Сборник задач по физике
Методическое пособие для самостоятельных работ
Настоящее пособие предназначено для студентов колледжа при самостоятельной работе над решением задач по темам «Механика», «Молекулярная физика», «Законы постоянного тока». Содержит примеры решения задач и варианты заданий.
Содержание
Введение |
4 |
I. Механика |
5 |
II.Молекулярная физика |
17 |
III. Законы постоянного тока |
25 |
Список литературы |
42 |
Введение
Невозможно понять суть физики, не научившись решать задачи. При решении задач вы не только вспоминаете и закрепляете в памяти изученное, но, что особенно важно, учитесь творчески применять полученные знания. Умение решать задачи не приходит само собой, оно вырабатывается постепенно в процессе их самостоятельного решения. Решение задач - процесс творческий, поэтому нельзя рекомендовать какой-то единый алгоритм, пользуясь которым вы смогли бы решить любую задачу по физике. Можно лишь схематически определить порядок действий, которому вы можете следовать:
1. Вникните в смысл задачи, установите, о каких физических процессах, закономерностях идет речь.
2. Чтобы лучше понять условие задачи и процессы, о которых идет речь, сделайте чертеж.
3. Сделайте краткую запись задачи.
4. Выразите исходные данные в системе СИ.
5. Запишите физический закон, уравнение, формулу, описывающие процесс, о котором идет речь в задаче.
6. Определите в этой формуле неизвестную величину. Если она отсутствует, выясните, какой из параметров формулы связан с этой величиной. Запишите эту связь (Например, неизвестна скорость v. Формула имеет вид: F= ma.
С величиной v
связано ускорение:
).
7. Подставьте эту связь в Вашу формулу и решайте ее относительно неизвестной величины.
( Например:
F=
m(v-v0)
/t; Ft=
mv-mv0;
mv=
mv0+Ft;
Помните, что очень большую роль при решении задач играет математика. Поэтому повторите основные правила решения различных уравнений, действия со степенями, действия с дробями и пр. В настоящем сборнике представлены задачи по темам "Механика", "Молекулярная физика и термодинамика", "Законы постоянного тока". Эти темы наиболее важны для студентов технического отделения, так как знание этих тем используется на старших курсах при изучении общепрофессиональных и специальных дисциплин. Включены задачи разного уровня, что позволяет подобрать индивидуальные задания для каждого студента, в зависимости от уровня его подготовки. В помощь студентам предлагаются примеры решения наиболее типичных задач. Данный сборник можно использовать для самостоятельной работы студентов, а также для проведения зачетных работ.
I. М Е Х А Н И К А
Механика - один из основных разделов физики. Изучение механики требует систематической кропотливой работы. Вы не должны пропускать даже мелких деталей исследуемого явления - они могут оказаться очень важными. Поэтому при решении задачи представьте себе весь процесс, о котором идет речь, от начала до конца, поймите, как движется каждое тело или каждая часть системы и почему она так движется. Тогда вам
станет понятно, о каком виде движения, о каких силах, действующих на тело, идет речь. Чтобы облегчить решение, сделайте рисунок или чертеж, на котором обозначьте направление скорости, перемещения, действующие силы и т. д. Если вы научитесь решать задачи по механике, вам будет легче освоить решение задач из других разделов физики.
Примеры
Пример 1. Тело брошено вертикально вверх со скоростью 50 м/с. Какова будет скорость тела через 3 сек.? Какой путь оно пройдет за это время?
V-?, h-? |
Тело движется равноускоренно вверх, его ускорение по модулю равно |g|, но направлено в противоположную сторону - вниз. Поэтому
V=V0 - gt V=50 - 9,8 · 3=20,6 м/с. Рассуждая аналогично, находим h=V0t - gt2/2 h=50 · 3 –9,8·32/2=61,8 м.
|
V0=50 м/с t=3 сек.
|
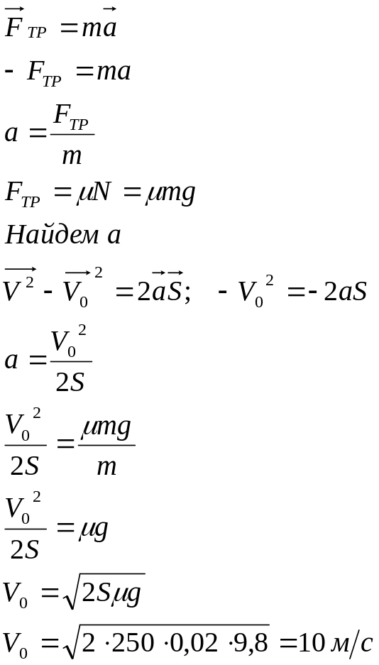
Пример 2. Какова была начальная скорость снегохода «Буран», если путь, пройденный им после выключения двигателя, равен 250 м? Коэффициент трения полозьев по снегу 0,02.
V0-? |
|
S= 250 м =0,02 V=0
|
Ответ:
Пример 3. С башни высотой 25м горизонтально брошен камень со скоростью 15 м\с. Найти кинетическую и потенциальную энергию камня спустя одну секунду после начала движения. Масса камня 0,2кг. Сопротивлением воздуха пренебречь.
у
Е
к-?
Еn-?
h
h
V0=15
м\
h
t=1c
m=0,2кг
0
х
Задачи
1. Два поезда движутся навстречу друг другу со скоростями 72 км/ч и 54 км/ч. Пассажиры первого поезда замечают, что второй поезд проходит мимо него в течение 14 секунд. Какова
длина второго поезда?
2. Пуля в стволе автомата Калашникова движется с ускорением 616 км/с2. Какова скорость вылета пули, если длина ствола - 41,5 см ?
3. Определить высоту моста над рекой, если камень, выпущенный из рук (начальная скорость равна нулю), достигает поверхности воды через 3 секунды?
4. Самолёт при взлёте проходит взлётную полосу за 15 секунд и в момент отрыва от земли имеет скорость 100 м/с. С каким ускорением двигался самолёт по взлетной полосе и какова её длина?
5. Космическая ракета разгоняется из состояния покоя и, пройдя путь 200 км, достигает скорости 11 км/с. С каким ускорением она двигалась? Чему равно время разгона?
6. Тело свободно падает с высоты 80 м. Каково его перемещение в последнюю секунду падения?
7. Поезд через 10 сек после начала движения приобретает скорость 0,6 м/с. Через сколько времени от начала движения скорость поезда станет равна 3 м/с?
8. По прямолинейной дороге в одном направлении движется велосипед со скоростью 36 км/ч и мотоциклист со скоростью 72 км/ч. В момент начала наблюдения расстояние между ними было 250 м. Через сколько времени мотоциклист догонит велосипедиста?
9. Колесо велосипеда вращается с частотой 2 оборота в секунду. Определите линейную скорость и ускорение точек колеса, если его радиус 0,35 м.
10. При аварийном торможении автомобиль, движущийся со скоростью 72 км/ч, остановился через 5 сек. Найти тормозной путь автомобиля.
11. Автомобиль, двигаясь с постоянным ускорением, на некотором участке пути увеличил свою скорость с 15 до 25 м/с. За какое время произошло это увеличение, если ускорение равно 1,6 м/с2?
12. Установлено, что человек безопасно для жизни может прыгать с высоты 2 м. С какой скоростью он при этом достигнет поверхности земли?
13. Шарик, скатившись с наклонного желоба из состояния покоя, за первую секунду прошел путь 10 см. Какой путь он пройдет за 6 сек?
14. Длина пробега при взлете самолета Ту-154 равна 1215 м, а скорость отрыва его от земли - 270 км/ч. Длина пробега при посадке - 710 м, а посадочная скорость - 230 км/ч. Сравнить ускорения (по модулю) и время разбега и посадки.
15. Камень свободно падает в ущелье. Определить глубину ущелья, если последние 196 м пути камень пролетел за 4 сек. Сопротивлением воздуха пренебречь.
16. Скорость продольной подачи резца токарного станка 12 см/мин, а поперечной подачи - 5 см/мин. Какова скорость вращения резца в системе отсчета, связанной с корпусом станка?
17. Определите период обращения, частоту и скорость движения конца минутной стрелки часов на Спасской башне Кремля. Длина стрелки - 3,5 м.
18. Трамвай, трогаясь с места, увеличивает свою скорость в течение 10 сек. При этом он проходит 30 м. Найти ускорение, с которым двигался трамвай.
19. При аварийном торможении автомобиль, движущийся со скоростью 72 км/ч, остановился через 5 сек. Найти тормозной путь.
20. Первый участок пути поезд прошел за 0,5 ч со скоростью 60 км/ч, а остаток пути длиной 120 км - за 1,5 ч. Определить среднюю скорость поезда на всем пути следования.
21. Найти частоту вращения барабана лебедки диаметром 16 см при подъеме груза со скоростью 0,4 м/с.
22. Наибольшая скорость автомобиля 150 км/ч. На каком пути и через какое вре-мя автомобиль достигнет этой скорости, двигаясь с места с ускорением 1,2 м/с2 ?
23. Катер, переправляясь через реку, движется перпендикулярно течению реки со скоростью 4 м/с в системе отсчета, связанной с водой. На сколько метров будет снесен катер течением, если ширина реки 800 м, а скорость течения 1 м/с?
24. Сокол, пикируя отвесно на свою добычу, достигает скорости 100 м/с. Какое расстояние пролетает при этом хищник?
25. От остановки одновременно отходят трамвай и троллейбус. Ускорение троллейбуса в два раза больше, чем трамвая. Сравнить пути, пройденные троллейбусом и трамваем за одно и то же время, и приобретенные ими скорости.
26. Какова длина пробега при посадке самолета, если его посадочная скорость 140 км/ч, а ускорение при торможении равно 2 м/с ?
27. Г.Галилей, изучая законы свободного падения, бросал без начальной скорости разные предметы с наклонной башни в городе Пиза, высота которой 57,5 м. Сколько времени падали предметы с этой башни и какова их скорость при ударе о землю?
28. С вертолета, находящегося на высоте 300 м, сброшен груз. Через сколько времени груз упадет на землю, если вертолет опускается со скоростью 3 м/с? Вертолет неподвижен? Вертолет поднимается со скоростью 5 м/с? Сопротивлением воздуха пренебречь.
29. Шар массой 2 кг, двигавшийся со скоростью 3 м/с, налетает на неподвижный шар массой 5 кг. Удар центральный, упругий. После столкновения скорость первого шара уменьшилась до 1 м/с. Найдите скорость второго шара после столкновения.
30. Колесо велосипеда вращается с частотой 2 об/сек. Определите линейную скорость и ускорение точек колеса, если радиус его 0,35 м.
31. Из опыта было доказано, что при взаимодействии деревянного и алюминиевого шариков одинаковых размеров отношение модулей их ускорений равно 4. Определить скорость деревянного шарика после его столкновения с алюминиевым, если скорость алюминиевого во время взаимодействия изменилась с 5 до 3 м/с. Деревянный шарик до столкновения покоился.
32. Застигнутый грозой путник увидел вспышку молнии, а через 10 сек до него донеслись раскаты грома. На каком расстоянии от него произошел грозовой разряд, если скорость звука в воздухе равна 340 м/с?
33. При выстреле из двустороннего пружинного пистолета снаряды вылетели со скоростями 2 м/с и 4 м/с. Каково расстояние между ними через 0,1 сек, если длина пистолета 10 см, т.е. первоначальное расстояние между снарядами?
34. За какое время автомобиль, двигаясь с ускорением 0,4 м/с2, увеличивает свою скорость с 12 до 20 м/с?
35. Стрела выпущена из лука вертикально вверх с начальной скоростью 30 м/с. На какую высоту она поднимется?
36. За какое время автомобиль, двигаясь из состояния покоя с ускорением 0,6 м/с, пройдет 30 м.
37. Период обращения первого космического спутника Земли равнялся 90 мин. Средняя высота спутника над землей 320 км. Радиус Земли 6400 км. Найти скорость спутника.
38. Уклон длиной 100 м. лыжник прошел за 20 сек, двигаясь с ускорением 0,3 м/с2. Какова скорость лыжника в начале и в конце уклона?
39. Скорость катера в стоячей воде равна 4 м/с, а скорость течения реки 1 м/с. Чему будет равна скорость катера, относительно берега, при его движении против течения? По течению?
40. Автомобиль движется со скоростью 36 км/ч, останавливается при торможении в течение 4 сек. С каким постоянным ускорением движется автомобиль при торможении?
41. За какое время автомобиль, двигаясь из состояния покоя с ускорением 1,5 м/с2, пройдет 1,5 км?
42. Точильный круг радиусом 10 см. делает один оборот за 0,2 с. Найдите скорость точек, наиболее удаленных от оси вращения.
43. Определите период обращения колеса автомобиля при скорости движения 72 км/ч, если радиус колеса 40 см.
44. Самолет в течение 20 сек. увеличивает скорость с 240 д 800 км/ч. С каким ускорением летел самолет и какое расстояние он пролетел за это время?
45. Частота вращения платформы карусельного станка 4 сек. Найти скорость карусельных точек платформы, удаленных от оси вращения на 2 м.
46. Тележка, имея начальную скорость 4 м/с, движется вверх по наклонной плоскости с ускорением, направленным в сторону, противоположенную направлению вектора скорости. Модуль ускорения равен 0,5 м/с2. Определите скорость тела через: а) 6 сек.; б) 10 сек.
47. Чтобы оторваться от земли, самолет должен набрать скорость 180 м/с. На каком расстоянии от места старта на взлетной полосе самолет достигнет этого значения скорости, если его ускорение постоянно и равно 2,5 м/с2 ?
48. Автомобиль движется по закруглению дороги радиусом 100 м. Чему равно ускорение центра автомобиля, если он движется со скоростью 54 км/ч ?
49. Лыжник спускается с горы высотой 100 м. Сколько времени займет спуск, если ускорение равно 0,5 м/с2, а начальная скорость была 10 м/с?
50. При ударе кузнечного молота по заготовке ускорение при торможении молота было по модулю равно 200 м/с2. Сколько времени длится удар, если начальная скорость молота была 10 м/с?
51. Найти жесткость пружины, которая под действием силы 2 Н удлинилась на 4 см.
52. Троллейбус массой 10 т. трогается с места, приобретая на пути 50 м. скорость 10 м/с. Найти коэффициент сопротивления, если сила тяги 14 кН.
53. Каково ускорение свободного падения на высоте, равной половине радиуса Земли?
54. Подъемный кран поднимает груз массой 1 т. Какова сила натяжения троса в начале подъема, если груз двигается с ускорением 25 м/с2 ?
55. Автобус, масса которого с полной нагрузкой равна 15 т., трогается с места с ускорением 0,7 м/с2. Найти силу тяги, если коэффициент сопротивления движению равен 0,03 ?
56. Мальчик ныряет в воду с крутого берега высотой 5 м, имея после разбега горизонтально направленную скорость, равную по модулю 6 м/с. Каковы модуль и направление скорости мальчика при достижении им воды?
57. Мальчик бросил горизонтально мяч из окна, находящегося на высоте 20 м. Сколько времени летел мяч до земли, и с какой скоростью он был брошен, если он упал на расстоянии 6 м. от основания дома?
58. Боевая ракетная установка БМ-13 имела длину направляющих балок 5 м., массу каждого снаряда 42,5 кг и силу реактивной тяги 19,6 кН. Найти скорость схода снаряда с направляющей балки.
59. С какой силой была прижата собака Лайка к лежаку в контейнере второго искусственного спутника земли во время подъема ракеты вблизи поверхности Земли? Ускорение движения ракеты принять равным 5g, а массу собаки 2,4 кг.
60. Тело массой 1 кг падает на землю с постоянным ускорением 9,8 м/с2. Чему равна сила, действующая на тело?
61. При длительной работе лошадь развивает постоянную силу 600 Н. Какой максимальный груз она может везти на санях, масса которых 100 кг, если коэффициент трения полозьев о снег равен 0,05? Считать, что оглобли саней параллельны дороге, а дорога горизонтальная.
62. Масса легкового автомобиля равна 2 т, а грузового 8 т. Сравнить ускорения автомобилей, если сила тяги грузового автомобиля в 2 раза больше, чем легкового.
63. Космический корабль совершает мягкую посадку на Луну, двигаясь замедленно в вертикальном положении (относительно Луны) с постоянным ускорением 8,38 м/с2. Сколько весит космонавт массой 70 кг, находящийся в этом корабле?
64. Автомобиль "Жигули" массой 1 т, трогаясь с места, достигает скорости 30 м/с через 20 сек. Найти силу тяги, если коэффициент сопротивления равен 0,05?
65. При каком ускорении разорвется трос при подъеме груза массой 500 кг, если максимальная сила натяжения, которую выдерживает трос не разрываясь, равна 15 кН?
66. Для сооружения памятника Петру I была доставлена гранитная глыба массой 1600 т, которую перевозили на салазках, катившихся по ядрам. Найти силу тяги, если коэффициент трения равен 0,01?
67. Тело массой 4 кг под действием некоторой силы приобрело ускорение 2 м/с2. Какое ускорение приобретает тело массой 10 кг под действием такой же силы?
68. Сани скатываются с горки длиной 10 м. за 2 сек. Найдите угол наклона горки. Трение не учитывать.
69. Брусок массой 400 г. прикрепленный к динамометру, двигают равномерно по горизонтальной поверхности. Другой раз брусок двигали по той же поверхности с ускорением. При этом динамометр показывал 2 Н. Каким было ускорение?
70. Два корабля массой, равной 50000 т каждый стоят на рейде на расстоянии 1 км один от другого. Какова сила притяжения между ними?
71. Санки с пассажиром, скатившись с горки высотой 4 м и длиной 10 м, продолжают катиться по горизонтальной части ледяной дорожки. Какое расстояние они пройдут по горизонтальной ледяной дорожке при коэффициенте трения скольжения санок об лед 0,05?
72. На наклонной плоскости длиной 50 м. и высотой 10 м. покоится брусок 2 кг. При помощи динамометра, расположенного в вертикальной плоскости, брусок сначала втащили вверх по наклонной плоскости, а затем стащили вниз. Найти разности показаний динамометра.
73. Какое ускорение приобретают сани, спускающиеся с горы длиной 50 м и высотой 10 м, двигаясь из состояния покоя? Какая сила тяги сообщит саням массой 45 кг такое же ускорение по горизонтальной дороге? Коэффициент трения равен 0,03.
74. Автомобиль массой 3000 кг, имеющий скорость 8 м/с, остановился через 6 сек после начала торможения. Найдите силу торможения, считая ее постоянной.
75. Определите значение ускорения силы тяжести на высоте 230 км от поверхности Земли. Примите значение радиуса Земли 6370 км, ускорение силы тяжести на поверхности Земли
9,81 м/с2.
76. Будет ли космонавт испытывать перегрузку, находясь в ракете массой 10 т, движущейся вертикально вверх под действием силы тяги 98 кН?
77. На наклонной плоскости длиной 13 м и высотой 5 м лежит груз массой 26 кг. Коэффициент трения равен 0,5. Какую силу надо приложить к грузу вдоль плоскости, чтобы втащить груз? Чтобы стащить груз?
78. Порожний грузовой, автомобиль массой 4 т начал движение с ускорением 0,3 м/с2. Какова масса груза, принятого автомобилем, если при той же силе тяги он трогается с места с
ускорением 0,2 м/с2 ?
79. Мальчик массой 50 кг, скатившись на санках с горки, проехал по горизонтальной дороге до остановки путь 20 м за 10 сек. Найти силу трения.
80. Какая необходима сила, чтобы тело массой 25 кг двигать: а) равномерно и горизонтально? б) горизонтально и с ускорением 2 м/с2? в) равномерно вверх по наклонной плоскости, составляющей угол 300 к горизонту. Во всех случаях коэффициент трения равен 0,2.
81. Время разгона автомобиля до скорости 100 км/ч равно 22 сек. Определите силу тяги ведущих колес, если масса автомобиля 1300 кг, а коэффициент сопротивления равен 0,02. 82. Деревянный брусок массой 2 кг тянут равномерно по деревянной доске, расположенной горизонтально, с помощью пружины с жесткостью 100 Н/м. Коэффициент трения равен 0,3. Найти удлинение пружины.
83. Грузовой электровоз при трогании с места развивает максимальную силу тяги 380 кН. Какое ускорение он сообщит составу массой 500 т, если сила сопротивления составляет 250 кН?
84. Груз массой 500 кг поднимают с ускорением 0,1 м/с2 на тросе. Определите силу натяжения троса.
85. Трактор, сила тяги которого на крюке 15 кН, сообщает прицепу ускорение 0,5 м/с2. Какое ускорение сообщит тому же прицепу трактор, развивающий тяговое усилие 60 кН?
86. Какую работу совершает человек при поднятии груза массой 2 кг на высоту 1 м с ускорением 3 м/с2?
87. Найти наименьший радиус дуги для поворота автомобиля, движущегося по горизонтальной дороге со скоростью 36 км/ч, если коэффициент скольжения колес о дорогу 0,25.
88. На горизонтальной дороге автомобиль делает поворот радиусом 16 м. Какова наибольшая скорость, которую может развить автомобиль, чтобы его не занесло, если коэффициент трения равен 0,4? Во сколько раз скорость изменится зимой, если коэффициент трения будет меньше в 4 раза?
89. Какую силу развивает двигатель самолета при разгоне перед взлетом, если путь равен 500 м, скорость 40 м/с, масса самолета 17 т, а сила сопротивления равна 4400 Н?
90. Определить силу тяготения между Землей и Солнцем, если их массы равны 6∙1024 и 2∙1030 кг соответственно и расстояние между ними 1,5∙1011 м.
91. Мяч массой 0,5 кг после удара, длящегося 0,02 сек, приобретает скорость 10 м/с. Найти среднюю силу удара.
92. Вычислите ускорение тела, скользящего по наклонной плоскости, если ее высота равна длине основания, а коэффициент трения тела о наклонную плоскость равен 0,2.
93. Длина наклонной плоскости 250 см, высота 25 см, найти ускорение катящегося по ней шара.
94. Поезд, движущийся со скоростью 72 км/ч, тормозит и останавливается, пройдя путь 200 м. Определить коэффициент трения колес о рельсы.
95. Через сколько времени после начала аварийного торможения остановится автобус, движущийся со скоростью 12 м/с, если коэффициент трения при аварийном торможении равен 0,4.
96. Вычислите силу тяготения между двумя космическими кораблями, движущийся параллельно друг другу на расстоянии 10 м, если их массы одинаковы и равны по 10 т.
97. Два мальчика массой 40 и 50 кг стоят на коньках на льду. Первый мальчик отталкивается от другого с силой 10 Н. Какие ускорения получают мальчики?
98. С каким ускорением двигался при разбеге реактивный самолет массой 60 т, если тяги двигателей 90 кН?
99. Бетонную плиту весом 120 кН равномерно тащат по горизонтальной поверхности земли. Горизонтальная сила тяги 54 кН. Определить коэффициент трения.
100. Сила 60 Н сообщает телу ускорение 0,8 м/с2. Какая сила сообщит телу ускорение 2 м/с2 ?
101. Какова масса тела, если сила тяжести, действующая на тело, равна 49 Н? Тело находится вблизи поверхности Земли.
102. Человек прыгает с высоты 5 м. С какой скоростью он достигнет при этом земли ?
103. Вагон массой 20 т, движущийся со скоростью 0,3 м/с, нагоняет вагон массой 30 т, движущийся со скоростью 0,2 м/с. Какова скорость вагонов после того, как сработает автосцепка?
104. Какова кинетическая энергия космического корабля серии "Союз" при движении по орбите со скоростью 7,8 км/с, если масса корабля 6,6 т ?
105. Каковы значения потенциальной и кинетической энергии стрелы массой 50 г, выпущенной из лука со скоростью 30 м/с вертикально вверх, через 2 сек. после начала движения?
106. Тело массой 2 кг на высоте 3 м обладает механической энергией, равной 80 Дж. Чему равна кинетическая энергия тела на этой высоте? Чему равна скорость тела?
107. Какова сила тяги самолета при скорости полета 200 км/ч, если мощность его двигателей 150 МВт?
108. Вагон массой 25 т движется со скоростью 2 м/с и сталкивается с неподвижной платформой массой 15 тонн. Какова скорость совместного движения вагона и платформы?
109. Мяч бросили вертикально вверх с начальной скоростью 19,6 м/с. Определите время и максимальный подъем мяча. Сопротивление воздуха не учитывать.
110. Найти потенциальную и кинетическую энергию тела массой 3 кг, падающего свободно с высоты 5 м на расстоянии 2 м от поверхности земли.
111. Автомобиль массой 2 т затормозил и остановился, пройдя путь 50 м. Найти работу силы трения и изменение кинетической энергии автомобиля, если дорога горизонтальна, а
коэффициент трения равен 0,4.
112. Вагон массой 20 т, движущийся со скоростью 1,5 м/с, встречает стоящую на пути платформу массой 10 т. Найдите скорость совместного движения вагона и платформы.
113. Вагон массой 20 т движется со скоростью 2 м/с, догоняет другой вагон, массой 40 т, движущийся со скоростью 1 м/с, и сцепляется с ним. На сколько изменится механическая энергия вагонов после сцепки?
114. Импульс тела равен 8 кг м/с, а кинетическая энергия равна 16 Дж. Найти массу и скорость тела.
115. Два неупругих тела, массы которых 2 и 6 кг, движутся навстречу друг другу со скоростью 2 м/с каждое. Определите модуль и направление скорости каждого из этих тел после удара.
116. Свободно падающее тело в момент удара о землю имело скорость 40 м/с. С какой высоты оно упало? Сколько времени падало?
117. Ракета массой 0,2 кг вылетает из ракетницы вертикально вверх со скоростью 50 м/с. Определите кинетическую и потенциальную энергию ракеты через 1 сек после выстрела, считая, что масса ракеты за это время не изменилась.
118. Тело массой 0,5 кг брошено вертикально вверх со скоростью 4 м/с. Найти работу силы тяжести, изменения потенциальной и кинетической энергии при подъеме тела до максимальной высоты.
119. На какую высоту нужно поднять груз массой 5 кг, чтобы его потенциальная энергия увеличилась на 40 Дж? Какова работа силы тяжести в этом случае?
120. С вершины наклонной плоскости высотой 20 см соскальзывает брусок. Определите скорость бруска в конце плоскости. Трением пренебречь.
121. Тело падает с некоторой высоты над землей. В момент падения на землю скорость его равна 30 м/с. С какой высоты упало тело?
122. Камень брошен вертикально вверх со скоростью 10 м/с. На какой высоте кинетическая энергия будет равна потенциальной?
123. Мальчик массой 50 кг бежит со скоростью 5 м/с, догоняет тележку массой 100 кг, движущуюся со скоростью 2 м/с и прыгает на нее. С какой скоростью станет двигаться тележка с мальчиком?
124. Сплавщик передвигает багром плот, прилагая к багру силу 200 Н. Какую работу совершает сплавщик, переместив плот на 10 м. Угол между направлением силы и направлением перемещения 45 градусов.
125. Баба копра при падении с высоты 8 м обладает в момент удара о сваю кинетической энергией 18000 Дж. Какова масса бабы копра?
126. Тело брошено под углом α к горизонту с начальной скоростью v0. Максимальная высота его подъема h, дальность полета S, время полета t. Найдите величины, обозначенные «звездочкой» (см. таблицу).
№ варианта |
1 |
2 |
3 |
4 |
5 |
6 |
7 |
8 |
9 |
10 |
11 |
12 |
α, о |
30 |
60 |
20 |
30 |
50 |
40 |
40 |
40 |
50 |
30 |
50 |
60 |
v0, м/с |
* |
15 |
* |
* |
20 |
* |
30 |
* |
* |
40 |
* |
* |
h, м |
10 |
* |
* |
* |
* |
20 |
* |
* |
30 |
* |
* |
40 |
S, м |
* |
* |
* |
* |
* |
* |
* |
* |
* |
* |
* |
* |
t, с |
* |
* |
2 |
3 |
* |
* |
* |
4 |
* |
* |
5 |
* |
127. Наклонная плоскость имеет длину L и высоту h. От ее вершины А начинает скользить с ускорением а брусок. Он движется по наклонной плоскости t сек и имеет в точке В скорость v. Коэффициент трения скольжения μ. Вычислите величины, обозначенные «звездочкой».
А
h L
В
№ варианта |
1 |
2 |
3 |
4 |
5 |
6 |
7 |
8 |
9 |
10 |
11 |
12 |
L, см |
120 |
90 |
120 |
150 |
90 |
110 |
90 |
100 |
80 |
70 |
200 |
140 |
h, см |
40 |
35 |
45 |
50 |
30 |
40 |
40 |
60 |
50 |
20 |
90 |
60 |
a, м/с2 |
* |
* |
1,1 |
* |
* |
* |
1,3 |
* |
* |
1,2 |
* |
* |
t, с |
* |
1,5 |
* |
* |
* |
* |
* |
1,3 |
* |
* |
1,8 |
* |
v, м/с |
* |
* |
* |
1,2 |
* |
1,3 |
* |
* |
1,1 |
* |
* |
* |
μ |
0,2 |
* |
* |
* |
0,25 |
* |
* |
* |
* |
* |
* |
0,3 |
№ вар-та |
№ заданий |
ФИ студента |
1 |
4,17,34,47,62,77,79,110,115,126(1) |
Аминов Альгиз |
2 |
28,38,44,45,61,72,76,80,111,126(2) |
Амиров Ильназ |
3 |
15,40,55,57,101,102,112,121,126(3),127(1) |
Амиров Рафаэль |
4 |
4,8,43,49,69,75,90,113,126(4),127(8) |
Асбаутдинов Айдар |
5 |
3,36,50,70,85,87,92,114,126(5),127(9) |
Асляшев Динар |
6 |
2,41,63,83,88,91,94,115,126(6),127(4) |
Алимжанова Айгуль |
7 |
3,11,33,45,73,84,100,116,117,126(7) |
Ахмаров Альберт |
8 |
4,6,16,22,58,94,96,117,126(8),127(6) |
Алимов Арсен |
9 |
1,5,27,59,97,99,109,118,120,126(9) |
Валитова Оксана |
10 |
7,8,43,44,55,60,93,119,125,126(10) |
Илькаева Альмира |
11 |
3,5,51,53,61,73,81,91,121,126(11) |
Кучукбаева Розалина |
12 |
7,13,62,64,71,82,83,98,122,126(12) |
Маматов Ильнар |
13 |
16,19,46,59,87,94,112,120,123,126(6) |
Миндияров А |
14 |
14,18,30,34,78,92,97,111,124,126(5) |
Мустаев М |
15 |
12,17,19,25,65,76,93,110,125,126(9) |
Мустакимов Р |
16 |
1,21,30,46,50,66,73,108,114,126(10) |
Мухаматнурова Л |
17 |
10,38,42,51,54,56,71,84,105,127(7) |
Насуртдинов Е |
18 |
11,18,24,52,67,72,73,78,106,126(4) |
Насибуллина Д |
19 |
10,20,27,47,58,63,88,103,126(11),127(12) |
Рангулов А |
20 |
22,39,40,64,83,90,95,104,109,127(11) |
Рахмангулов А |
21 |
2,12,15,23,30,60,69,74,86,127(10) |
Тимганов И |
22 |
6,13,26,35,36,37,50,52,75,127(6) |
Халилов Н |
23 |
3,9,27,31,37,39,85,105,126(2),127(3) |
Шабаев Д |
24 |
14,23,31,48,56,95,107,108,123,127(7) |
Шарипов И |
25 |
20,21,28,29,79,81,90,102,104,127(6) |
Даутов Д |
26 |
24,32,57,65,77,99,105,106,118,127(5) |
|
27 |
4,25,35,42,48,66,98,122,126(8),127(4) |
|
28 |
13,26,33,57,67,82,107,113,116,127(3) |
|
29 |
29,49,54,70,74,80,100,101,103,127(2) |
|
30 |
6,9,32,53,86,89,119,124,126(7),127(1) |
|
