- •Вопрос 1.
- •Вопрос 2: Виды движений мт и атт: -поступательное; -вращательное вокруг неподвижной оси; - плоское; -движение вокруг неподвижной точки; -свободное движение.
- •Вопрос 3: движ под углом к горизонту
- •Вопрос 4: Траектория движения. Криволинейное движение. Нормальное и тангенциальное ускорения при криволинейном движении.
- •Вопрос 5: Вращательное движение. Угловая скорость и угловое ускорение. Кинематические уравнения для вращательного движения.
- •Вопрос 6: Связь между линейными и угловыми характеристиками мт и атт при их вращении вокруг точки или оси
- •Вопрос 7 Понятия динамики. Три закона Ньютона. Сила, импульс. Основное уравнение динамики поступательного движения. Силы в механике.
- •4)Гравитац. Сила
- •Вопрос 8: Инерциальные системы отсчета. Собственная и лабораторные исо. Механический принцип относительности Галилея. Преобразования Галилея.
- •Вопрос 9:Система материальных точек. Закон сохранения импульса. Абсолютно упругий и неупругие удары.
- •13. Силы упругости. Упругие деформации. Закон Гука. Потенциальная энергия в поле упругих сил
- •14. Силы трения. Уравнение динамики поступательного движения при наличии трения- на примере
- •15. Гравитационное взаимодействие. Сила всемирного тяготения. Сила тяжести и невесомостью. Фундаментальный физический закон Галилея
- •16.Работа гравитационных сил. Потенциал и напряженность гравитационного поля. Космические скорости.
- •17.Основные динамические характеристики движения
- •18.Вращательное движение. Момент импульса Lr и момент силы м мт относительно точки. Главный момент системы сил.
- •20. Уравнение моментов. Законы изменения и сохранения момента импульса при вращении мт вокруг точки и атт, закрепленного в одной точке
- •21. Пара сил. Центр тяжести (цт) механической системы
- •23. Закон изменения и сохранения момента импульса мт и атт. Скамья Жуковского.
- •24. Момент инерции мт и атт. Теорема Штейнера. Расчет момента инерции тонкого стержня.
- •Теорема Штейнера:
- •Вопрос 26 : Свободные гармонические механические колебания и их характеристики. Математический и физический маятники.
- •Вопрос 27: Векторная диаграмма и сложение одинаково направленных гармонических колебаний
- •28) Сложение взаимно перпендикулярных гармонических колебаний.
- •29) Дифференциальное уравнение свободных гармонических механических колебаний и его решение. Энергия колебаний. Физический маятник.
- •30) Затухающие гармонические колебания. Коэффициент затухания и логарифмический декремент затухания. Время релаксации.
- •31.Вынужденные колебания. Расчёт амплитуды и фазы
- •32. Резонанс механических колебаний
- •33. Уравнения упругих волн, плоской и сферической. Принцип суперпозиции волн. Фазовая и групповая скорости
- •34. Волновое уравнение и его решение. Физический смысл волнового уравнения. Скорость распространения волн в различных средах.
- •35. Звук. Распространение упругих волн в упругой среде. Характеристики упругих волн.
- •36. Волновой перенос энергии и его характеристики: поток, плотность потока, интенсивность. Вектор Пойтинга.
- •37. Границы применимости классической механики. Теория относительности. Постулаты Эйнштейна. Преобразования Лоренца.
- •39. Теорема сложения скоростей в сто.
- •40. Импульс в релятивистской механике.
- •41. Релятивистские законы Ньютона. Связь между энергией и импульсом частицы
- •43. Корпускулярно-волновой дуализм. Длина волны де Бройля. Квантование электронных орбит атома в модели де Бройля. Соотношения неопределенностей.
- •44. Предмет квантовой механики. Волновая функция, ее свойства и статистический смысл.
- •45. Временное и стационарное уравнение Шредингера. Решения.
- •46. Решение уравнения Шредингера для свободной частицы.
- •Вопрос 47: Уровни энергии и волновая функция частицы, находящейся в прямоугольной потенциальной яме.
- •48. Квантовый гармонический осциллятор.
- •50. Молекулярная физика, макросистемы и положения мкт. Идеальный газ. Эргодическая гипотеза. Постоянные в молекулярной физике. Основное уравнение молекулярно-кинетической теории – вывод.
- •51.Степени свободы молекул. Закон Больцмана о равномерном распределении энергии по степеням свободы. Внутренняя энергия идеального газа.
- •52. Эффективный диаметр, средние длина и время свободного пробега, число столкновений в единицу времени для молекул идеального газа.
- •53. Законы идеального газа, адиабатический процесс – вывод уравнения Пуассона.
- •54. Политропический процесс – вывод уравнения состояния.
- •55. Термодинамика. Термодинамические система и параметры, термодинамическое равновесие. Равновесный процесс. Внутренняя энергия – функция состояния.
- •56. Пути изменения внутренней энергии. Теплота и работа. Первое начало термодинамики. Работа расширяющегося газа.
- •58.Теплоёмкость идеального газа
- •Вопрос 59: Работа – функция процесса. Работа, совершаемая газом при изотермическом и изохорном процессах. Изохорический процесс
- •Вопрос 60:Работа – функция процесса. Работа, совершаемая газом при изобарическом процессе.
- •63. Второе начало термодинамики. Самопроизвольные и несамопроизвольные процессы. Равенство и неравенство Клаузиуса.
- •66. Третье начало термодинамики (теорема Нернста).
- •71.Эффект Джоуля- Томсона отрицательный
- •72. Эффект Джоуля-Томсона – положительный и интегральный.
- •75. Явления переноса: внутреннее трение.
- •76 Явления переноса: диффузия и теплопроводность
Вопрос 1.
Физика – наука о наиболее простых и наиболее общих формах движения материи и их взаимных превращениях; наука о явлениях природы.
Материальная точка-тело, с массой и размерами которой в данной задаче можно пренебречь.
Абсолютно твёрдое тело – не может деформироваться, расстояние между 2 точками или частицами этого тела постоянно.
Система отсчёта - совокупность системы координат и часов. Состоит из 3-х частей: 1) тело отсчёта; 2)связанная с этим телом система координат;3) прибор для измерения времени (хронометр).
Способы задания движения:
-координатный: это когда движение тела описывается в координатах ( x=x(t) )
-векторный : задаётся зависимость радиус-вектора от времени r=x(t)i + y(t)j + z(t)k
Перемещение
Вопрос 2: Виды движений мт и атт: -поступательное; -вращательное вокруг неподвижной оси; - плоское; -движение вокруг неподвижной точки; -свободное движение.
Число степеней свободы МТ и АТТ.
Виды движений МТ: прямолинейные(равномерное, равнопеременное, переменное), криволинейные (равномерное движение по окружности, неравномерное движ. по окр., движение по параболе, движение по коническим сечениям).
Для АТТ: все, что и для МТ + поступательное движение, вращательное движение, плоско-параллельное движение
Кинемат.уравн.
для поступат. движ:
ds=vdt
– для равномерн.
s=s0+ vt+at2/2 – равноперемен. Степени свободы МТ и АТТ: МТ обладает 3-мя степенями свободы (по осям x, y, z).
АТТ имеет 6 степеней свободы (3 поступат. и 3 вращат.)
Вопрос 3: движ под углом к горизонту
Траектория - парабола. В полете на тело действует сила тяжести и сила сопротивления воздуха (пренебрегаем) .
Рассм. движ. тела как 2 одноврем. движ.:
-равномерное
движение по горизонтали
-равноперем.
движ. по вертикали:
Вопрос 4: Траектория движения. Криволинейное движение. Нормальное и тангенциальное ускорения при криволинейном движении.
Траектория – линия, вдоль которой движется тело.
Уравнение траектории движения МТ: y=y(x) z=z(x)
Форма траектории зависит от вида движения:
Криволинейное движение – это движение, траектория которого представляет собой кривую линию (например, окружность, эллипс, гиперболу, параболу).
Изменение величины скорости за единицу времени – это тангенциальное ускорение:
Тангенциальное ускорение направлено перпендикулярно радиус-вектору и отвечает за изменение модуля скорости.
Нормальное ускорение - это изменение скорости по направлению за единицу времени:
Нормальное ускорение направлено вдоль (противоположно) радиус-вектора и отвечает за изменение направления.
Центростремительное ускорение – это нормальное ускорение при равномерном движении по окружности.
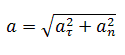
Полное ускорение при равнопеременном криволинейном движении тела равно:
Вопрос 5: Вращательное движение. Угловая скорость и угловое ускорение. Кинематические уравнения для вращательного движения.
Характеристики вращательного движения МТ:
Угловая скорость и угловое ускорение
Вектор
угловой скорости
– быстрота изменения угла поворота при
вращении МТ:
(рад/с)
(=
– время поворота МТ на
d
Вектор
углового ускорения – изменение
со временем
(рад/с2)
Кинематический
уравнение вращения тела
