- •Ход занятия
- •1. Вычисление массы плоской пластины
- •2. Вычисление момента инерции плоской фигуры
- •3. Вычисление координат центра тяжести площади плоской фигуры
- •Задание для самостоятельной работы
- •1. Решение геометрических задач Задание для самостоятельной работы Задача 1. Найти площадь фигуры, ограниченной линиями: (ав), (dc), (вс).
- •2. Решение физических задач Задание для самостоятельной работы
- •1. Криволинейный интеграл по длине дуги (I рода)
- •2. Криволинейные интегралы второго рода
- •Задание для самостоятельной работы
- •Занятие №8. Вычисление тройных интегралов
- •Правило вычисления
- •1. Вычисление тройных интегралов в декартовых координатах
- •2. Переход к цилиндрическим координатам в тройном интеграле
- •3. Переход к сферическим координатам в тройном интеграле
- •Задание для самостоятельной работы
- •2. Решение физических задач с помощью тройных интегралов
- •Задание для самостоятельной работы
- •Задание для самостоятельной работы
Ход занятия
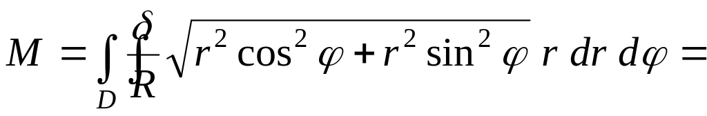
1. Вычисление массы плоской пластины
Задача
1. Найти массу
круглой пластины радиуса R,
если плотность ее пропорциональна
расстоянию точки от центра и равна
на краю пластины.
Решение.
Масса
неоднородной пластины с переменной
поверхностной плотностью
вычисляется по формуле:
По
условию задачи
где
коэффициент
пропорциональности,
расстояние
от произвольной точки до центра.
Если
то
Из этого условия находится коэффициент
пропорциональности:
Таким образом:
При вычислении данного интеграла удобнее перейти к полярным координатам. Тогда:
Ответ:
Решить самостоятельно по образцу задачи 3:
Задача 2. Найти массу кругового кольца, если в каждой его точке поверхностная плотность обратно пропорциональна квадрату расстояния ее до центра кольца.
Задача
3. Найти массу
пластинки, имеющей форму эллипса, если
поверхностная плотность в каждой точке
пластинки пропорциональна ее расстоянию
от малой оси эллипса и при
она равна
Указание.
Обозначать полуоси эллипса через а
и
и начало прямоугольной системы координат
совместить с центром эллипса. Тогда
уравнение эллипса будет
2. Вычисление момента инерции плоской фигуры
Задача 4. Найти момент инерции равнобедренного прямоугольного треугольника относительно его гипотенузы, если поверхностная плотность в каждой его точке пропорциональная расстоянию ее до гипотенузы.
Решение. Пусть
в
гипотенуза
(рис. 23).
|
|
Рис. 23 |
Рис. 24 |
Тогда относительно выбранной системы координат уравнения катетов будут:
Согласно
условию задачи в точке
треугольника плотность
Из рисунка видно, что искомый момент
инерции есть
Пользуясь формулой
найдем:
Ответ:
Решить самостоятельно по образцу задачи 4:
Задача
5. Найти
момент инерции прямоугольника относительно
его основания и высоты. Основание
прямоугольника а
см,
высота
(рис. 24).
Задача 6. Найти момент инерции однородного треугольника относительно его основания.
Указание. Пусть
основание треугольника равно
его высота
а отрезок основания ОС
от вершины О
до высоты равен
(рис. 25).
|
|
Рис. 25 |
Рис. 26 |
Задача 7. Найти момент инерции однородного равнобедренного треугольника относительно его высоты. Основание треугольника равно а см, высота h см.
Указание. Расположить оси, как показано на рисунке 26.
Уравнение
стороны ВС:
Вычислить момент инерции треугольника ОВС относительно оси Ох и полученное число умножить на 2.
Задача
8. Вычислить
момент инерции фигуры, ограниченной
кардиоидой
относительно оси Ох.
Указание. Перейдя к полярным координатам в формуле
получим
3. Вычисление координат центра тяжести площади плоской фигуры
Задача
9. Найти
координаты центра тяжести однородной
фигуры, ограниченной линиями
Решение. Построим данную фигуру (рис. 27).
Рис. 27
Так
как фигура симметрична относительно
оси Ох,
то
остается найти
по условию
Воспользуемся формулой:
Найдем массу (площадь) данной фигуры:
Тогда:
Ответ:
Решить самостоятельно по образцу задачи 9:
Задача
10. Определить
координаты центра тяжести площади,
ограниченной линиями
и одной полуволной синусоиды
Задача
11. Определить
центр тяжести полуэллипса
отсеченного осью Ох.
