- •Часть 3
- •Часть 3
- •1. Элементы высшей алгебры
- •1.1. Комплексные числа
- •Тригонометрическая и показательная форма записи комплексных чисел.
- •1.2. Многочлены.
- •1.3. Рациональные дроби
- •2. Неопределенный интеграл
- •2.1. Первообразная и неопределенный интеграл
- •2.2. Интегрирование по частям
- •2.3. Метод замены переменной (метод подстановки).
- •2.4. Интегрирование рациональных дробей
- •2.5. Интегрирование выражений, содержащих тригонометрические функции.
- •3. Определенный интеграл
- •3.1. Определение определенного интеграла и его свойства.
- •3.2. Формула Ньютона-Лейбница.
- •3.3. Методы вычисления определенных интегралов.
- •3.3.1. Метод замены переменной (метод подстановки).
- •3.3.2. Интегрирование по частям
- •3.4. Несобственные интегралы
- •3.5. Геометрические и механические приложения определенного интеграла.
- •5. Статистические моменты и координаты центра масс плоской фигуры
- •4. Задания для контрольных и расчетно-графических работ.
- •5. Ответы на задания для контрольных и расчетно-графических работ
- •Список литературы
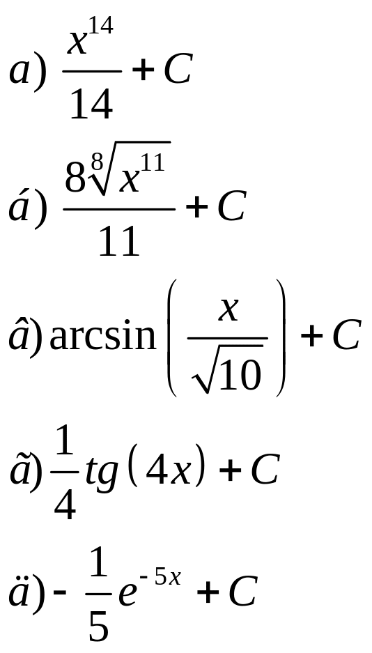
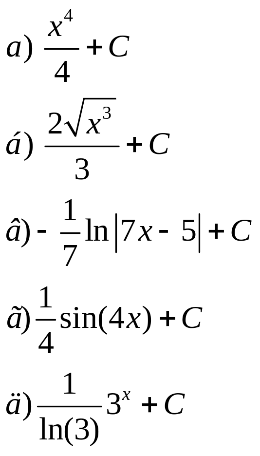
5. Ответы на задания для контрольных и расчетно-графических работ
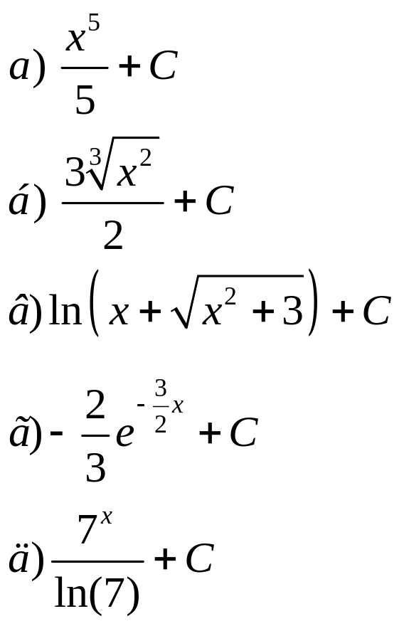
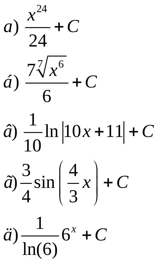
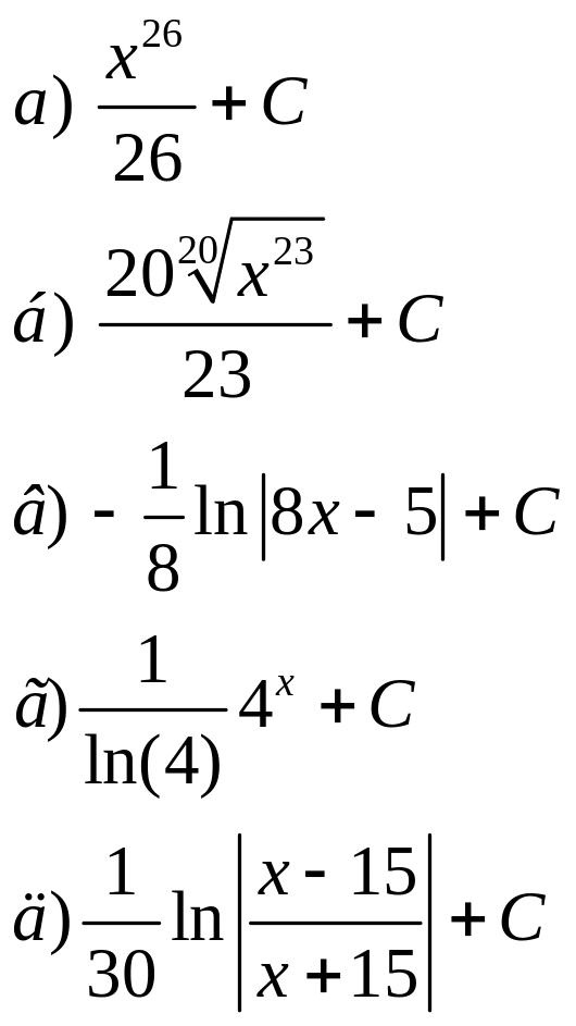
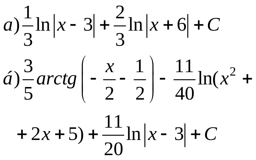
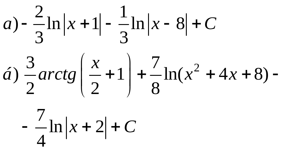
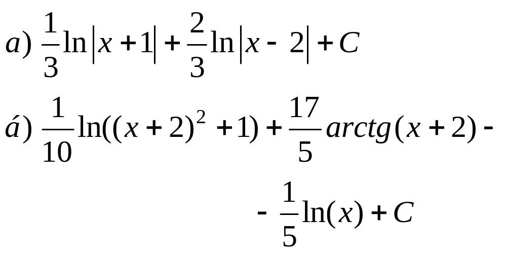
Задание I.
1)
;
2)
;
3)
;
4)
;
5)
;
6)
;
7)
;
8)
;
9)
;
10)
;
11)
;
12)
;
13)
;
14)
;
15)
;16)
;
17)
;
18)
;
19)
;
20)
;
21)
;
22)
;
23)
;
24)
;
25)
;
26)
;
27)
;
28)
;
29)
;
30)
;
Задание II.
|
|
|
|
|
|
|
|
|
|
|
|
|
|
|
|
|
|
|
|
|
|
|
|
|
|
|
|
|
|
|
|
|
|
|
|
|
|
|
|
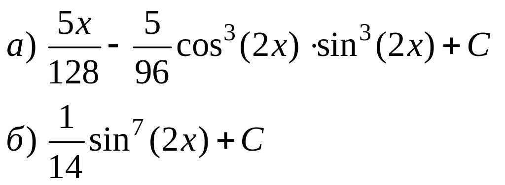
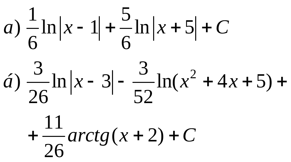
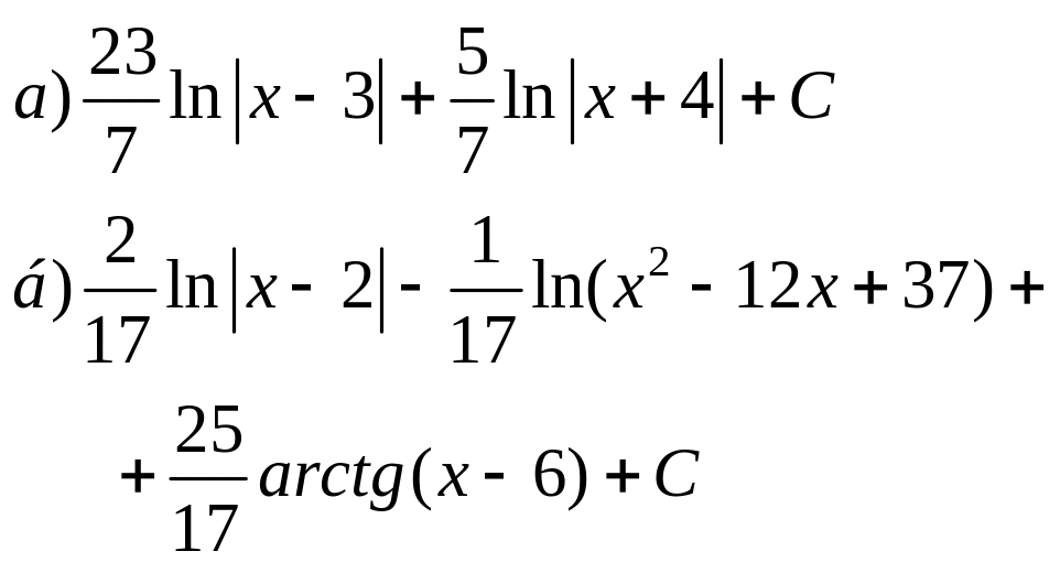
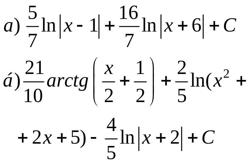
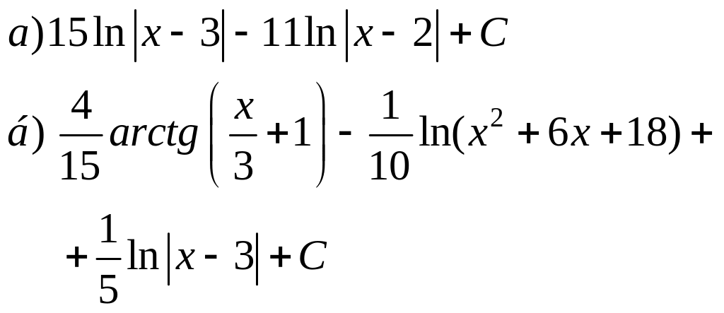
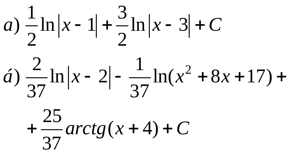
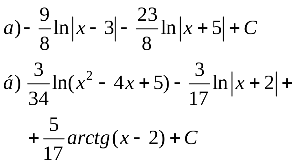
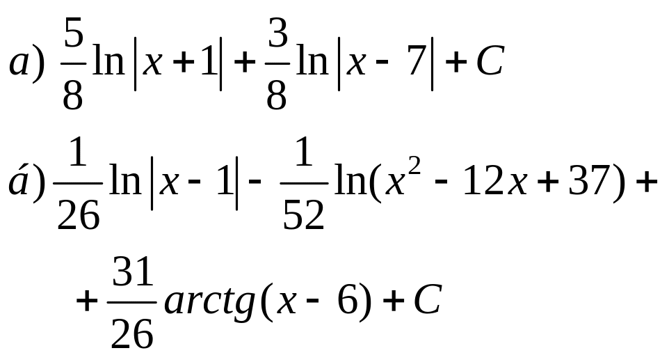
Задание III.
1)
;
2)
;
3)
;
4)
;
5)
;
6)
;
7)
;
8)
;
9)
;
10)
;
11)
;
12)
;
13)
;
14)
;
15)
;
16)
;
17)
;
18)
;
19)
;
20)
;
21)
;
22)
;
23)
;
24)
;
25)
;
26)
;
27)
;
28)
;
29)
;
30)
;
Задание IV.
1.
|
2.
|
3.
|
4.
|
5.
|
6.
|
7.
|
8.
|
9.
|
10.
|
11.
|
12.
|
13.
|
14.
|
15.
|
16.
|
17.
|
18.
|
19.
|
20.
|
21.
|
22.
|
23.
|
24.
|
25.
|
26.
|
27.
|
28.
|
29.
|
30.
|
Задание V.
1.
|
2.
|
3.
|
4.
|
5.
|
6.
|
7.
|
8.
|
9.
|
10.
|
11.
|
12.
|
13.
|
14.
|
15.
|
16.
|
17.
|
18.
|
19.
|
20.
|
21.
|
22.
|
23.
|
24.
|
25.
|
26.
|
27.
|
28.
|
29.
|
30.
|
Задание VI.
1.
|
2.
|
3.
|
4.
|
5.
|
6.
|
7.
|
8.
|
9.
|
10.
|
11.
|
12.
|
13.
|
14.
|
15.
|
16.
|
17.
|
18.
|
19.
|
20.
|
21.
|
22.
|
23.
|
24.
|
25.
|
26.
|
27.
|
28.
|
29.
|
30.
|
Задание VII.
1.
|
2.
|
3.
|
4.
|
5.
|
6.
|
7.
|
8.
|
9.
|
10.
|
11.
|
12.
|
13.
|
14.
|
15.
|
16.
|
17.
|
18.
|
19.
|
20.
|
21.
|
22.
|
23.
|
24.
|
25.
|
26.
|
27.
|
28.
|
29.
|
30.
|
Задание VIII.
1.
|
2.
|
3.
|
4.
|
5.
|
6.
|
7.
|
8.
|
9.
|
10.
|
11.
|
12.
|
13 .
|
14.
|
15.
|
16.
|
17.
|
18.
|
19.
|
20.
|
21.
|
22.
|
23.
|
24.
|
25.
|
26.
|
27.
|
28.
|
29.
|
30.
|
Задание IX.
|
|
|
|
|
|
|
|
|
|
|
|
|
|
|
|
|
|
|
|
|
|
|
|
|
|
|
|
|
|
|
|
|
|
|
|
Задание X.
|
|
|
|
|
|
|
|
|
|
|
|
|
|
|
|
|
|
|
|
|
|
|
|
|
|
|
|
|
|
|
|
|
|
|
|
