- •Теплообменное оборудование компрессорных, холодильных, технологических установок и систем кондиционирования
- •Лабораторная работа № 1
- •1. Определение геометрических характеристик теплопередающих поверхностей теплообменных элементов и аппаратов
- •1.1. Порядок выполнения работы
- •1.2. Содержание отчета
- •Список рекомендуемой литературы
- •Лабораторная работа № 2
- •2. Исследование теплогидравлических характеристик теплопередающих поверхностей теплообменных аппаратов
- •2.1. Измерительные приборы
- •2.2. Методика определения теплогидравлических характеристик теплопередающих поверхностей теплообменных аппаратов
- •2.3. Порядок выполнения работы
- •2.4. Содержание отчета
- •3.1. Методика определения коэффициентов критериального уравнения c использованием средств matlab
- •3.2. Проверка адекватности полученных уравнений
- •3.3. Порядок выполнения работы
- •3.4. Содержание отчета
- •Список рекомендуемой литературы
- •Практическая работа № 1
- •4. Проведение проектного расчета теплообменного аппарата
- •4.1. Обобщенный алгоритм проектного расчета та
- •4.2. Порядок выполнения работы
- •4.3. Содержание отчета
- •4.4. Варианты индивидуальных заданий
- •Практическая работа № 2
- •5. Проведение поверочного расчета теплообменного аппарата
- •5.1. Обобщенный алгоритм поверочного расчета та
- •5.2. Порядок выполнения работы
- •5.3. Содержание отчета
- •Практическая работа № 3
- •6. Проведение поверочных расчетов теплообменных систем
- •6.1. Обобщенный алгоритм комбинированного метода расчета теплопередачи теплообменных систем
- •6.2. Порядок выполнения работы
- •Физические свойства воды на линии насыщения
- •Физические свойства тосола в зависимости от температуры
- •Физические свойства масла мк в зависимости от температуры
- •Критериальные уравнения для расчёта критерия Нуссельта
- •Расчётные зависимости для определения коэффициента гидравлических сопротивлений
- •Термическое сопротивление от загрязнений на поверхности теплообмена
- •Основные физические величины
- •Единицы измерения физических величин
5.3. Содержание отчета
1. Указать название и цель работы.
2. Привести рисунки рассчитываемых теплообменных аппаратов.
3. Привести расчет ТА в соответствии с пунктами обобщенного алгоритма поверочного расчета, указывая расчетную формулу в общем виде, затем формулу с расчетными значениями и результат.
Практическая работа № 3
6. Проведение поверочных расчетов теплообменных систем
Цель работы:
1. Изучение методики проведения поверочных расчетов теплообменных систем.
2. Проведение поверочного расчета теплообменной системы (ТС).
В основе классификации теплообменных систем КУ по топологии лежит анализ их схемных решений. Это находит выражение и при выделении состава теплообменных объектов, которое проводится по характеру схем тока и по числу потоков теплоносителей в этих объектах (внутреннее отражение) и при исследовании взаимодействия между ними (внешнее отражение). Авторы подобных классификаций выделяют по топологическому признаку теплообменные: элемент, пару элементов, ряд, комплекс, которые реализуют соответственно элементарные, последовательные и произвольные (регулярные и нерегулярные) схемы взаимодействия двух сред и в целом образуют топологическое понятие телообменник, а также теплообменную систему (ТС), представляющую собой систему теплообменников, обеспечивающую взаимодействие между тремя и более потоками теплоносителей [1,2].
Учитывая зависимость параметров основных потоков, поступающих в последующие охлаждаемые секции теплообменных аппаратов от входных параметров предыдущих секций и условий сжатия, а также единое значение их расхода, исследуемый теплообменный объект можно представить как теплообменную систему с единым основным потоком: без дополнительного подвода энергии и с дополнительным подводом энергии к потоку газа в ступени сжатия (повышение давления и температуры). Тогда к первой группе относятся ТС на базе одной из промежуточных или концевой охлаждаемых секций ТА, которые включают только теплообменники и определяются как однородные. Теплообменные системы второй группы, содержащие теплообменники и энергоподводящие элементы с образованием единого потока по отдающей среде могут рассматриваться как неоднородные. На рис. 6.1 и 6.2 представлены технологическая и структурная схемы однородной и неоднородной ТС (О,В – «отдающий» и «воспринимающий» потоки, Е – подвод энергии в ступени сжатия).
а) б)
Рис. 6.1. Технологическая (а) и структурная (б) схемы однородной ТС КУ
а) б)
Рис. 6.2. Технологическая (а) и структурная (б) схемы неоднородной ТС КУ
Взаимодействие теплообменников внутри секций, осуществляемое при помощи одного или нескольких потоков из внешних источников, определяет теплообменную систему как перекрестную и обусловливает возможность образования луппингов и рециклов (прямых и обратных переходов тепловоспринимающих потоков). Данные луппинги и рециклы можно охарактеризовать как секционные (рис. 6.3, 6.4).
а) б)
Рис. 6.3. Технологическая (а) и структурная (б) схемы однородной
ТС КУ с образованием секционного лупинга
а) б)
Рис. 6.4. Технологическая (а) и структурная (б) схемы однородной
ТС КУ с образованием секционного рецикла
Для отражения специфики рассматриваемых ТС КУ, предполагающих и охлаждение, и подогрев отдельных потоков (потоки сжатого газа после концевой ступени сжатия, потоки промежуточных теплоносителей), используем понятие обращенная ТС – под которой будем понимать систему с обращением концевого основного потока или (и) промежуточного теплоносителя, применяемых как в роли отдающей, так и в роли воспринимающей среды с возможностью их секционной или межсекционной (межступенчатой) организации (рис. 6.5, 6.6).
а) б)
Рис. 6.5. Технологическая (а) и структурная (б) схемы однородной
ТС КУ с образованием секционного обращения сжатого газа
а)
б)
Рис. 6.6. Технологическая (а) и структурная (б) схемы неоднородной
ТС КУ с образованием межсекционного обращения сжатого газа
и промежуточного теплоносителя
При расчете теплопередачи исследуемых теплообменных объектов сложной структуры применяется комбинированный метод в рамках совместно-последовательного подхода. На первом этапе по аналогии с иерархическим методом проводится выделение в исходной схеме рециркуляционных последовательностей. На втором этапе осуществляется анализ топологии полученных подсхем (в соответствии с классификациями) на предмет возможности проведения совместного (без разрыва потоков) их расчета. Для пригодных для совместного расчета подсхем (регулярные комплексы, а также подсхемы, сводимые к ним) расчет теплопередачи проводится по табличным значениям функции тепловой эффективности Ф теплообменных объектов различного уровня сложности (элементы, ряды, комплексы). Подсхемы, совместный расчет для которых невозможен (нерегулярные комплексы) не имеют табличных выражений для Ф, поэтому они рассчитываются иерархически (последовательно). Модель и метод расчета теплопередачи ТС могут быть получены как развитие на системном уровне обобщенной модели и метода расчета теплопередачи теплообменных комплексов произвольной структуры [2]. Они обеспечивают большую универсальность при исследовании и теплообменных комплексов, и теплообменных систем за счет включения дополнительных базовых элементарных схем, отражающих обращение основного потока.
Как и в случае с нерегулярными комплексами, большинство ТС ХТУ имеют схему взаимодействия сред, которую можно представить за некоторое количество шагов объединения в виде одной из четырех основных элементарных схем:
– перекрестная (рис. 6.7а);
– перекрестная, с образованием общего луппинга (рис. 6.7б);
– перекрестная, с образованием общего рецикла (рис. 6.7в);
– перекрестная, с общим обращением основного потока (рис. 6.7г).
Для каждой из этих элементарных схем, реализуя совместный подход расчета, можно аналитически определить конечные температуры сред по приведенным ниже зависимостям. Тогда общий расчет ТС ХТУ может быть представлен как последовательные расчеты элементарных схем в соответствии с условиями следования или вложения.
Если при анализе топологии, например представленной на рис. 6.8, выяснится невозможность сведения исходной схемы к совокупности элементарных, предусматривается использование последовательного подхода (иерархического метода) расчета теплопередачи ТС ХТУ.
На
рис. 6.9 изображена исходная схема ТС ХТУ
и ее поэтапное преобразование путем
объединения и вложения до одной из
элементарных схем. Как следует из рис.
6.9а теплообменники
и
образуют элементарный теплообменный
комплекс с общим противотоком, для
которого справедливо
.
Путем
объединения теплообменников 3 и 4
переходим к схеме, отраженной на рис.
6.9б. На данной схеме теплообменники
образуют элементарную схему ТС с общим
луппингом. После объединения отмеченных
теплообменников [
,
где
определяется по выражению (6.2)] исходная
схема ТС ХТУ сводится к элементарной
схеме с общим обращением основного
потока (рис. 6.6в).
Расчет элементарных схем ТС ХТУ для произвольного количества элементов может быть проведен в соответствии с выражениями (6.1)–(6.4).
а) б)
в) г)
Рис. 6.7. Элементарные теплообменные системы
Рис. 6.8. Несводимая теплообменная система
а)
б) в)
Рис. 6.9. Этапы сведения ТС к совокупности элементарных.
Для элементарной перекрестной схемы (рис. 6.7а):
(6.1)
где
,
– начальная и конечная температура
отдающей среды ТС,
,
– начальная и конечная температуры
воспринимающей среды,
– функция водяных эквивалентов, Ф
– функция тепловой эффективности, j,
i
– номера элементов структурной схемы.
Для элементарной схемы с общим луппингом (рис. 6.7б):
(6.2)
Для элементарной схемы с общим рециклом (рис. 6.7в):
(6.3)
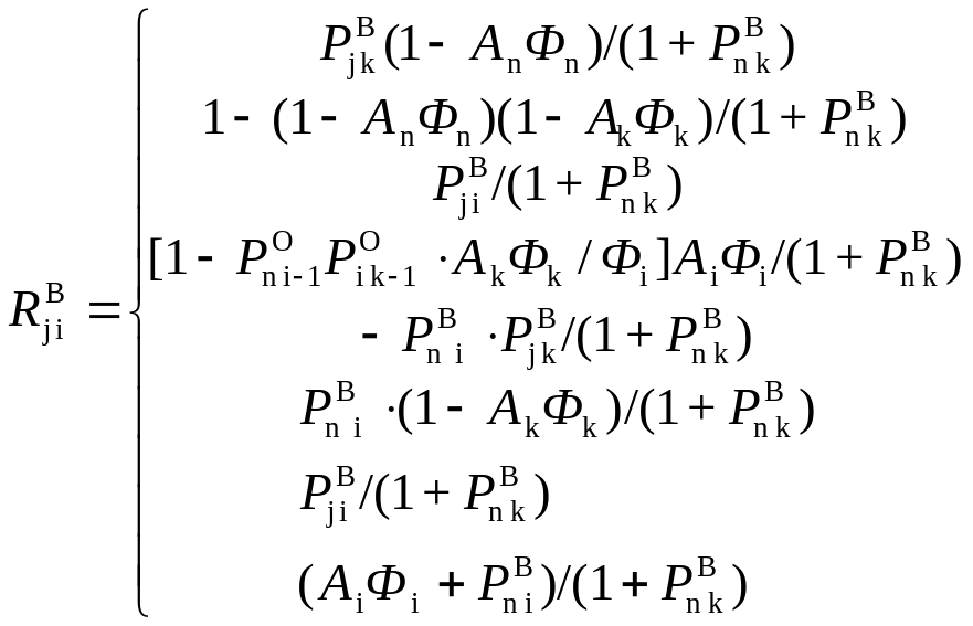
Для схемы с общим обращением основного потока (рис. 6.7г):
(6.4)
Тогда для тепловой эффективности произвольной ТС получим [1]
,
(6.5)
где
– функция тепловой эффективности ТС
одной из элементарных или произвольной
схемы, приведенная к j-му
элементу схемы,
– алгоритмический оператор, определяющий
порядок расчета произвольной ТС в
соответствии с правилами следования и
вложения.
