобто
Далі обидві фірми діють аналогічно (l
— номер
ітерації):
