- •Математика 2 Есептер мен жаттығулар
- •Isbn 978-601-266-055-7
- •1 Көп аЙнымалылы функция
- •1.1 Көп айнымалылы функцияның анықталу облысы
- •1.2 Көп айнымалылы функцияның туындылары мен дифференциалдары
- •1.3 Бетке жүргізілген жанама жазықтық және нормаль түзу
- •1.4 Екі айнымалылы функцияның экстремумы
- •1.1 Сурет
- •2 Дифференциалдық теңдеулер
- •2.1 Бірінші ретті дифференциалдық теңдеулер
- •2 Сурет
- •2.2 Жоғарғы ретті дифференциалдық теңдеулер
- •1. Кейбір реті төмендетілетін дифференциалдық теңдеулер.
- •2.3 Дифференциалдық теңдеулер жүйесі
- •3 Қос интеграл
- •3.1 Тік бұрышты координаттар жүйесіндегі қос интегралдар
- •3.1 Сурет
- •3.2 Сурет
- •3.3 Сурет
- •3.4 Сурет
- •3.5 Сурет
- •3.6 Сурет
- •3.2 Қос интегралда айнымалыларды алмастыру
- •3.7 Сурет
- •3.3 Қос интегралдың қолданылуы
- •3.9 Сурет
- •3.10 Сурет
- •3.11 Сурет
- •3.13 Сурет
- •3.14 Сурет
- •3.15 Сурет
- •4 Үштік интегралдар
- •4.1 Сурет
- •4.2 Сурет
- •4.3 Сурет
- •4.4 Сурет
- •4.6 Сурет
- •5 Қисық сызықты және беттік интегралдар
- •5.1 Доға ұзындығы және координаттар бойынша қисық сызықты интегралдар
- •5.2 Беттік интегралдар
- •6 Өріс теориясының элементтері
- •5.3 Сурет
1.3 Бетке жүргізілген жанама жазықтық және нормаль түзу
Қарастырылатын
беті
теңдеуімен берілсін. Беттің бойынан
нүктесін алайық. Осы нүктеде
функциясы дифференциалданатын болсын.
Беттің
нүктесі арқылы өтетін барлық қисықтарға
жүргізілген жанамалардан тұратын
жазықтықты жанама
жазықтық
дейді. Оның теңдеуі
нүктесі арқылы өтетін және жанама жазықтыққа перпендикуляр болатын түзуді беттің нормалі (тіктемесі) дейді. Оның теңдеуі
Егер беті теңдеуімен берілсе, онда нүктесіндегі жанама жазықтықтың теңдеуі
ал нормалінің теңдеуі
118.
функциясының
нүктесіндегі жанама жазықтығының және
нормалінің теңдеуін жазу керек.
Шешуі.
нүктесінде
Осыдан,
жанама жазықтығының теңдеуі:
немесе
ал нормалінің теңдеуі
▲
119.
функциясының
нүктесіндегі жанама жазықтығының және
нормаль түзуінің теңдеулерін жазу
керек.
Шешуі.
Осыдан жанама жазықтығының теңдеуі:
немесе
ал нормаль түзуінің теңдеуі
▲
Берілген
беттердің
нүктелеріндегі жанама жазықтықтарының
және нормаль түзулерінің теңдеулерін
жазу керек:
120.
Ж:
121.
Ж:
122.
Ж:
123.
Ж:
124.
Ж:
125.
Ж:
126.
Ж:
127.
Ж:
1.4 Екі айнымалылы функцияның экстремумы
1. Екі
айнымалылы функцияның экстремумы. D
облысында анықталған
функциясы берілсін. Осы облыста жататын
нүктесінің маңайындағы барлық
нүктелерінде
теңсіздігі орындалса, онда
функциясы М0
нүктесінде максимум (минимум) мәнін
қабылдайды. "Максимум" және "минимум"
мәндері экстремум мәндері деп аталады.
Үш және одан көп айнымалылы функцияларының экстремумдары да осылайша анықталады.
Кез келген дифференциалданатын екі айнымалылы функция экстремум мәндерін тек оның барлық дербес туындылары нөлге тең болатын нүктелерінде ғана қабылдайды. Мұндай нүктелер стационарлық (тұрақты) нүктелер деп аталады. Мысалы, дифференциалданатын функциясының стационарлық нүктесі
жүйесін шешу арқылы анықталады. Бұл шарт функциясының экстремумының қажетті шарты делінеді. Стационарлық нүктелердің барлығы бірдей экстремум нүктелері бола бермейді. Сондықтан олардың әрқайсысы экстремум мәндерін қабылдауының жеткілікті шартын қанағаттандыру керек. нүктесі функциясының стационар нүктесі болсын.
деп белгілейік. Егер стационарлық нүктесінде:
а)
және
болса, онда М0
-
минимум
нүктесі,
және
болса, онда М0
- максимум нүктесі;
б)
болса, онда М0
нүктесінде экстремум болмайды;
в)
болса, онда М0
нүктесінде экстремум болуы да, болмауы
да мүмкін.
128.
функциясын экстремумге зерттеу керек.
Шешуі. Бірінші ретті дербес туындылары
болады, осыдан
теңдеулер
жүйесінің шешімі
нүктесіндегі екінші ретті дербес
туындылары
болады. Сонымен
Яғни
нүктесінде берілген функция минимум
мәнін қабылдайды және ол
болады.
▲
129.
функциясын экстремумге зерттеу керек
Шешуі.
теңдеулер
жүйесінің шешімі:
және
Екінші
ретті дербес туындысын табайық:
нүктесінде
Яғни
нүктесінде берілген функция минимум
мәнін қабылдайды және ол
тең болады.
нүктесінде
Яғни нүктесінде экстремум жоқ. ▲
Берілген функцияларды экстремумге зерттеу керек:
130.
Ж:
131.
Ж:
132.
Ж:
133.
Ж:
134.
Ж: Экстремум
жоқ.
135.
Ж:
2.
Шартты экстремум. Функцияның ең үлкен
және ең кіші мәндері.
функциясының шартты
экстремумы
деп осы функцияның, х
және у
айнымалыларының
теңдеуімен байланысты болған жағдайдағы
экстремум мәнін айтады. Мұндағы
теңдеуі байланыс
теңдеуі
деп аталады.
Шартты
экстремумды табу үшін Лагранж функциясы
деп аталатын
функциясының экстремумын табу жеткілікті,
мұндағы
-
анықталмаған тұрақты көбейткіш.
Лагранж функциясының экстремумының бар болуының қажетті шарты:
Осы үш теңдеуден тұратын жүйеден және мәндерін табуға болады.
D тұйық облысында функцияның ең үлкен М және ең кіші m мәндерін табу үшін:
а) D облысының ішінде жатқан барлық станционарлық нүктелерді тауып, осы нүктелердегі функцияның мәндерін есептеу керек (бұл нүктелерде экстремум мәндерінің болуы не болмауын тексерудің қажеті жоқ);
б) D облысының шекарасында функцияның ең үлкен және ең кіші мәндерін табу керек;
в) барлық табылған мәндердің ең кішісін (бұл ең кіші мән) және ең үлкенін (бұл ең үлкен мән) таңдап аламыз.
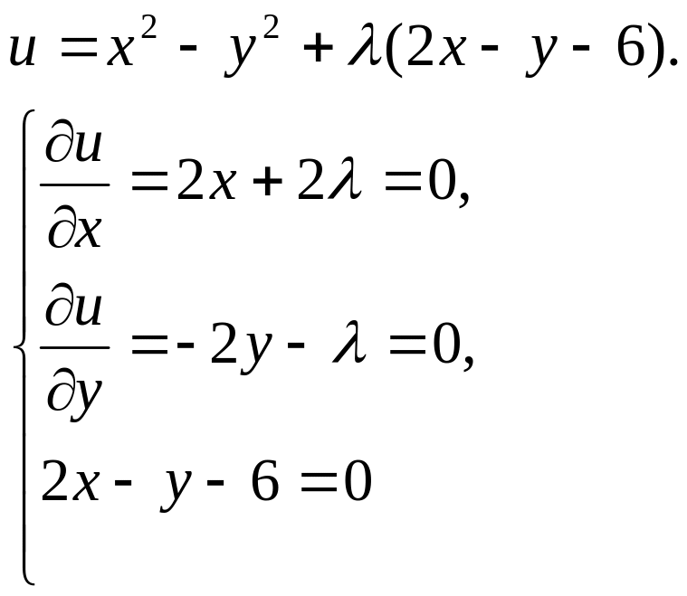
136.
функциясының байланыс теңдеуі
берілген жағдайдағы шартты экстремумын
табу керек.
Шешуі. Лагранж функциясын қарастырайық:
жүйесінен
мәндері табылады. Осыдан
нүктесінде
функциясы шартты максимум мәнін
қабылдайды және ол
болады. ▲
137.
функциясының
және
сызықтарымен шектелген тұйық
D облысындағы
(аймағындағы) ең үлкен және ең кіші
мәндерін табу керек.
Шешуі. Стационар (тұрақты) М нүктесін табайық.
Осы
жүйеден
нүктесі D
облысының ішінде жатыр (1.1 Сурет).
