- •Министерство образования и науки, молодёжи и спорта одесская национальная морская академия
- •Одесса – 2014
- •Оглавление
- •Введение
- •Сведения о судне
- •Длина между перпендикулярами, м 183
- •Технические средства навигации
- •Предварительная подготовка
- •Подбор карт, руководств и пособий.
- •Список книг на переход
- •Комплектация, учет и корректура карт и книг
- •Гидрометеорологические условия.
- •Гидрометеорологические условия
- •Навигационно-гидрографический очерк.
- •Средства навигационного оборудования
- •Радиомаяки
- •Сведения о портах.
- •Бенгази
- •Предварительный выбор пути на морских участках.
- •Выбор трансокеанского пути
- •Подготовка технических средств навигации.
- •2. Проектирование перехода
- •2.1 Подъем карт в навигационном отношении.
- •2.2 Предварительная прокладка.
- •Курсы плавания
- •2.3 Естественная освещенность.
- •Расчет координат на 12:00 каждых суток
- •Расчет координат событий
- •Точный расчет Тс наступления событий
- •2.4 Предвычисление приливов.
- •Предвычисление приливов
- •2.5 Расчет и построение маршрутного графика точностей.
- •Результаты вычислений Rпп, rdd, rпd.
- •2.6 Расчет и построение сеток изолиний точностей.
- •Расчет меркаторской сетки
- •2.7 План обсерваций
- •2.8 Графический план перехода
- •Заключение
- •Список рекомендуемой литературы
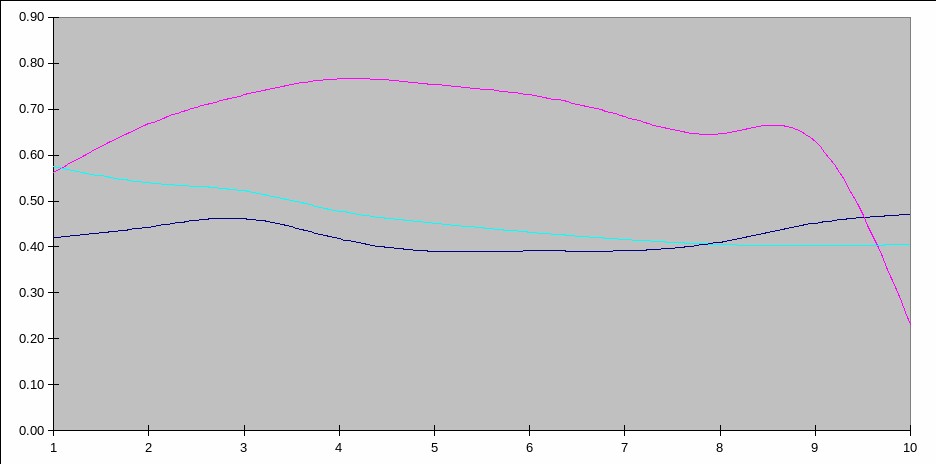
2.5 Расчет и построение маршрутного графика точностей.
Когда путь судна проходит в непосредственной близости от навигационных опасностей, существенную помощь в оценке точности контроля за движением судна может оказать маршрутный график точностей, который дает наглядное суждение о точности всех возможных обсерваций вдоль опасного участка плавания [4].
На 13 сессии Ассамблеи ИМО в 1983 году резолюцией А.529 (13) утвержден «Стандарт точности судовождения», согласно которому стандартной оценкой точности места судна принята «95% - ная фигура погрешностей». Для нахождения радиусов R 95% - ных кругов погрешностей используют формулы:
Rпп=
RDD=
RПD=
При расчете принимают mп=0,60, mD=0.01 от Dmax, где Dmax – шкала дальности, на которой ведутся наблюдения.
Таблица 2.4
Результаты вычислений Rпп, rdd, rпd.
№ точки |
1 |
2 |
3 |
4 |
5 |
6 |
7 |
8 |
9 |
10 |
П1, град |
310 |
5 |
36 |
45 |
50 |
53 |
57 |
60 |
62 |
63 |
П2, град |
240 |
245 |
249 |
253 |
256 |
259 |
265 |
269 |
270 |
275 |
П, град. |
70 |
120 |
147 |
152 |
154 |
154 |
152 |
151 |
152 |
148 |
D1, кбт |
3,5 |
4 |
5,4 |
7,5 |
9,6 |
12 |
14,3 |
16,7 |
19,1 |
21,5 |
D2, кбт |
19,7 |
17,3 |
16 |
12,5 |
10 |
7,8 |
5,5 |
3,1 |
2,1 |
3,1 |
Rпп, кбт |
0,43 |
0,38 |
0,46 |
0,53 |
0,53 |
0,55 |
0,61 |
0,62 |
0,54 |
0,46 |
RDD, кбт |
0,58 |
0,58 |
0,72 |
0,98 |
1,03 |
1,03 |
1,06 |
0,98 |
0,75 |
0,23 |
RПD2, кбт |
0,57 |
0,54 |
0,52 |
0,48 |
0,45 |
0,43 |
0,42 |
0,41 |
0,40 |
0,41 |
Схема участка показана на рис.
Маршрутный график точностей представлен на рис.
2.6 Расчет и построение сеток изолиний точностей.
Навигационная безопасность мореплавания может обеспечиваться обсервациями только с учетом их точности и частоты. Однако при выполнении обсерваций нет времени для расчетов по оценке их точности, особенно в стесненных водах, когда такую оценку производить крайне необходимо. Поэтому все расчеты и построения по оценке точности планируемых обсерваций необходимо выполнять заблаговременно при навигационной подготовке к переходу.
В районе, где предполагается маневрирование и путь судна будут выбирать в зависимости от складывающейся обстановки, например, при подходе к якорному месту, рекомендуется использовать сетку изолиний точности определения места намеченным способом. Каждой линии такой сетки соответствует надписанная возле нее оценка точности обсервации R. Сетка изолиний точности позволяет быстро и обоснованно выбрать путь судна, лучше обеспеченный обсервациями, и оценивать точность выполняемых обсерваций мест в плавании без затрат времени [2].
Сетки изолиний точностей определения места судна по двум гирокомпасным пеленгам, и по радиолокационным пеленгам и расстояниям будут рассчитаны для для определения места судна на якорной стоянке в Тунисском заливе, между мысом Картаж и мысом Гамар. Расстояние между ориентирами – 2,5 мили.
Таблица 2.6
Длины радиус-векторов изолиний для определения места судна по двум пеленгам.
|
|
|||||||||
3 |
1,2 |
1,05 |
1 |
1,05 |
1,2 |
1,5 |
2 |
2,5 |
3 |
|
300 (1500) |
0,325 |
0,875 |
- |
- |
- |
1,525 |
1,825 |
2,2 |
2,5 |
2,8 |
600 (1200) |
0,2 |
0,65 |
0,9 |
- |
1,375 |
1,725 |
2,175 |
2,75 |
3,2 |
3,575 |
900 |
0,175 |
0,6 |
0,825 |
1,15 |
1,5 |
1,925 |
2,4 |
2,925 |
3,4 |
3,825 |
Длины радиус-векторов указаны в милях.
Для оценки точности обсервации по пеленгу и дистанции измеренным по РЛС до одного и того же ориентира, служит формула, учитывающая предельную погрешность объекта D при измерении расстояния D.
R=
, (2.1)
где mп и mD – средне квадратические погрешности радиолокационных измерений пеленгов и расстояний. Из формулы 2.1 видно, что точность таких обсерваций одинакова для D=const, поэтому изолиниями точности (R=const) являются окружности с центром у ориентира [2].
