9 класс
1. (10 баллов) Школьник прочитал в газете «Советы домохозяйке» следующую заметку. «Для того, чтобы рассортировать куриные яйца по степени свежести, возьмите четыре стеклянные банки, налейте в каждую пол-литра воды и растворите в первой банке 50 г соли, во второй – 45 г, в третьей – 30 г и в четвертой – 15 г. После этого поочередно опускайте яйца в каждую банку. В первой банке будут тонуть только что снесенные яйца, во второй – снесенные не более двух недель назад, в третьей – снесенные не более пяти недель назад, в четвертой – снесенные не более восьми недель назад.» Школьник сделал растворы, строго следуя рецепту, рассортировал имевшиеся в холодильнике яйца, а затем слил содержимое из всех четырех банок в одну большую емкость. Сколько недель назад снесены яйца, которые тонут в получившемся растворе?
Решение
Нарисуем график, вдоль горизонтальной оси которого отложим степень свежести яиц (в неделях), а вдоль вертикальной – концентрацию соли в растворе (в граммах на 0,5 литра воды). Видно, что на графике есть линейный участок, который свидетельствует о том, что в период с двух до восьми недель плотность яиц равномерно уменьшается со временем.
Далее
найдем концентрацию соли в растворе,
получившемся после сливания содержимого
всех четырех банок в одну большую
емкость. Эта емкость содержит 4
0,5л=2
литра воды и 50 г + 45 г +30 г + 15 г =140 г соли.
Следовательно, концентрация соли в
получившемся растворе равна 140 г/4=35
грамм на 0,5 литра. Из чертежа видно, что
точка графика, соответствующая этой
концентрации. Лежит на линейном участке
графика. Это дает возможность, использовать
график, определить свежесть яиц. Которые
тонут в получившемся растворе – они
снесены не более 4 недель назад.
Построен график зависимости – 6 баллов.
Указано наличие линейного участка – 1 балл.
Получен правильный ответ – 3 балла.
Если задача решена без графика – 3 балла.
2
.
(10 баллов) Маша и Петя качаются на
однородном бревне. Известно, что бревно
уравновешено, если Маша сидит на одном,
а Петя на другом конце бревна, как
показано на верхнем рисунке. Если же
подвинуть бревно, и Маша и Петя усядутся
на один и тот же его край, то система
также будет находится в равновесии, как
показано на нижнем рисунке. Бревно имеет
длину
метра,
в первом случае длина левой части бревна
равна
м,
во втором случае она составляет
см.
Определите, во сколько раз отличаются
массы Маши и Пети.
Решение.
Обозначим
массу того, кто сидел первоначально
слева, через
,
а массу того, кто сидел справа,
.
Линейную плотность бревна обозначим
(линейная плотность – масса куска бревна
единичной длины).
По
условию длина левой части бревна
м,
а правой
м.
Напишем условие равновесия системы,
оно же правило рычага:
.
Здесь
учтено, что слева на рычаг действует
тело весом
,
имея плечо
;
вес куска бревна слева
.
Масса этого куска распределена, но
действует также, как если бы всю ее
поместили в центр масс левого куска
бревна, поэтому сила
имеет плечо
.
Аналогично определяется правая часть
уравнения.
Во втором случае условие равновесия имеет вид:
,
где
м,
м
– размеры кусков бревна слева и справа
во втором случае.
Сократим
оба уравнения на
,
и перепишем их, сгруппировав
с одной стороны, в виде:
,
.
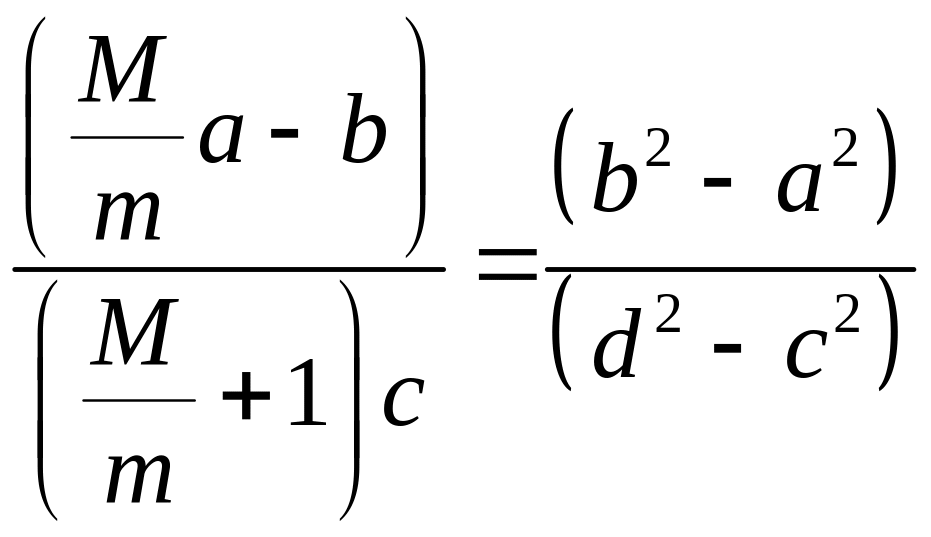
Теперь из двух уравнений получим отношение масс. Для этого вынесем за скобки величину :
,
и разделим одно уравнение на другое:
,
или
.
Для упрощения вычислим
.
Отсюда
или
.
Раскрывая скобки, получаем:
.
Записано условие равновесия в первом случае – 3 балла.
Записано условие равновесия во втором случае – 3 балла.
Получен правильный ответ – 4 балла.
3
.
(10 баллов) Тонкий карандаш, подвешенный
на нитке за один из концов, начинают
погружать в воду, медленно опуская точку
подвеса. Определите максимальную глубину
погружения нижнего конца карандаша,
если длина карандаша
см,
а его средняя плотность в
раза меньше плотности воды.
