- •1. Задание {{ 1 }} тз № 1
- •2. Задание {{ 2 }} тз № 2
- •3. Задание {{ 3 }} тз № 3
- •4. Задание {{ 4 }} тз № 4
- •5. Задание {{ 5 }} тз № 5
- •6. Задание {{ 6 }} тз № 6
- •11. Задание {{ 11 }} тз № 11
- •12. Задание {{ 12 }} тз № 12
- •20. Задание {{ 20 }} тз № 20
- •21. Задание {{ 21 }} тз № 21
- •22. Задание {{ 22 }} тз № 22
- •23. Задание {{ 23 }} тз № 23
- •24. Задание {{ 24 }} тз № 24
- •Графический метод решения задачи лп
- •Задача линейного программирования
- •Симплексный метод решения задачи лп
- •Двойственность в линейном программировании
- •185. Задание {{ 185 }} тз № 185
- •186. Задание {{ 186 }} тз № 186
- •Транспортная задача
185. Задание {{ 185 }} тз № 185
Отметьте правильный ответ
Двойственные оценки показывают приращение целевой функции задачи математического программирования, вызванное:
фиксированным изменением свободного члена соответствующего ограничения
достаточно большим изменением свободного члена
+ малым изменением свободного члена
+ малым изменением коэффициентов целевой функции
186. Задание {{ 186 }} тз № 186
Отметьте правильный ответ
Условия дополняющей нежесткости экономически означают (для задачи оптимального использования ресурсов), в частности, что если в некотором оптимальном плане двойственных оценок его i-ая компонента строго больше нуля, то:
+ в оптимальном плане производства расход соответствующего ресурса равен его запасу
другие компоненты равны нулю
в оптимальном плане производства расход соответствующего ресурса меньше его запаса
другие компоненты меньше нуля
187. Задание {{ 187 }} ТЗ № 187
Отметьте правильный ответ
Если переменная хj исходной ЗЛП на максимум может принимать только лишь положительные значения, то j-ое ограничение двойственной задачи является:
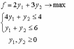
+
188. Задание {{ 188 }} ТЗ № 188
Отметьте правильный ответ
Неизвестные в паре взаимно-двойственных симметрических ЗЛП:
имеют противоположные знаки
+ неотрицательны
положительны
свободного знака
189. Задание {{ 189 }} ТЗ № 189
Отметьте правильный ответ
Переменные задачи, двойственной к канонической ЗЛП:
отрицательны
положительны
+ могут быть и положительными и отрицательными
равны нулю
190. Задание {{ 190 }} ТЗ № 190
Отметьте правильный ответ
Коэффициентами при неизвестных в целевой функции двойственной задачи являются:
коэффициенты целевой функции исходной задачи с противоположными знаками
+ свободные члены системы ограничений исходной задачи
свободные члены системы ограничений исходной задачи, умноженные на -1
коэффициенты целевой функции исходной задачи
191. Задание {{ 191 }} ТЗ № 191
Отметьте правильный ответ
Правыми частями в системе ограничений двойственной задачи являются:
нули
коэффициенты при неизвестных в целевой функции исходной задачи с противоположными знаками
правые части системы ограничений прямой задачи
+ коэффициенты при неизвестных в целевой функции исходной задачи
192. Задание {{ 192 }} ТЗ № 192
Отметьте правильный ответ
+
193. Задание {{ 193 }} ТЗ № 193
Отметьте правильный ответ
Если i-е ограничение исходной задачи ЛП на максимум является неравенством, то i-я переменная двойственной задачи:
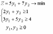
+
194. Задание {{ 194 }} ТЗ № 194
Отметьте правильный ответ
Число переменных в двойственной задаче равно числу
+ переменных в исходной задаче
отличных от нуля правых частей исходной задачи
ограничений исходной задачи
ненулевых коэффициентов целевой функции исходной задачи
195. Задание {{ 195 }} ТЗ № 195
Отметьте правильный ответ
Матрицы коэффициентов системы ограничений двойственной задачи и системы ограничений исходной задачи
совпадают
+ являются транспонированными друг к другу
являются взаимно обратными
вырожденные
196. Задание {{ 196 }} ТЗ № 196
Отметьте правильный ответ
Если i-ое ограничение исходной задачи ЛП является равенством, то i-я переменная двойственной задачи:
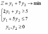
+
197. Задание {{ 197 }} ТЗ № 197
Отметьте правильный ответ
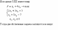
+
198. Задание {{ 198 }} ТЗ № 198
Отметьте правильный ответ
Компоненты оптимального плана двойственной задачи ЛП (если двойственная пара симметричная) находятся в последней симплексной таблице исходной задачи:
в столбце свободных членов
в индексной строке в столбцах, соответствующих основным переменным
+ в индексной строке в столбцах, соответствующих дополнительным переменным
в столбце коэффициентов целевой функции
199. Задание {{ 199 }} ТЗ № 199
Отметьте правильный ответ
+
200. Задание {{ 200 }} ТЗ № 200
Отметьте правильный ответ
+
201. Задание {{ 201 }} ТЗ № 201
Отметьте правильный ответ
Двойственный симплексный метод целесообразно применять при решении ЗЛП:
если все свободные члены положительны
+ свободные члены системы ограничений, которой могут быть любыми числами
с целевой функцией, имеющей неотрицательные коэффициенты и только на максимум
с целевой функцией, имеющей отрицательные коэффициенты
202. Задание {{ 202 }} ТЗ № 202
Отметьте правильный ответ
Условно-оптимальным планом (или псевдопланом) ЗЛП на максимум называется:
любое базисное решение
любой опорный план, для которого среди оценок свободных переменных нет нулевых
+ любое возможное решение, для которого все оценки свободных переменных неотрицательны
приближённое решение
203. Задание {{ 203 }} ТЗ № 203
Отметьте правильный ответ
Термин "теневая цена" означает
изменение плана при изменении ресурса на единицу
+ изменение значения целевой функции при изменении ресурса на единицу
предельно допустимое значение ресурса
изменение значения целевой функции при изменении одного из ее коэффициентов
204. Задание {{ 204 }} ТЗ № 204
Отметьте правильный ответ
"Теневая цена" имеет смысл для ресурсов
с ограничениями сверху
с ограничениями снизу
+ несвязанных
связанных
205. Задание {{ 205 }} ТЗ № 205
Отметьте правильный ответ
Если "теневая цена" ресурса превосходит рыночную цену, то выгодно
+ приобретать этот ресурс
продавать этот ресурс
ничего не делать
изменить "теневую цену"
206. Задание {{ 206 }} ТЗ № 206
Отметьте правильный ответ
Если "теневая цена" ресурса меньше рыночной цены, то выгодно
приобретать этот ресурс
+ продавать этот ресурс
ничего не делать
изменить "теневую цену"
207. Задание {{ 207 }} ТЗ № 207
Отметьте правильный ответ
Если "теневая цена" ресурса равна рыночной цене, то выгодно
приобретать этот ресурс
продавать этот ресурс
+ ничего не делать
изменить "теневую цену"
208. Задание {{ 208 }} ТЗ № 208
Отметьте правильный ответ
Критические границы ресурсов соответствуют
границам устойчивости статуса ограничений при изменении коэффициентов целевой функции
границам устойчивости статуса ограничений при изменении коэффициентов их левых частей
+ границам устойчивости статуса ограничений при изменении их правых частей
допустимым уменьшению и увеличению ресурса
209. Задание {{ 209 }} ТЗ № 209
Отметьте правильный ответ
Допустимое увеличение ресурса позволяет изменить статус ограничений
да
+ нет
да, если ограничения - строгие неравенства
да, если ограничения - равенства
210. Задание {{ 210 }} ТЗ № 210
Отметьте правильный ответ
Допустимое уменьшение ресурса позволяет изменить "теневую цену"
да
+ нет
да, если теневая цена положительна
да, если теневая цена отрицательна
211. Задание {{ 211 }} ТЗ № 211
Отметьте правильный ответ
Критические границы цен соответствуют границам
устойчивости оптимального плана при изменении
коэффициентов целевой функции
+ левых частей ограничений
правых частей ограничений
212. Задание {{ 212 }} ТЗ № 212
Отметьте правильный ответ
Допустимое увеличение цен позволяет изменить статус ограничений
да
+ нет
необходимы дополнительные сведения
213. Задание {{ 213 }} ТЗ № 213
Отметьте правильный ответ
Допустимое уменьшение цен позволяет изменить "теневую цену"
да
+ нет
необходимы дополнительные сведения
