Фізика атома і атомного ядра Фізика атома
Першу модель атома було запропоновано у 1902 р. У. Кельвіном (У. Томсоном): позитивно заряджена куля, всередині якої знаходяться нерухомі електрони. Дана модель не пояснювала стійкості атома та спектральні закономірності випромінювання атомів. Досліджуючи проходження α – частинок з енергією в декілька МеВ крізь тонкі пластини, зробили висновок про те, що атом складається з позитивно зарядженого ядра і електронів, які його оточують. Розмір ядра ≈ 10-14 – 10-15м, розміри атома ≈ 10-10м. (планетарна модель). Модель атома подібна до сонячної системи, тому її називають планетарною.
За законами класичної електродинаміки електрони рухаються по замкненим орбітам навколо позитивного ядра. Цей рух буде прискорений (доцентрове прискорення), тому електрони випромінюють електромагнетні хвилі. Енергія електрона при цьому зменшується і він повинен впасти на ядро. Однак атоми стійкі і випромінюють несуцільний спектр, а лінійчатий. Отже, планетарна модель Резерфорда також мала багато протиріч. В 1913 р. Н. Бор розробив теорію атома водню, яка була підтверджена експериментально. В основі борівської теорії атома лежать два основні постулати:
1) Електрони можуть рухатись в атомі тільки по певних орбітах, перебуваючи на яких вони, незважаючи на наявність у них прискорення, не випромінюють (постулат стаціонарних атомів).
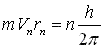
2) Правило квантування орбіти: в стаціонарному стані атома електрони, рухаючись по колових орбітах, повинні мати дискретні, квантові значення моменту імпульсу, що відповідає умові:
де m – маса електрона, Vн – швидкість електрона на n – й орбіті та її радіус, h – стала Планка.
3) Правило частот: атом випромінює або поглинає квант електромагнітної енергії при переході електрона з одного стаціонарного стану в інший.
Енергія
кванта дорівнює різниці енергії
стаціонарних станів електрона до Е2
і після Е1 переходу:
Постулати Бора дали можливість пояснити властивості атома водню (його розмір, спектральні лінії, енергію іонізації). Проте теорія Бора не змогла пояснити властивості інших атомів. Для послідовності обґрунтування властивостей атомів та інших об’єктів мікросвіту була створена нова фізична теорія – квантова механіка.
Ядра всіх атомів складаються з протонів (електричний заряд +е, маса mp=1,67·10-27кг) і нейтронів (заряд рівний нулю, маса mn=1,675·10-27кг). Спільна назва протонів і нейтронів – нуклони. Нуклони – складові частинки ядра. Між нуклонами діють короткодіючі сили притягання – ядерні сили. Кількість протонів у ядрі позначається Z і збігається з порядковим номером елемента в таблиці Менделєєва. Заряд ядра дорівнює Ze. Кількість нейтронів у ядрі позначається N. Загальна кількість нейтронів і протонів у ядрі позначається А і називається масовим числом A=Z+N.
Атомні
ядра позначають символами. Якщо Х
відповідає символу атома хімічного
елемента в періодичній системі Менделєєва,
то символ ядра цього атома має вигляд
.
Наприклад,
-
ядро атома водню,
-
ядро атома гелію. Атоми, які мають
однаковий заряд ядра, але різну масу,
називаються ізотопами. Ізотопи ядра
хімічного елемента мають однакове число
протонів, але різне число нейтронів у
складі ядра. Всі ізотопи одного і того
самого елемента мають однакові хімічні
властивості, але можуть відрізнятись
радіоактивністю.
Наприклад:
-
дейтерій і
-
тритій є ізотопами водню (тритій
радіоактивний).
