- •Новосибирск – 2012 г.
- •Содержание и структура тестовых материалов Тематическая структура
- •Содержание тестовых материалов Аналитическая геометрия Кривые второго порядка
- •Прямая и плоскость в пространстве
- •Прямая линия на плоскости
- •Ведение. Элементы теории множеств Множества и операции над ними
- •Множество действительных чисел. Модуль числа и его свойства.
- •Векторная алгебра Векторы. Линейные операции над векторами
- •Скалярное, векторное, смешанное произведение векторов
- •Линейная алгебра Матрицы и операции над ними
- •Определители их свойства и вычисление
- •Системы линейных алгебраических уравнений и методы их решения
- •Основы математического анализа Дифференциальное исчисление функции нескольких переменных
- •Дифференциальное исчисление функции одной независимой переменной
- •Дифференциальные уравнения
- •Интегральное исчисление функции одной независимой переменной
- •Основы теории комплексных чисел
- •Теория пределов и непрерывность функций
- •Теория рядов
- •Функция. Основные свойства функций
- •Числовая последовательность. Предел числовой последовательности
- •Основы теории вероятностей
- •Центральная предельная теорема
- •Элементы комбинаторики
- •Теория вероятностей Дискретные случайные величины
- •Непрерывные случайные величины
- •Математическая статистика Выборочный метод. Статические оценки параметров распределения
- •Основы теории корреляции
- •374. Задание {{ 96 }} Корр_№5
- •375. Задание {{ 97 }} Корр_№6
- •376. Задание {{ 98 }} Корр_№7
- •377. Задание {{ 99 }} Корр_№8
- •Проверка статических гипотез
Непрерывные случайные величины
340. Задание {{ 89 }} Непр_№8
Плотность распределения непрерывной случайной величины X задана функцией
.
Найти значение параметра a.
1
-
341. Задание {{ 90 }} Непр_№9
Кривая распределения непрерывной случайной величины X имеет вид:
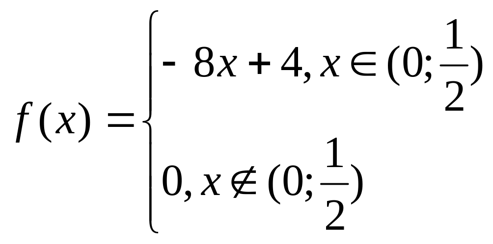
y=-8x+4
0
Вероятность события
равна …
0,25
0,5
1
0,2
342. Задание {{ 91 }} Непр_№10
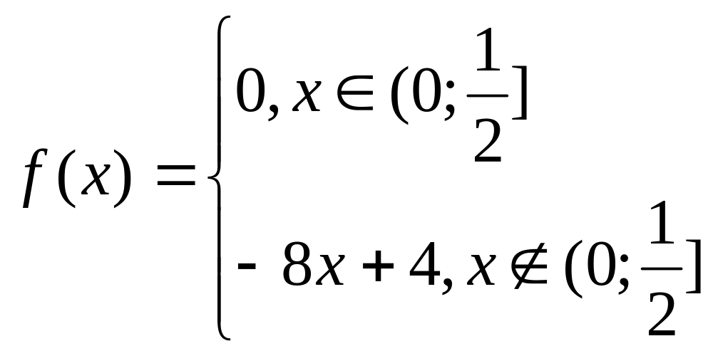
Кривая распределения непрерывной случайной величины X имеет вид:
y=-8x+4
0
Найти функцию распределения F(x)
343. Задание {{ 67 }} Непр_№7
Точечная оценка математического ожидания нормального распределения равна 10. Тогда его интервальная оценка может иметь вид …
(8,5;11,5)
(8,4;10)
(10;10,9)
(8,6;9,6)
344. Задание {{ 75 }} Непр_№3
Непрерывная случайная величина задана плотность распределения
Математическое ожидание равно …
3
345. Задание {{ 76 }} Непр_№4
Плотность распределения обладает следующими свойствами (выбрать нужные):
346. Задание {{ 77 }} Непр_№5
Непрерывная случайная величина задана плотность распределения
Дисперсия равна …
1
347. Задание {{ 78 }} Непр_№6
Кривая распределения непрерывной случайной величины X имеет вид:
y=-8x+4
0
Выражение для f(x) имеет вид …
348. Задание {{ 36 }} Непр_№1
График плотности распределения вероятностей непрерывной случайной величины Х, распределённой равномерно в интервале (-1;4), имеет вид:
Тогда значение параметра а равно…
1
0,33
0,20
0,25
349. Задание {{ 37 }} Непр_№2
Непрерывная случайная величина X
задана плотностью распределения
вероятностей
. Тогда математическое ожидание этой
нормально распределённой случайной
величины равно ...
4
3
9
18
350. Задание {{ 120 }} Непр_№11
Непрерывная случайная величина Х
задана интегральной функцией
распределения вероятностей
Тогда значение С равно …
2
1
351. Задание {{ 167 }} Непр_№12
352. Задание {{ 347 }} Непр_№13
353. Задание {{ 550 }} Непр_№14
Случайная величина, принимающая конечное или счетное множество значений, называется ?. (Вместо - ? вставьте нужное слово).
Правильные варианты ответа: дискретной;
354. Задание {{ 551 }} Непр_№15
Если же множество возможных значений случайной величины несчетно, то такая величина называется ?. (Вместо - ? вставьте нужное слово).
Правильные варианты ответа: непрерывной;
Математическая статистика Выборочный метод. Статические оценки параметров распределения
355. Задание {{ 64 }} Выб_№1
Из генеральной совокупности извлечена выборка объема n=50, полигон частот которой имеет вид
Тогда число вариант xi=4 в выборке равно…
16
15
14
50
356. Задание {{ 65 }} Выб_№2
Мода вариационного ряда 1,2,2, 3,4,5 равна…
2
3
4
17
357. Задание {{ 66 }} Выб_№3
Проведено четыре измерения (без систематических ошибок) некоторой случайной величины (в мм): 5, 6, 9, 12. Тогда несмещенная оценка математического ожидания равна…
8
7
8,25
8,5
358. Задание {{ 68 }} Выб_№5
Статистическое распределение выборки имеет вид
Тогда относительная частота варианта
,
равна …
0,2
2
4
1
359. Задание {{ 102 }} Выб_№4
В результате измерений некоторой физической величины одним прибором (без систематических ошибок) получены следующие результаты (в мм): 10, 12, Тогда несмещенная оценка дисперсии равна …
0
3
4
2
360. Задание {{ 103 }} Выб_№6
Дана выборка объема n. Если каждый элемент выборки увеличить в 5 раз, то выборочное среднее …
увеличится в 5 раз
не изменится
увеличится в 25 раз
уменьшится в 5 раз
361. Задание {{ 122 }} Выб_№7
Из генеральной совокупности извлечена
выборка объема
:
Тогда
равен…
23
24
50
7
362. Задание {{ 124 }} Выб_№8
Мода вариационного ряда
равна…
Правильные варианты ответа: 3;
363. Задание {{ 168 }} Выб_№9
38
4
10
18
364. Задание {{ 169 }} Выб_№10
4,5
5
10
9
365. Задание {{ 348 }} Выб_№11
11
1,1
0,55
0,05
366. Задание {{ 397 }} Выб_№12
8,8
9
0,35
8,75
367. Задание {{ 429 }} Выб_№13
18
100
52
51
368. Задание {{ 430 }} Выб_№14
7,5
5
5,5
6
369. Задание {{ 431 }} Выб_№15
11,4
11
11,5
11,6
