МИНИСТЕРСТВО ВЫСШЕГО И СРЕДНЕГО
СПЕЦИАЛЬНОГО ОБРАЗОВАНИЯ РСФСР
Пермский политехнический институт
Кафедра конструирования и технологии
электрической изоляции
Утверждено
на заседании кафедры
24 Июня 1987 г.
РАСЧЕТ КОНСТРУКТИВНЫХ
РАЗМЕРОВ КАБЕЛЕЙ
Методические указания по практическим занятиям по курсу "Технология производства кабелей" для студентов специальности 1803 "Электроизоляционная и кабельная техника"
Пермь 1988
Размеры всех конструктивных элементов кабеля и расход материалов, используемых для его изготовления рассчитываются на практических занятиях.
Цель, которая достигается при выполнении расчета - усвоение и закрепление теоретического материала, приобретение навыков использования нормативной и справочной литературы при решении инженерных задач по спецкурсу, составлении технической документации.
Результаты расчета оформляются в виде таблицы и на производстве используются для расчета технологических режимов, контроля процессов изготовления кабелей и готовой продукции, учета расхода материалов, выбора внутрицеховой и транспортной тары и для оформления заказов на материалы.
Методические указания по выполнению расчетов
Дано: марка кабеля, ГОСТ, номинальное напряжение, число жил и их сечения.
Рассчитать конструкцию кабеля. Исходные данные для расчета даются в ГОСТе на изделия.
1. Расчет геометрических размеров
Расчет производится с использованием номинальных размеров (диаметров, толщин) конструктивных элементов без учета допусков.
Порядок точности при расчете диаметров и толщины конструктивных элементов - 0,01 мм, диаметра кабеля - 0,1 мм.
Порядок расчета:
1.1. В ГОСТе на изделие уточнить конструкцию токопроводящей жилы (ТПЖ). При этом может быть несколько случаев:
а) в ГОСТе на изделие полностью описывается конструкция жилы: число проволок в жиле, диаметр проволок, число проволок в стренге и число стренг в жиле, система скрутки стренг в жилу и диаметр последней;
б) ГОСТ на изделие в части конструкции жилы ссылается на ГОCT 22483-77 (Жилы токопроводящие медные и алюминиевые для кабелей, проводов и шнуров), в котором указывается число проволок в жиле, диаметр проволок, и диаметр жилы. Необходимо определить число проволок в стренге и систему скрутки стренг в жилу.
Число проволок в стренге определяется по формуле
(1.1)
где N - число проволок в жиле (ГОСТ 22483-77);
nстр - число стренг в жиле (ГОСТ 22483-77).
Система скрутки в зависимости от значения nстр (или N при простой геометрически правильной скрутке (ПГПС)) подбирается по табл. 1.1.
Таблица 1.1
Система скрутки
Номер формы скрутки |
Число проволок |
Система скрутки повивов |
Диаметр по повивам |
I |
1 |
6+12+18+24+ |
(2n+1)d |
II |
2 |
8+14+20+26+ |
(2n+2)d |
III |
3 |
9+15+21+27+ |
(2n+2,25)d |
IV |
4 |
10+16+22+28+ |
(2n+2,41)d |
V |
5 |
11+17+23+29+ |
(2n+2,71)d |
(где n - номер повива (нумерация от центра) не считая центрального сердечника; d - диаметр скручиваемого элемента: проволоки, стренги, изолированной жилы и т.д.);
в) в ГОСТе на изделие указано, что диаметр проволок в жиле не должен превышать значения d1. Следует заметить, что предприятию экономически выгоднее использовать проволоки большего размера (ниже трудоемкость). Поэтому для жилы следует выбрать проволоки максимально допустимого диаметра.
Д
алее
следует уточнить расчетное сечение
ТПЖ:
Г
де
- удельное электрическое сопротивление
материала проволок
[2,
3],
l - длина кабеля, l = 1 м;
k1 , k2 - коэффициент укрутки проволок в жилу и жил в кабель (см. табл. 2.1.)
kg - коэффициент, учитывающий увеличение электрического сопротивления при уплотнении жил, kg = 1,004;
Rгост - максимально допустимое сопротивление жил кабеля заданного номинального сечения (ГОСТ 22483-77), Ом/м.
Число проволок в жиле рассчитывается по общеизвестному соотношению
Полученное значение N округлить до целого числа.
Система скрутки определяется следующим образом. Если N небольшое число, то скрутка простая геометрически правильная и система скрутки подбирается по табл. 1.1. Если ни одна из пяти форм скрутки не подходит, то можно уменьшить или увеличить N на несколько проволок. При этом следует помнить, что увеличение числа проволок ведет к увеличению расхода материала, а уменьшение - к увеличению электрического сопротивления, ограниченного ГОСТ 22483-77.
Если N большое число (49 и больше), то следует принять сложную геометрически правильную скрутку (СГПС), т.е. необходимо определить число проволок в стренге и число стренг в жиле. Для этого можно воспользоваться табл. 1.2, в которой указано общее число скручиваемых элементов (в данном случае число стренг nстр) в жиле в зависимости от номера формы скрутки и числа повивов.
Задавшись числом nстр (из табл. 1.2), по (1.1) рассчитать число проволок в стренге nпр. При этом nпр должно получиться целым числом, в противном случае следует задаться другим значением nстр и повторить операцию. При этом следует иметь в виду, что nпр , как правило, не превышает 50 (по числу отдающих катушек на крутильной машине).
Таблица 1.2 Общее число скручиваемых элементов (стренг)
Номер формы скрутки |
Номер повива |
|||
1 |
2 |
3 |
4 |
|
I |
7 |
19 |
37 |
61 |
II |
10 |
24 |
44 |
70 |
III |
12 |
27 |
48 |
75 |
IV |
14 |
30 |
52 |
80 |
V |
16 |
33 |
56 |
85 |
1.2. Рассчитать конструктивные параметры ТПЖ. Для случаев 1.1a и 1.1б следует рассчитать только диаметр стренги. Если проволоки в стренгу скручиваются правильной скруткой (см. ГОСТ на изделие), то число проволок в ней соответствует одной из пяти форм правильной скрутки .и диаметр ее рассчитывается по формулам табл. 1.1. Если проволоки в стренгу скручиваются пучковой скруткой, то диаметр ее (dcтр) рассчитывается по эмпирической формуле (1.2).
(1.2)
где d - диаметр проволок, мм.
В случае 1.1б диаметр стренги следует рассчитывать по (1.2), а диаметр жилы - по формулам табл. 1.1.
1.3. В ГОСТе на изделие уточнить, предусматривается ли наложение на жилу экрана либо обмотка лентой или пряжей. Уточнить толщины этих конструктивных элементов. Если есть обмотка лентой, то следует уточнить процент перекрытия при обмотке.
1.4. Рассчитать диаметр по экрану (обмотке):
где
-
диаметр по экрану, наложенному на жиду,
мм;
,
-
диаметр по обмотке лентой и пряжей
соответственно, мм;
-
толщина экрана,
мм;
-
толщина ленты, мм;
-
толщина пряжи
[4,
табл.
13].
1.5. В ГОСТе на изделие уточнить толщину изоляции, которая указывается в зависимости от номинального напряжения и сечения жил кабеля, или дается ссылка на ГОСТ 23286-78.
1.6. Рассчитать диаметр по изоляции
Где
-
диаметр заготовки под изоляцию (диаметр
жилы, экрана, обмотки),
мм;
-
толщина
изоляции, мм.
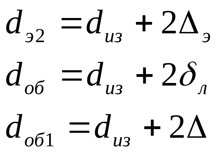
1.7. Уточнить по ГОСТу на изделие, предусматривается ли наложение на изоляцию экрана, обмотка лентой, пряжей или оплетка пряжей, проволокой. Уточнить размеры этих элементов.
1.8. Рассчитать диаметр с учетом вышеназванных элементов:
где
-
диаметр по экрану, наложенному на
изоляцию, мм;
,
- диаметр по оплетке пряжей и проволокой,
мм;
-
удвоенная толщина пряжи,
мм;
d - диаметр проволок, используемых для оплетки, мм.
1.9. Рассчитать диаметр по скрутке изолированных жил. В зависимости от числа скручиваемых жил диаметр по скрутке рассчитывается следующим образом.
