- •80. Векторная диаграмма.
- •81. Сложение нескольких гармонических колебаний одного направления.
- •82. Биения, Период биения.
- •83. Амплитуда биения. Сложение взаимно перпендикулярных колебаний.
- •84. Определение формы. Траектория в некоторых частных случаях.
- •85. Фигуры Лиссажу.
- •86. Колебания с сопротивлением.
- •87. Уравнение затухающих колебаний.
- •88. Коэффициент затухания.
- •89. Период затухающих колебаний
- •90. Декремент затуханий.
- •91. Логарифмический декремент затуханий.
- •92. Добротность колебательной системы.
- •93. Полная энергия колеблющей системы в условиях затухания, Вынужденные колебания при изменении
- •94. Кинематика специальной теории относительности.
- •95. Основные представления до релятивистской физики.
82. Биения, Период биения.
Бие́ния — явление, возникающее при наложении двух периодических колебаний, например, гармонических, близких по частоте, выражающееся в периодическом уменьшении и увеличении амплитуды суммарного сигнала.Частота изменения амплитуды суммарного сигнала равна разности частот исходных сигналов.
Период биений Тб — это промежуток между соседними моментами времени, в которые амплитуда обращается в нуль, а фаза изменяется на π.
83. Амплитуда биения. Сложение взаимно перпендикулярных колебаний.
Допустим, что материальная точка может совершать колебания как вдоль оси х, так и вдоль перпендикулярной к ней оси у. Если возбудить оба колебания, материальная точка будет двигаться по некоторой, вообще говоря, криволинейной траектории, форма которой зависит от разности фаз обоих колебаний.
Выберем начало отсчета времени так, чтобы начальная фаза первого колебания была равна нулю. Тогда уравнения колебаний запишутся следующим образом:
где
—
разность фаз обоих колебаний.
Выражения (57.1) представляют собой заданное в параметрической форме уравнение траектории, по которой движется тело, участвующее в обоих колебаниях. Чтобы получить уравнение траектории в обычном виде, нужно исключить из уравнений (57.1) параметр t. Из первого уравнения следует, что
Следовательно,
Теперь
развернем косинус во втором из уравнений
(57.1) по формуле для косинуса суммы,
подставляя при этом вместо
их
значения (57.2) и (57.3). В результате получим
Последнее уравнение после несложных преобразований можно привести к виду
Последнее
уравнение есть, вообще говоря, уравнение
эллипса, оси которого повернуты
относительно координатных осей х и у.
Ориентация эллипса и величина его
полуосей зависят довольно сложным
образом от амплитуд а и b и разности
фаз
Рис. 57.1,
Рис. 57.2.
Определим форму траектории для некоторых частных случаев.
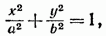
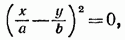
1. Разность фаз а равна нулю. В этом случае уравнение (57.4) принимает вид
откуда получается уравнение прямой
Результирующее
движение является гармоническим
колебанием вдоль этой прямой с частотой
и
амплитудой, равной
(рис.
57.1).
2.
Разность фаз а равна
Уравнение
(57.4) имеет вид
откуда получается, что результирующее движение представляет собой гармоническое колебание вдоль прямой (рис. 57.2)
3.
При
уравнение
(57.4) переходит в
т. е. в уравнение эллипса, приведенного к координатным осям, причем полуоси эллипса равны соответствующим амплитудам колебаний.
При
равенстве амплитуд а и
эллипс
вырождается в окружность.
Случаи
отличаются
направлением движения по эллипсу или
по окружности. Если
уравнения
(57.1) можно записать следующим образом:
В
момент
тело
находится в точке
(рис.
57.3). В последующие моменты времени
координата х уменьшается, а координата
у становится отрицательной. Следовательно,
движение совершается по часовой стрелке.
Рис. 57.3.
Рис. 57.4.
При
уравнения
колебаний имеют вид
Отсюда можно заключить, что движение происходит против часовой стрелки.
Из сказанного следует, что равномерное движение по окружности радиуса R с угловой скоростью со может быть представлено как сумма двух взаимно перпендикулярных колебаний:
(57.10)
(знак «+» в выражении для у соответствует движению против часовой стрелки, знак «—» — движению по часовой стрелке).
В
случае, когда частоты взаимно
перпендикулярных колебаний отличаются
на очень малую величину
их
можно рассматривать как колебания
одинаковой частоты, но с медленно
изменяющейся разностью фаз. В самом
деле, уравнения колебаний можно
представить следующим образом:
и
выражение
рассматривать
как разность фаз, медленно изменяющуюся
со временем по линейному закону.
Результирующее
движение в этом случае происходит по
медленно видоизменяющейся кривой,
которая будет последовательно принимать
форму, отвечающую всем значениям разности
фаз от
до
Если
частоты взаимно перпендикулярных
колебаний не одинаковы, то траектория
результирующего движения имеет вид
довольно сложных кривых, называемых
фигурами Лиссажу. На рис. 57.4 показана
одна из простейших траекторий, получающаяся
при отношении частот 1 : 2 и разности
фаз
Уравнения
колебаний имеют вид
За то время, пока вдоль оси х точка успевает переместиться из одного крайнего положения в другое, вдоль оси у, выйдя из нулевого положения, она успевает достигнуть одного крайнего положения, затем другого и вернуться в нулевое положение.
При отношении частот 1:2 и разности фаз, равной нулю, траектория вырождается в незамкнутую кривую (рис. 57.5), по которой точка движется туда и обратно.
Рис. 57.5.
Рис. 57.6.
Чем
ближе к единице рациональная дробь,
выражающая отношение частот колебаний,
тем сложнее оказывается фигура Лиссажу.
На рис. 57.6 для примера показана кривая
для отношения частот 3 : 4 и разности
фаз
.
