- •Передмова
- •Розділ 1. Технічна експлуатація будівель і споруд
- •1.1.Загальні положення
- •1.2.Спостереження за станом будівель та споруд у період експлуатації
- •1.2.1.Служба спостереження
- •1.2.2.Огляди будівель та споруд
- •1.3.Проведення ремонтних робіт
- •1.3.1.Види ремонтів
- •1.3.2.Планування ремонтів
- •1.4.Паспортизація будівель та споруд
- •1.4.1.Обстеження будівель і споруд для паспортизації
- •1.4.2.Спеціалізована організація
- •1.4.3.Порядок проведення паспортизації
- •1.4.4.Паспорт технічного стану будівлі
- •1.5.Обстеження технічного стану будівель та споруд
- •1.5.1.Мета і завдання обстеження
- •1.5.2. Дефекти будівельних конструкцій
- •1.5.3. Методи обстеження конструкцій
- •1.5.4. Неруйнівні методи випробувань будівельних конструкцій
- •Механічні методи
- •Акустичні методи
- •Радіаційні методи
- •Магнітні та електричні методи
- •Інфрачервона дефектоскопія
- •1.5.5.Інструментальне забезпечення обстеження конструкцій
- •1.5.5.Оцінювання технічного стану конструкції, будівлі, споруди
- •1.6. Корозія будівельних конструкцій та захист від неї
- •1.6.1. Характеристика агресивності оточуючого середовища
- •1.6.2. Види корозії
- •1.6.3. Корозія конструкцій із різних матеріалів
- •1.6.4.Захист від корозії
- •Розділ 2. Реконструкція будівель і споруд
- •2.1. Загальні положення
- •2.1.1. Обґрунтування доцільності реконструкції будівель та споруд
- •2.1.2. Загальні відомості про проектування реконструкції
- •2.2. Підсилення основ фундаментів
- •2 .3. Реконструкція фундаментів
- •2.4. Підсилення залізобетонних та кам’яних конструкцій
- •2.4.1. Колони, стовпи і стіни
- •2.4.2. Збірні плити перекриття і покриття
- •2.4.3. Монолітні перекриття
- •2.4.4. Балки
- •2.4.5. Ферми
- •2.5. Підсилення металевих конструкцій
- •2.5.1. Усунення місцевих дефектів і пошкоджень
- •2.5.2. Стояки та колони
- •2.5.3. Балки
- •2.5.4. Ферми
- •2.5.5. Сталевий настил
- •2.6. Реконструкція дерев’яних конструкцій
- •2.6.1. Стояки та стіни
- •2.6.2. Балки
- •2.6.3. Ферми
- •2.6.4. Кроквяна система
- •2.7. Особливості виконання будівельно-монтажних робіт під час реконструкції
- •Припис № ______
- •Технічний журнал з експлуатації будівлі (споруди)
- •Орієнтовний перелік робіт із поточного ремонту будівель та споруд Для будівель
- •1.Фундаменти
- •2.Стіни і колони
- •3.Перегородки
- •4.Покрівля і покриття
- •5.Покриття, перекриття і підлоги
- •6.Вікна, двері та ворота
- •7.Сходи і ґанки
- •8.Внутрішні штукатурні, облицювальні й малярні роботи
- •9.Фасади
- •11.Центральне опалення
- •12.Вентиляція
- •13.Внутрішній водопровід і каналізація
- •14.Гаряче водопостачання
- •15.Електроосвітлення та зв’язок
- •Для споруд
- •1.Водопровідно-каналізаційні споруди
- •1.1.Трубопроводи та арматурні мережі
- •1.2.Колодязі
- •1.3.Водозабори і гідротехнічні споруди
- •1.4.Очисні споруди
- •3.2.Верхня будова залізничної колії
- •3.3.Штучні споруди (мости, тунелі)
- •4.Автомобільні шляхи
- •Орієнтовний перелік робіт із капітального ремонту будівель та споруд Для будівель
- •1.Фундаменти
- •2.Стіни і колони
- •3.Перегородки
- •4.Покрівля і покриття
- •5.Підкранові шляхи
- •6.Міжповерхові перекриття та підлоги
- •7.Вікна, двері та ворота
- •8.Внутрішні штукатурні, облицювальні і малярні роботи
- •9.Фасади
- •11.Центральне опалення
- •Для споруд
- •1.2.Колодязі
- •1.3.Водозабори і гідротехнічні споруди
- •2.Теплофікація
- •2.1.Канали і камери
- •2.2.Трубопроводи й арматура
- •3.Під’їзні і внутрішньозаводські залізничні шляхи
- •3.1.Верхня будова шляху
- •3.2.Штучні споруди (мости, тунелі, труби)
- •4.Автомобільні шляхи
- •4.1.Земляне полотно
- •4.2.Дорожній огляд
- •4.3.Мости, труби
- •4.4.Майданчики для автомобілів, дорожньо-будівельних та інших машин, складські майданчики, а також майданчики хлібоприймальних пунктів
- •5.Електричні мережі та зв’язок
- •6.Інші споруди
- •Кошторис на капітальний ремонт
- •Зведений опис робіт
- •Технічний стан будівлі (споруди) та висновки щодо її подальшої експлуатації
- •3.5 Оцінка потенційних наслідків можливої аварії
- •3.6 Пропозиції щодо подальшої експлуатації
- •4 Інші відомості*
- •Технічний стан основ та конструктивних елементів за частинами об’єкта
- •Технічний стан інженерного обладнання за частинами об’єкта
- •Виявлені дефекти та пошкодження і терміни їх усунення
- •Зміни характеристик паспорта технічного стану будівлі (споруди)
- •Останнє обстеження проведено:
- •Перелік кодів робіт* з обстеження будівель, споруд і мереж, на виконання яких надано право організації, що провела останнє обстеження
- •5.02.00 Обстеження будівель, споруд і мереж
- •Відомості про реконструкцію, технічне переозброєння будівлі
- •Наявність підйомно-транспортних пристроїв та механізмів
- •Проектні дані про допустимі корисні навантаження на основні несучі конструкції та елементи будівлі
- •Площа підлог, м2
- •Розміри внутрішніх поверхонь огороджуючих та несучих конструкцій, м2
- •Площа приміщень, м2
- •Розміри зовнішніх поверхонь огороджуючих конструкцій, м2
- •Порядок ведення, зберігання та використання паспорта технічного стану будівлі (споруди)
- •Перелік літератури
2.5.3. Балки
Найбільш пошире-ним методом підсилення сталевих балок є їх наро-щування.
Нарощування може бути простим збільшенням перерізу за рахунок приварювання додаткових профілів (рис. 2.96). Кон-струкції перед їх підсилен-ням максимально розван-тажуються, під них під-водяться тимчасові опори для підстрахування. Спо-чатку приварюються елементи підсилення до нижнього пояса, а потім — до верхнього. Елементи нижнього пояса рекомендується перед приварюванням до конструкції нагріти до температури 200...3000С і в такому стані приварити: зразу по краях елементів, а потім приступати до накладання переривистих швів по довжині конструкції. Якщо встановити тимчасові опори немає можливості, то елементи підсилення встановлюють на високоміцних болтах, а потім накладають зварні шви.
Нарощування може виконуватись також шляхом приклеювання сталевих листів на пояси балок (рис. 2.97). Металеві поверхні, що склеюються, готують відповідним чином: очищають від продуктів корозії, окалини, обезжирюють ацетоном. Склеювання виконують полімерними клеями. За необхідності металеві елементи для підвищення якості клеєних швів стягують болтами.
Сталеві балки можуть бути перетворені в залізобетонні з жорсткою арматурою. Для цього їх обетоновують бетоном класу не нижче ніж В15. Обетоновуватися може весь переріз, а також його частина (найчастіше — стиснута) (рис. 2.98). Бетоном можуть заповнюватися лише порожнини сталевих балок (рис. 2.99). В останньому випадку можливе збільшення площі сталі в перерізі за рахунок приварювання арматурних стрижнів чи прокатних профілів до поличок балки. Для надійної роботи таких комплексних конструкцій обов’язковою умовою є надійне зчеплення бетону зі сталлю.
Б
алки
підсилюються також нарощуванням
дерев’яними брусами (рис. 2.100). Для
цього в елементах балки (поличках чи
ребрі) просвердлюються отвори для
наступного встановлення в них стяжних
болтів. Робота підсиленої конструкції
буде більш надійною, якщо по контакту
сталі та дерева покласти шар полімерного
клею.
За необхідності суттєвого збільшення несучої здатності сталевої балки потрібно матеріал конструкції підсилення віднести якомога далі від нейтральної осі поперечного перерізу. Для цього використовуються способи підсилення балок шляхом установлення на нижньому поясі затяжок (рис. 2.101). Для включення в роботу стрижнів затяжки їх попередньо напружують. Попереднє напруження створюють одним із способів:
с
тягуванням
двох гілок затяжки хомутом;затягуванням гайок, розміщених на кінцях затяжок;
затягуванням стяжних муфт, які розташовуються по середині гілок затяжок.
У
якості затяжок використовуються також
шпренгельні конструкції (рис. 2.102).
Включення їх в роботу виконується одним
із вищенаведених способів.
Радикальним спосо-бом збільшення несучої здатності балок є підведен-ня знизу металевої рами (рис. 2.103).
Іншим способом підсилення сталевих балок є зміна їх розрахункової схеми. Найчастіше цей спосіб реалізується шляхом підведення опор (рис. 2.104) чи сталевих балок (рис. 2.105) знизу конструкції, що підсилюється.
Розрізні балки можуть бути перетворені в нерозрізні (рис. 2.106). При цьому різко зменшуються внутрішні зусилля в поперечних перерізах існуючої конструкції.
Підкранові сталеві балки можуть підсилюватися вищенаведеними способами. Для збільшення їх несучої здатності використовуються сталеві ламелі.
Ламелі влаштовуються за допомогою зварювання на підкладних листах (рис. 2.107) або додаткових ребрах жорсткості (рис. 2.108).
П
риклад
2.19. Сталева балка з розрахунковим
про-льотом
5,8 м
із двотавра № 27 (ГОСТ 8236-56)
робо-чого майданчика цеху з середньоагресивним
середовищем завантажена наступним
рівномірно розподіленим навантаженням:
–постійне: нормативне значення —
5,45
кН/м; розрахункове —
6,0 кН/м;
–тимчасове короткочасне: нормативне
значення —
4,5
кН/м; розрахункове значення —
5,85
кН/м;
–власна вага обладнання на робочому
майданчику: нормативне значення —
2,0
кН/м; розрахункове значення —
2,1
кН/м.
П
ід
час огляду виявлено, що балка сприймає
постійне навантаження та вагу обладнання.
М
атеріал
балки — Ст3 (ОСТ 380-50). Нормативний
опір сталі
215 МПа.
Рівномірний корозійний знос по поперечному
перерізу з глибиною проникнення корозії
на час огляду балки становить
0,5 мм.
Після реконструкції на робочий майданчик
буде встановлено стаціонарне обладнання,
що складає додаткове навантаження.
Нормативне значення цього навантаження
—
4,0
кН/м, розрахункове —
4,2 кН/м.
Потрібно розрахувати балку за міцністю та деформаціями на експлуатаційне навантаження на день огляду, а також визначити несучу здатність із новим додатковим технологічним обладнанням. При незабезпеченості несучої здатності необхідно підсилити балку.
Геометричні характеристики поперечного перерізу балки:
—до корозійного зносу (рис. 2.109)
—з урахуванням корозійного зносу
д
е
коефіцієнти
—
прийняті за таблицею 8.9 „Пособия
по проектированию усиления стальных
конструкций (к СНиП ІІ-23-81*)“.
Р
озрахункові
згинальні моменти у середині балки:
–від постійного навантаження і навантаження від обладнання на час огляду
–від постійного і короткочасного навантаження та навантаження від обладнання (експлуатаційні навантаження до установлення додаткового обладнання)
–додатковий згинальний момент (розрахункове значення) від установлення додаткового стаціонарного обладнання
Розрахунковий опір сталі балки дорівнює:
де
1,1
прийнято тому, що балка виготовлена зі
сталі в період із 1932 по 1982 рр., а її
розрахунковий опір < 380 МПа;
1,
тому що корозійний знос балки < 25%, а
товщина її стінки
>
Перевіряємо несучу здатність балки (з
урахуванням розвитку пластичних
деформацій) на дію експлуатаційного
навантаження на час обстеження при
=0,9:
<
Визначаємо прогин балки від дії експлуатаційних навантажень:
Відносний прогин
<
Таким чином, несуча здатність та жорсткість балки при дії експлуатаційних навантажень на час обстеження забезпечені.
Перевіряємо несучу здатність балки (з урахуванням розвитку пластичних деформацій) при встановленні додаткового стаціонарного обладнання.
Оскільки
>
то несуча
здатність не забезпечена. Необхідне
підсилення балки. Виконаємо його шляхом
приварювання штаби перерізом 180×6 мм
до нижньої (розтягнутої) полиці двотавра
(рис. 2.109) у середній частині прольоту
балки. Матеріал штаби — сталь ВСт3 кп2-1
(ТУ 14-1-3023-80) із розрахунковим опором
220 МПа.
Приймаємо суцільний зварний шов, катет
якого дорівнює
=5 мм.
Визначаємо згинальний момент від розрахункового значення навантаження, при якому міцність перерізу (з урахуванням розвитку пластичних деформацій) буде забезпечена без підсилення:
Відстань від опори до перерізу, міцність якого на дію згинального моменту 64,8 кНм забезпечена, визначаємо з умови:
Визначаємо центр мас підсиленого перерізу
Геометричні характеристики цього перерізу
Коефіцієнт, що враховує різницю величин розрахункового опору матеріалів елементів, які підсилюються та підсилюють:
Для визначення величини граничного згинального моменту в пластичному шарнірі [М] обраховуємо площі стиснутої та розтягнутої зон елементів, що підсилюються і підсилюють:
Абсолютні значення відстаней від центрів мас стиснутих і розтягнутих площ цих елементів до центральної осі складають:
Визначаємо коефіцієнт
,
який ураховує початковий рівень
навантаження:
Тоді
Для середнього перерізу
<
при
і
маємо:
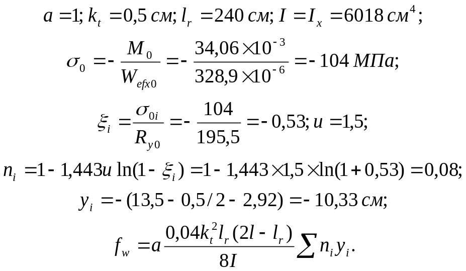
<
Вираховуємо приріст прогину від
приварювання штаби до нижньої полиці
балки
при:
У вищенаведених виразах знак „-“ для напруження прийнятий для розтягу.
Прогин підсиленої балки від установлення на робочий майданчик додаткового обладнання
Відносний прогин балки
>
<
Прогин більший, ніж допускається, на 2,2%<5%. Несуча здатність і жорсткість підсиленої балки при дії додаткового навантаження від стаціонарного обладнання забезпечена.
Оскільки
<
то приварити штабу підсилення можна без попереднього розвантаження конструкції.
