- •1/ Экономика как сфера жизнедеятельности общества
- •3/ Экономическая теория.
- •3/Экономическая теория, прогнозы и политика. Основные экономические цели общества
- •4/ Основные научные школы и современные направления развития экономической теории
- •5/ Экономика как наука при изучении своего предмета использует следующие методы (метод – это путь, способ).
- •7/ Экономические ресурсы (факторы) производства, их характеристика и классификация
- •8/ Экономические блага: классификация, основные характеристики. Редкость экономических благ
- •9/ Фундаментальные вопросы экономического развития общества и проблема выбора в экономике
- •10/ Экономическая эффективность, ее показатели и взаимосвязь с социальной эффективностью
- •11/Спрос.Закон спроса.Величина спроса.Неценовые факторы спроса
- •12/ Предложение.Закон предложения.
- •13/Эластичность спроса
- •15/ Полезность и рациональный потребитель. Общая и предельная полезность. Закон убывающей предельной полезности. Принцип максимизации полезности.
- •16/ Предпочтения потребителя и кривые безразличия. Предельная норма замещения и ее экономический смысл.
- •19/Понятие фирмы: ее признаки и функции
- •20/Факторы производства
- •21/Изокванта, предельная норма технологического замещения одного фактора производства другим.
- •22/ Продукт как результат производства фирмы. Общий, средний и предельный продукт фирмы
- •23/ Краткосрочный и долгосрочный периоды функционирования фирмы
- •24/ Издержки.
- •25/ Издержки производства в краткосрочном периоде
- •26/ Издержки производства в долгосрочном периоде
- •27/ Общий, средний и предельный доход фирмы.
- •28/ Максимизация прибыли
- •2 Совершенная конкуренция
- •29/ Особенности функционирования рынков фактора производства
- •33/ Прибыль как предпринимательский доход
- •34/) Национальная экономика
- •35/Валовой внутренний продукт
- •36/ Номинальный и реальный ввп. Дефлятор.
- •37/ Национальное богатство.
- •38/)Макроэкономическая нестабильность
- •40/ Безработица
- •42/ Безработица в рб: причины, особенности, динамика
- •43/Понятие совокупного спроса (ad). Элементы совокупного спроса.
- •44/Совокупное предложение.
- •45/ Краткосрочное и долгосрочное равновесие
- •46/ Компоненты совокупного спроса в кейнсианской модели
- •47/ Потребление. Кейнсианская функция потребления. Автономное потребление. Средняя и предельная склонность к потреблению.
- •1.2 Сбережения. Кейнсианская функция сбережения. Средняя и предельная склонности к сбережению.
- •48/ Инвестиции. Инвестиции и доход. Функция инвестиций.
- •49/ Равновесный объем производства в кейнсианской макроэкономической модели. Изменение равновесия и эффект мультипликатора
- •50/ Равновесие и ввп в условиях полной занятости
- •51/ Взаимосвязь модели ad-as и кейнсианской модели совокупных доходов и совокупных расходов
- •52/ Понятие финансов. Финансовая система и ее элементы.
- •53/ Экономическая сущность и функции государственного бюджета
- •54/)Налогообложение
- •55/Понятие, цели и инструменты фискальной политики
- •56/Бюджетный дефицит и государственный долг
- •57/ Спрос на деньги
- •58/Предложение денег
- •59/Денежный рынок. Равновесие денежного рынка .
- •60/Денежно Кредитная Система
29/ Особенности функционирования рынков фактора производства
Для производства товаров и услуг фирмы должны приобретать различные ресурсы. На рынках ресурсов покупателями являются фирмы, а продавцами - фирмы и домохозяйства. Домохозяйства продают фирмам, принадлежащие им первичные производственные ресурсы: труд, землю и капитал. Фирмы продают друг другу товары /лес, металл зерно и т.п./, необходимые для производства других товаров. Такие товары называются промежуточными. Рынки ресурсов являются неотъемлемой частью кругооборота товаров и услуг. От эффективности работы рынков ресурсов зависит оптимальность использования самих ресурсов, устойчивость всей экономики.
В основе функционирования рынков ресурсов лежат те же принципы, что и в основе рынков конечных товаров.
Любая фирма выходит на различные виды рынков:
I/ на рынки потребительских товаров и услуг и
2/ на рынки факторов производства. Эти рынки взаимосвязаны друг с другом и зависят друг от друга. На рынке товаров и услуг фирма выступает в качестве продавца товаров, который стремится продать свои товары, как можно дороже. Продавцы со своими товарами на рынке формируют предложение. При низкой цене продавцов на рынке мало, ибо в этих условиях невозможно получить большой доход. Высокая цена, наоборот, заставляет фирму увеличить свое производство, и на рынке появляются новые продавци.
На рынке факторов производства фирма выступает в качестве покупателя, носителя спроса. Как покупатель фирма заинтересована дешевле купить факторы производства. При низкой цене на факторы производства наблюдается высокий спрос и соответственно осуществляется большее количество продаж.
^ Особенности спроса на факторы производства
В отличие от спроса на обычные потребительские товары индивидуального назначения /т.е. на продукты конечного потребления/, спрос на фактор производства имеет свою специфику.
Особенность спроса на любые факторы производства состоит в том, что он имеет производный, вторичный характер по сравнению со спросом на конечные потребительские блага. Производный характер спроса на факторы производства объясняется тем, что потребность в них возникает лишь в том случае, если с их помощью могут быть произведены пользующиеся спросом конечные потребительские блага /т.е. товары или услуги обычного потребительского назначения/.
Спрос на любой фактор производства может возрастать или снижаться в зависимости от того, возрастает или снижается спрос на потребительские товары, изготовленные с помощью данного фактора производства.
Спрос на факторы производства предъявляют лишь предприниматели, т.е. та часть общества, которая способна организовать и осуществить выпуск товаров и услуг, необходимых для конечного потребления. Предприниматель стремится обнаружить возможности получения дохода не замеченные конкурентами. Рынки факторов производства сообщают предпринимателям информацию о ценах, технико-экономических характеристиках товаров, уровне издержек производства, объемах предложения и т.д.
Для организации производственного процесса требуются многие факторы производства: труд, земля, техника, сырье, энергия. Все они могут быть взаимодополняемыми и взаимозаменяемыми. Природные ресурсы могут быть заменены искусственными, труд может частично быть заменен техникой и, наоборот
Однако и труд, и техника, и сырье сопряжены, взаимодополняемы лишь в едином производственном процессе. В отдельности каждый из них бесполезен. Но при всех прочих равных условиях изменение цен на одни из этих факторов вызывает изменение количества не только этого, но и сопряженных с ним факторов производства. Например, более высокая заработная плата и относительно низкая цена на технику способны вызвать снижение спроса на труд и повышение его на машины и оборудование, заменяющие рабочую силу, и наоборот.
Следовательно, спрос на факторы производства - это взаимозависимый процесс, где объем каждого привлекаемого в производство ресурса зависит от уровня цен не только на каждый из них, но и на все отдельные сопряженные с ними ресурсы и факторы. Рынок дает информацию о движении цен на каждый из них. Цена - это одно из важнейших условий изменения эластичности спроса по каждому фактору производства. Спрос более эластичен на те факторы, которые при прочих равных условиях имеют более низкую цену. Это позволяет осуществлять взаимозамещение, вытеснять дорогостоящие факторы производства, снижать издержки производства. Высокие рыночные цены вызывают снижение спроса и переключение его на альтернативные факторы производства, имеющие относительно низкие цены.
Эластичность спроса по каждому конкретному фактору производства может изменяться в зависимости от следующих причин:
I/ от уровня доходов фирмы и спроса на выпускаемую ей продукцию;
2/ от возможностей взаимозамещения применяемых в производстве факторов и ресурсов;
З/ от наличия рынков взаимозаменяемых и взаимодополняемых факторов производства по приемлемым ценам;
4/ от стремления к новациям и т.д.
Считается, что ресурсы используются эффективно, когда невозможно за счет иного их применения улучшить благосостояние хотя бы одного хозяйства, не ухудшив при этом состояния других хозяйств .Понятие Парето- оптимальности полезно расчленить на ряд составляющих или, иначе говоря, установить необходимые условия (признаки) Парето- оптимального
состояния экономики. Их три: эффективность в распределении благ между потребителями (эффективность в обмене), эффективность в производстве и
эффективность в структуре выпуска продукции. Эффективность производства достигается тогда, когда невозможно перестроить использование ресурсов таким образом, чтобы увеличить выпуск одного то-
в ара без уменьшения выпуска другого. Распределение ресурсов эффективно, когда объем продукции, выпускаемой за определенный период, распределяется таким образом, что становится невозможным улучшить положение кого-либо без нанесения ущерба кому-то другому. Тот факт, что общее конкурентное равновесие и Парето- оптимальность предполагают выполнение одних и тех же условий, означает, что между ними существует тесная взаимосвязь, которая обобщается в двух основных теоремах теории общественного благосостояния. Первая теорема теории общественного благосостояния утверждает, что в состоянии общего равновесия размещение экономических ресурсов Парето -оптимально ..Парето- оптимальное распределение ресурсов требует, чтобы соотношения цен соответствовали соотношениям предельных затрат производства благ
(15)Это по существу значит, что относительные цены благ должны быть столь же высоки (низки), сколь высоки (низки) предельные затраты их производства. В противном случае экономические агенты получают искаженные сигналы об относительной ограниченности товаров и производственных ресурсов .Вторая основная теорема теории общественного благосостояния утверждает: при
условии, что все кривые безразличия и изокванты выпуклы относительно начала координат, для любого Парето - эффективного распределения ресурсов существует система цен, обеспечивающая экономическое равновесие .Едва ли не важнейшим следствием второй основной теоремы общественного благосостояния является возможность разделения двух важнейших проблем экономики – эффективного использования ограниченных ресурсов и распределения благосостояния между индивидами, которые могут быть решены независимо одна от другой. В условиях совершенной конкуренции обе проблемы решаются посредством системы рыночных цен. Их аллок ативная роль состоит в том, что цены характеризуют степень ограниченности (дефицитности) благ и факторов производства, а распределительная – в том, что они определяют покупательную способность экономических субъектов.
30/ Рынок труда – это совокупность сделок купли – продажи рабочей силы. Он является ресурсным рынком. В качестве основных субъектов купли – продажи выступают работодатель (покупатель труда) и собственник рабочей силы (продавец труда). Объектом рыночной сделки является право использования единицы труда (рабочей силы) определенного качества при определенных условиях в определенный отрезок времени. Цена труда на рынке выступает в форме ставки заработной платы, указываемой в контракте, заключаемом между работодателем и нанимающимся на работу. Рыночная цена труда формируется в зависимости от соотношения спроса и предложения на рынке труда. В результате фактическая цена труда отражает равновесную ставку заработной платы.
Рынок труда характеризуется рядом отличительных особенностей по сравнению с другими ресурсными рынками. Эти особенности оказывают влияние на его функционирование.
1) Первая, и самая важная особенность состоит в неотделимости права собственности на товар рабочая сила (труд) от его владельца.
2) Вторая особенность заключается в большой, как правило, продолжительности контакта продавца и покупателя. Сделка, совершаемая на рынке труда, предполагает начало длительных отношений между продавцом и покупателем.
3) Наличие и действие неденежных аспектов сделки, к которым относятся условия труда, микроклимат в коллективе, перспективы продвижения по службе и профессионального роста и др.
4) Наличие большого числа институциональных структур особого рода, к числу которых относятся:
- система трудового законодательства;
- различные учреждения и службы регулирования занятости;
- государственные программы в области труда и занятости
5) Наконец, рынок труда характеризуется высокой степенью индивидуализации сделок.
Сделки отличаются разнообразием, поскольку каждый работник в своем роде уникален, а каждое рабочее место в той или иной мере отличается от другого и предъявляет к претендентам свои специфические требования.
Спрос и предложение на рынке труда — спрос и предложение на рабочую силу, формирующиеся на рынке труда.
Спрос на труд (Denand for labor), субъктами которого выступают бизнес и государство, находится в обратной зависимости от величины заработной платы. В случае повышения заработной платы, работодатель будет вынужден сокращать количество нанимаемых им работников (спрос на труд сократиться), а в случае снижения заработной платы он сможет нанять дополнительных работников (спрос на труд возрастет). Данная зависимость между величиной заработной платы и спросом на труд выражается в кривой спроса на труд.
Кривая спроса на труд
Данный график иллюстрирует зависимость между величиной заработной платы (W) и величиной спроса на труд (L). Каждая точка на кривой DL показывает, какой будет величина спроса на труд при определенном уровне заработной платы. Отрицательный наклон кривой иллюстрирует тенденцию увеличения спроса на труд при низкой заработной плате и, соответственно, уменьшение спроса на труд при высокой заработной плате.
Факторы, определяющие спрос на труд:
Заработная плата. При прочих равных условиях зависимость между объемом спроса на услуги труда и его ценой является обратной.
Спрос на конечную продукцию. Чем выше спрос на конечный продукт, тем выше и спрос на труд.
Взаимозаменяемость факторов производства. Если цена на труд высока, то он будет замещаться более дешевыми факторами производства.
Уровень квалификации работников. Уровень квалификации, при прочих равных условиях, предполагает более высокую предельную производительность, что приводит к замещению трудом менее доходных факторов производства.
Предельная доходность труда. На рынке совершенной конкуренции объем спроса на труд будет увеличиваться до тех пор, пока предельный доход от использования фактора труда не будет равен издержкам, т.е. заработной плате (MRPL = W)
Предложение труда (Supply of labor), субъектами которого выступают домашние хозяйства, находится в прямой зависимости от величины заработной платы. В случае увеличения заработной платы продавцы услуг труда (иными словами, наемные работники) будут увеличивать предложение труда, а в случае снижения заработной платы предложение труда сократится. Данную зависимость иллюстрирует кривая предложения труда.
Кривая предложения труда
Данный график иллюстрирует зависимость между величиной заработной платы (W) и величиной предложения труда (L). Каждая точка на кривой предложения труда (SL) показывает, какой будет величина предложения труда при определенном уровне заработной платы.
Факторы, определяющие предложение труда:
Величина реальной заработной платы. Зависимость между реальной заработной платы и объемом предложения труда является прямой (чем выше заработная плата, тем больше предложение труда).
Стратегия нанимаемого. Работник инвестирует время и деньги в повышении собственных производственных возможностей путем получения образования.
Время. Человек стоит перед альтернативой распределения времени суток: если он будет больше отдыхать, то меньше останется времени для работы. Он находится под воздействием двух эффектов, присущих также для рынков товаров и услуг, — эффекта замещения и эффекта дохода. Эффект замещения означает вытеснение свободного времени временем труда. Эффект дохода проявляется в падении предложения труда с ростом заработной платы. Т.е. при достижении работником определенного уровня дохода и материального благополучия, он все большее время уделяет для отдыха и другого времяпрепровождения. При этом им учитывается упущенный заработок, который мог бы быть при отказе от досуга.
Кривая предложения труда под действием эффектов замещения и дохода
На графике проиллюстрирована кривая предложения, которая немного отличается своей конфигурацией. Все дело в эффектах замещения и дохода. Первоначально кривая предложения как и полагается имеет положительный наклон и движется от оси ординат. Т.е. при росте заработной платы увеличивается и предложение. Причем, при возросшей заработной плате, каждый час отработанного времени ценится работником больше, а час свободного времени, воспринимается им как упущенная выгода. Поэтому свободное время замещается рабочим временем. Данный эффект замещения на графике проявляется на кривой SL до точки M. Заработная плата, достигнув своего возможного максимума в точке M, приводит к сокращению предложения труда. Это происходит под воздействием эффекта дохода. Т.е. при повышении заработной платы и достижении ее определенного максимума, у работника наступает высокий уровень благосостояния. Он начинает больше времени уделять своему досугу, ведь доход теперь достаточно высокий и не обязательно все время уделять рабочему процессу.
Монопсония (греч. μόνος — один, ὀψωνία — покупка) — ситуация на рынке, когда единственный покупатель взаимодействует с множеством продавцов[1], диктуя им цену и объём продаж.[1]
Примером монопсонии является рынок труда, на котором множество работников, и только одно предприятие — покупатель рабочей силы.
Монопсония возникает при следующих условиях:
на рынке труда взаимодействуют, с одной стороны, значительное количество квалифицированных рабочих, не объединенных в профсоюз, а с другой — либо одна крупная фирма-монопсонист, либо несколько фирм, объединенных в одну группу и выступающих как единый наниматель труда;
данная фирма (группа фирм) нанимает основную часть из суммарного количества специалистов какой-то профессии;
этот вид труда не имеет высокой мобильности (например, из-за социальных условий, географической разобщенности, необходимости приобрести новую специальность и т. п.);
фирма-монопсонист сама устанавливает ставку заработной платы, а рабочие либо вынуждены соглашаться с такой ставкой, либо искать другую работу.
Рынок труда с элементами монопсонии не является редкостью. Особенно часто подобные ситуации складываются в небольших городах, где действует только одна крупная фирма — наниматель труда.
При совершенном конкурентном рынке труда предприниматели имеют широкий выбор специалистов, мобильность труда абсолютна, любая фирма нанимает труд по неизменной цене, а кривая предложения труда в отрасли отражает предельные издержки на наем ресурса — труда. В условиях же монопсонии сама фирма-монопсонист олицетворяет собой отрасль, поэтому кривые предложения труда для фирмы и отрасли совпадают. Но для отдельной фирмы-монопсониста кривая предложения труда показывает не предельные, а средние величины издержек на наем труда, для монопсониста кривая предложения труда является кривой средних издержек (ARC), а не предельных.
Применительно к биржам монопсония может быть также ложной, например, когда при высокой цене большинство покупателей не включается в торги.
Заработная плата (оплата труда работника) — вознаграждение за труд в зависимости от квалификации работника, сложности, количества, качества и условий выполняемой работы, а также компенсационные выплаты и стимулирующие выплаты. (ст.129 ТК РФ) Заработная плата (разг. зарплата) — денежная компенсация (об ином виде компенсаций практически неизвестно), которую работник получает в обмен за свой труд.
Номинальная заработная плата есть заработная плата, выраженная в деньгах; это сумма денег, которую получает рабочий за проданную капиталисту рабочую силу.
Номинальная заработная плата сама по себе не даёт представления о фактическом уровне оплаты рабочего. Например, номинальная заработная плата может остаться без изменения, но если в то же время цены на предметы потребления и налоги возрастут, фактическая заработная плата рабочего понизится. Номинальная заработная плата может даже возрасти, но если дороговизна жизни за тот же период времени повысится в большей степени, чем возросла номинальная заработная плата, то фактическая заработная плата снизится.
Реальная заработная плата есть заработная плата, выраженная в средствах существования рабочего; она показывает, сколько, и каких предметов потребления и услуг может купить рабочий на свою денежную заработную плату. Чтобы определить реальную заработную плату рабочего, необходимо учитывать величину номинальной заработной платы, уровень цен на предметы потребления, высоту квартирной платы, тяжесть налогов, уплачиваемых рабочим, продолжительность рабочего дня, степень интенсивности труда, наличие неоплачиваемых дней при сокращённой рабочей неделе, количество безработных и полубезработных, которые содержатся за счёт рабочего класса.
31/ Рынок капиталов (рынок капитала) — часть финансового рынка, на котором обращаются длинные деньги, то есть денежные средства со сроком обращения более года. На рынке капиталов происходит перераспределение свободных капиталов и их инвестирование в различные доходные финансовые активы.
Формы обращения денежных средств (финансовых ресурсов) на рынке капиталов могут быть различными:
банковские займы (ссуды);
акции;
облигации;
финансовые деривативы;
ноты и закладные.
Ссудный процент - это плата, получаемая кредитором от заемщика за пользование ссуженными деньгами или материальными ценностями. Еще в древности, за два тысячелетия до нашей эры, были известны многочисленные виды натуральных ссуд с уплатой процента в натуральной форме - скотом, зерном и т. д. В условиях выдачи денежных ссуд процент соответственно уплачивается в денежной форме.
Уплата процента есть передача части прибыли, получаемой заемщиком, кредитору. Ее источником является доход, созданный в процессе производительного использования ссудного капитала. Кредитор, передавая часть своего капитала заемщику, сам лишается возможности получить собственную прибыль за время кредитной сделки, поэтому заемщик должен платить за полученные в кредит заемные средства. Деньги, ссужаемые на время, должны вернуться с приращением. Этот прирост, поступающий к собственнику капитала, и называется процентом.
Ссудный процент - это доход, получаемый собственником капитала в результате использования его денежных средств в течение определенного времени. Следовательно, он выступает в качестве цены ссуды. Можно утверждать, что ставка процента - это цена кредита. В этом качестве она уплачивается собственнику капитала.
Процентная ставка - это относительная величина процентных платежей на ссудный капитал за определенный период времени (обычно за год). Рассчитывается как отношение абсолютной суммы процентных платежей за год к величине ссудного капитала.
Различают номинальную и реальную ставки процента. Когда говорят о процентных ставках, то имеют ввиду реальные процентные ставки. Однако реальные ставки не могут быть непосредственно наблюдаемы. Заключая кредитный договор, мы получаем информацию о номинальных процентных ставках. Номинальная процентная ставка - это процент в денежном выражении. Например, если по годовой ссуде в 10000 руб., выплачивается 1200 рублей в качестве процента, то номинальная процентная ставка составит 12% годовых. Получив по ссуде доход 1200 руб., станет ли кредитор богаче? Это будет зависеть от того, как в течение года изменились цены. Если годовая инфляция составила 8%, то реально доход кредитора увеличился только на 4% . Реальная процентная ставка - это увеличение реального богатства, выраженное в приросте покупательной способности инвестора или кредитора, или обменный курс, по которому сегодняшние товары и услуги, реальные блага, обмениваются на будущие товары и услуги. То что, рыночная норма процента испытает непосредственное влияние инфляционных процессов первым предположил И.Фишер Фишер (Fisher) Ирвинг (1867-1947), американский экономист. Труды в области теории денежного обращения и кредита., который определял номинальную ставку процента и ожидаемого темпа инфляции.
Взаимосвязь между ставками может быть представлена следующим выражением:
i=r+e, (1)
где i - номинальная, или рыночная, ставка процента;
r - реальная ставка процента;
е - темп инфляции.
Только в особых случаях, когда на денежном рынке нет повышения цен (е=0), реальная и номинальная процентные ставки совпадают. Уравнение (2) показывает, что номинальная процентная ставка может изменяться вследствие изменений реальной процентной ставки процента или вследствие изменения инфляции.Так как заемщик и кредитор не знают, какие темпы примет инфляция, то они исходят из ожидаемых темпов инфляции. Уравнение обретает вид:
i=r+eе, (3)
где eе - ожидаемый темп инфляции.
Уравнение (3) известно, как эффект Фишера. Его суть в том, что номинальная процентная ставка определяется не фактическим темпом инфляции, так как он не известен, а ожидаемым темпом инфляции. Динамика же номинальной процентной ставки повторяет движение ожидаемого темпа инфляции. Необходимо подчеркнуть, что при формировании рыночной ставки процента имеет значение именно ожидаемый темп инфляции в будущем с учетом срока погашения долгового обязательства, а не фактическая ставка инфляции в прошлом.
Инвести́ции — долгосрочные вложения капитала с целью получения прибыли[1][2]. Инвестиции являются неотъемлемой частью современной экономики. От кредитов инвестиции отличаются степенью риска для инвестора (кредитора) — кредит и проценты необходимо возвращать в оговорённые сроки независимо от прибыльности проекта, инвестиции возвращаются и приносят доход только в прибыльных проектах. Если проект убыточен — инвестиции могут быть утрачены полностью или частично.
Дисконтированный срок окупаемости
Срок окупаемости с дисконтированием – ТОК (период возврата инвестиций РР, в нем. литературе – период динамической амортизации ТД).
Под сроком окупаемости с дисконтированием понимают продолжительность периода, в течение которого сумма чистых доходов, дисконтированных на момент завершения инвестиций, равна сумме наращенных инвестиций.
(4)
В принципе, срок окупаемости – наименьшее значение горизонта расчета, при котором чистый дисконтированный доход становится и в дальнейшем остается неотрицательным.
При разных значениях нормы дисконта срок окупаемости будет различным. Если при определении срока окупаемости принимают Е=0, то говорят о сроке окупаемости без дисконта.
Дисконтированный срок окупаемости не что иное как «точка безубыточности инвестиционного проекта». Если инвестиционный проект генерирует положительные денежные потоки после этой «точки окупаемости», чистый дисконтированный доход проекта положителен. Дисконтированный период окупаемости можно использовать для принятия или отклонения решений по независимым инвестициям, так как любой инвестиционный проект с жизненным циклом не меньше дисконтированного периода окупаемости по крайней мере обеспечивает окупаемость инвестиций.
Дисконтированный период окупаемости является дополнительным показателем к тем, которые были рассмотрены выше. По этому показателю инвестор видит, за какой срок он может получить назад капитал, включая проценты.
Достоинства периода окупаемости с дисконтированием:
Не зависит от величины горизонта расчета, задание которой часто включает некоторый элемент произвола;
Позволяет давать оценки (хотя и грубые) о ликвидности и рискованности инвестиционного проекта.
Недостатки периода окупаемости с дисконтированием:
Не учитывает весь период функционирования инвестиций и, следовательно, на него не влияет отдача, лежащая за пределами периода окупаемости;
Не обладает свойством аддитивности;
Не оценивает прибыльность инвестиций.
Последнее время высказывается мнение о том, что период окупаемости с дисконтированием должен служить не критерием выбора, а использоваться лишь в виде ограничения при принятии решения. Если срок окупаемости проектов больше, чем принятое ограничение, то они исключаются из списка возможных инвестиционных проектов.
Ситуации, при которых применение периода окупаемости целесообразно:
когда инвестору важнее ликвидность, а не прибыльность проекта (главное, чтобы инвестиции окупились, и как можно скорее);
когда инвестиции сопряжены с высокой степенью рискованности, а чем короче срок окупаемости, тем менее рискованным является проект (например, в производствах с быстрыми технологическими изменениями).
Срок окупаемости отражает скорее ликвидность, чем возрастание «ценности фирмы». Использование этого показателя обеспечивает отбор менее рискованных проектов, но не отражает всех видов рисков.
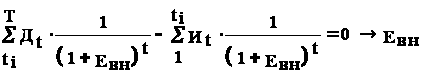
Внутренняя норма доходности
Внутренняя норма доходности (ВНД) – это норма дисконта ЕВН, при которой величина дисконтированных доходов от инвестиционного проекта равна дисконтированной стоимости инвестиций, то есть NPV = 0 и инвестиции являются окупаемой операцией. Это означает, что предполагается полная капитализация полученных чистых доходов, т.е. все образующиеся свободные денежные средства должны быть реинвестированы либо направлены на погашение внешней задолженности. ВНД, по существу, уровень окупаемости инвестиций (рис.6.3).
ВНД определяется из решения следующего уравнения:
(5)
Если NPV дает ответ на вопрос, является ли инвестиционный проект эффективным при некоторой заданной норме дисконта Е, то ВНД определяется в процессе расчета и затем сравнивается с требуемой инвестором нормой дохода на вкладываемый капитал. Если индекс доходности показывает уровень эффективности при одном ограничении – при принятой норме дисконта, то ВНД лишена этого ограничения.
Существует ряд трактовок понятия ВНД . С одной стороны, показатель ВНД определяет максимальную ставку платы за привлеченные источники финансирования, при которой проект остается безубыточным. ВНД равняется максимальному проценту за кредит, который может выплатить вместе с процентами за срок, равный горизонту расчета, при условии, что весь проект осуществляется только за счет этого кредита (без собственных средств). С другой стороны, его можно рассматривать как минимальный гарантированный уровень прибыльности инвестиционных затрат. Если ВНД превышает среднюю стоимость капитала в данной отрасли с учетом инвестиционного риска конкретного проекта, то этот проект может быть рекомендован к реализации.
ВНД показывает максимальный уровень затрат, который может быть ассоциирован с данным проектом, то есть если цена капитала, привлекаемого для финансирования проекта, больше ВНД, то проект может быть выполнен только в убыток, а, следовательно, его надо отвергнуть.
Область использования ВНД.
Критерий оценки инвестиционного проекта:
для альтернативных инвестиционных проектов – чем выше ВНД, тем больше эффективность инвестиций (выбирается вариант с максимальным ВНД);
для одного инвестиционного проекта:
собственные инвестиции ЕВН > Е;
заемные инвестиции ЕВН > i – инвестиции эффективны (ЕВН – i – доход предпринимателя);
ЕВН = i – доходы только окупят инвестиции;
ЕВН < i – инвестиции убыточны.
Ранжирование инвестиционных проектов при условии их сопоставимости ® max. Проекты с максимальной величиной ВНД более привлекательны, так как потенциально способны выдерживать большие нагрузки на инвестированный капитал, связанные с возможным повышением его стоимости.
Индикатор степени риска (оценка устойчивости проекта): чем больше ВНД превышает принятую норму дисконта (чем больше разность ВНД – Е), тем больше «запас прочности проекта». Проекты с максимальной величиной ВНД более привлекательны, то есть потенциально способны выдерживать большие нагрузки на инвестированный капитал, связанные с возможным повышением его стоимости.
ВНД является индивидуальным показателем конкретного проекта, представленного не только данной суммой затрат, но и потоком доходов, индивидуальным по величине члена потока и очередности их возникновения
Достоинства метода внутренней нормы доходности:
Показатель относительный;
Не зависит от нормы дисконта Е;
Нацелен на увеличение доходов инвесторов.
Недостатки метода внутренней нормы доходности:
Показывает лишь максимальный уровень затрат, который может быть ассоциирован с оцениваемым инвестиционным проектом (например, если ВНД двух проектов больше цены привлекаемых источников инвестиций, то выбор лучшего варианта по критерию ВНД невозможен);
Неаддитивен, характеризует только конкретный проект, сложно использовать для оценки инвестиционного портфеля;
Для нетрадиционных денежных потоков может иметь несколько значений;
Поскольку показатель относительный, не позволяет определить «вклад» проекта в изменение капитала предприятия;
Расчет ВНД исходит из предположения, что свободные денежные потоки реинвестируются по ставке, равной ВНД (практически такого быть не может);
Сложность расчетов.
Чистая приведённая стоимость (чистая текущая стоимость, чистый дисконтированный доход, англ. Net present value, принятое в международной практике анализа инвестиционных проектов сокращение — NPV или ЧДД) — это сумма дисконтированных значений потока платежей, приведённых к сегодняшнему дню. Показатель NPV представляет собой разницу между всеми денежными притоками и оттоками, приведенными к текущему моменту времени (моменту оценки инвестиционного проекта). Он показывает величину денежных средств, которую инвестор ожидает получить от проекта, после того, как денежные притоки окупят его первоначальные инвестиционные затраты и периодические денежные оттоки, связанные с осуществлением проекта. Поскольку денежные платежи оцениваются с учётом их временной стоимости и рисков, NPV можно интерпретировать как стоимость, добавляемую проектом. Ее также можно интерпретировать как общую прибыль инвестора. В пользу такой интерпретации говорит то, что отношение NPV к совокупной величине дисконтированных инвестиционных затрат называется Индекс прибыльности (англ. Profitability Index или сокращенно PI).
Иначе
говоря, для потока платежей CF (Cash Flow),
где
— платёж через
лет (
)и начальной инвестиции IC (Invested Capital) в
размере
чистый дисконтированный доход
рассчитывается по формуле:
,
где
— ставка дисконтирования.
В обобщенном варианте, инвестиции также должны дисконтироваться, так как в реальных проектах они осуществляются не одномоментно (в нулевом периоде), а растягиваются на несколько периодов. Расчёт ЧДД — стандартный метод оценки эффективности инвестиционного проекта и показывает оценку эффекта от инвестиции, приведённую к настоящему моменту времени с учётом разной временно́й стоимости денег. Если ЧДД больше 0, то инвестиция экономически эффективна, а если ЧДД меньше 0, то инвестиция экономически невыгодна (то есть альтернативный проект, доходность которого принята в качестве ставки дисконтирования требует меньших инвестиций для получения аналогичного потока доходов).
С помощью ЧДД можно также оценивать сравнительную эффективность альтернативных вложений (при одинаковых начальных вложениях более выгоден проект с наибольшим ЧДД). Но все же для сравнительного анализа более применимыми являются относительные показатели. Применительно к анализу инвестиционных проектов таким показателем является внутренняя норма доходности.
В отличие от показателя дисконтированной стоимости при расчете чистого дисконтированного дохода учитывается начальная инвестиция. Поэтому формула чистого дисконтированного дохода отличается от формулы дисконтированной стоимости на величину начальной инвестиции .
32/ Рынок земли.Подобно физическому капиталу земля может сдаваться в аренду. Арендатор приобретает при этом на определенный срок услуги земли, платя владельцу земли арендную плату. Последняя и выступает в качестве цены услуги земли.
Размер арендной платы определяется под воздействием спроса на услуги земли со стороны арендаторов (DT) и их предложения со стороны арендодателей (ST). Спрос на земельные услуги, по аналогии со спросом на услуги труда и капитала, зависит от предельного дохода от земли (MRPT) и арендной платы (РT). Поскольку предельная доходность земли убывает, функция спроса на услуги земли от арендной платы имеет отрицательный наклон: по мере снижения арендной платы количество арендуемой земли (T) растет.
Специфика предложения земельных услуг состоит в том, что количество предлагаемой к сдаче в аренду земли (T) в целом фиксировано, т.е. не зависит от арендной платы. Поэтому функция предложения на земельном рынке — вертикальная линия (рис. 15.7).
Рис. 15.7. Спрос и предложение на рынке земельных услуг
В таких условиях равновесная рыночная арендная плата (Р*T) зависит исключительно от спроса на услуги земли со стороны арендаторов.
Земля не только сдается в аренду, но и продается. Люди покупают землю, как и прочие капитальные активы, в расчете на будущие доходы от владения ею. Поэтому сегодняшняя рыночная цена земельного участка равна приведенной стоимости приносимых им в будущем доходов, определяемой путем дисконтирования.
Поскольку земля может приносить доход вечно, то при неизменной процентной ставке (i) и постоянном доходе от сдачи земли в аренду (РT) для исчисления сегодняшней цены земельного участка (Р) можно использовать формулу
Объяснить эту формулу можно так. Допустим, владелец данного участка земли, сдавая его в аренду, будет ежегодно получать 100 руб. дохода в течение неограниченного времени. Если рыночная процентная ставка при этом равна 10%, то покупатель участка не согласится заплатить за него больше той суммы, которая, будучи положена в банк, принесет вкладчику те же 100 руб. ежегодного процента. В нашем примере эта сумма равна 1000 руб., так как 1000 х 0,1 = 100. Если бы, например, продавец захотел продать участок за 1001 руб., то по такой цене покупателей на него не нашлось бы, поскольку, вложив 1001 руб. в банк, можно получить 100,1 руб. ежегодного дохода, что больше дохода от владения землей. Разумеется, любой потенциальный покупатель с радостью купил бы данный участок дешевле, чем за 1000 руб., но в условиях совершенной конкуренции это невозможно. Почему это гак, подумайте самостоятельно.
Виды земельной ренты
Земельная рента представлена двумя основными видами:
дифференциальной рентой;
абсолютной рентой.
Земельные участки расположены в различных природно-климатических зонах: одни в благоприятных, другие в неблагоприятных, гораздо худших условиях. Отличаются земли и по местоположению: некоторые расположены вблизи крупных городов и транспортных артерий, другие лежат на отдаленных территориях.
Вместе с тем следует иметь в виду, что земельный фонд страны ограничен, т.е. как всей земли вообще, так и земельных участков определенного качества имеется ограниченное количество.
Хозяйства,
работающие на лучших землях или
территориально наиболее близко
расположенные к рынку, находятся в
выгодном положении по сравнению с
хозяйствами на худших или отдаленных
участках, поскольку их издержки
значительно ниже. Это дает возможность
извлекать дополнительный доход,
получивший название дифференциальной
ренты
(естественное плодородие земли).
Кроме
естественного плодородия земли существует
экономическое плодородие. Оно связано
с последовательными дополнительными
вложениями в нее капитала и отражает
интенсивный путь развития
сельскохозяйственного производства.
Хозяйства, эффективно использующие
капитальные вложения и ведущие интенсивное
производство, получают дифференциальную
ренту
.
Абсолютная рента является следствием абсолютно неэластичного предложения земли в условиях существования на нее частной собственности. С одной стороны, частная собственность на землю исключает свободную миграцию капитала в сельское хозяйство. С другой стороны, величина пригодных для сельскохозяйственного использования земельных угодий ограничена. В этих условиях землевладельцы запрашивают арендную плату за любые земельные участки, а арендаторы устанавливают завышенные цены на сельскохозяйственную продукцию, чтобы иметь возможность заплатить эту арендную плату.
Абсолютная земельная рента представляет собой экономический механизм, обеспечивающий рачительное отношение к земле.
Распределение земельной ренты между субъектами сельскохозяйственного производства зависит от типа ренты. Дифференциальная рента в полном объеме принадлежит землевладельцу, поскольку он устанавливает арендную плату на уровне, учитывающем качество участков земли.
Дифференциальная рента является результатом усилий арендатора и полностью присваивается им.
Абсолютная рента присваивается землевладельцем в форме арендной платы за обладание абсолютно ограниченным ресурсом.
Арендная плата — это вознаграждение за пользование землей вместе с находящимися на ней постройками, оборудованием, инвентарем. Плата за эти компоненты рассматривается как процент, потому что передается в пользование фактор «капитал», а не земля.
Арендная плата выступает как рыночная цена передачи права пользования землей и оказывает решающее воздействие на объемы спроса и предложения на землю.
Предложение участков землевладельцами и спрос на них со стороны арендаторов показаны на рис. 13.9.
На земельном рынке не только осуществляются арендные операции, но и происходит купля-продажа земли в собственность. Цена земельного участка определяется двумя факторами. Во-первых, цена земли прямо пропорциональна приносимой ею арендной плате. Во-вторых, цена земли обратно пропорциональна норме ссудного процента. Использование ставки ссудного процента необходимо потому, что покупается право на получение регулярного дохода в течение очень продолжительного периода времени. Владелец определенной суммы денег может положить ее в банк и получать доход в виде процента. Но он может потратить эти деньги и на покупку земельного участка. Следовательно, цена земли — это дисконтированная стоимость. Она рассчитывается по аналогии с приобретением физического капитала, приносящего доход, по формуле для определения сегодняшней стоимости будущих доходов:
Поскольку
приближается к бесконечности, то
коэффициент дисконтирования
становится меньше и меньше с ростом
. Таким образом, цена земли как
дисконтированная стоимость определяется
по формуле:
— сегодняшняя
стоимость будущей суммы денег;
— ежегодный размер
земельной ренты;
— рыночная ставка
процента.
Экономический смысл этой формулы заключается в том, что землевладелец, продав землю, будет иметь с полученной суммы денег доход в виде банковского процента, равный земельной ренте.
Рис. 13.9. Равновесие на рынке аренды земли:
— арендная плата;
— спрос на земельные
участки;
— предложение
участков земли;
— количество
земельных участков.
Ценообразование на рынке земли
Владение землей сопряжено с известным выгодами и затратами, сопоставление которых и определит целесообразность сохранения собственности или ее отчуждения. Владея землей, собственник не использует других возможных вариантов получения дохода, например, он мог бы не покупать землю, а положить деньги в банк под проценты.
В связи с этим доход землевладельца можно рассчитать как отношение получаемой ренты к рыночной ставке ссудного процента.
Цена земли = Рента годовая / Ставка ссудного процента
Цена земли показывает, какую сумму денег требуется положить в банк, чтобы при действующей рыночной ставке процента получать доход, равный данной земельной ренте.
Величина земельной ренты формируется в результате взаимодействия спроса и предложения на рынке земельных участков.
Специфика рынка земли состоит в том, что в рамках национальной экономики предложение земли и природных ресурсов абсолютно неэластично, поскольку количество ресурсов есть величина фиксированная.
Спрос на землю показывает, какое количество земли готовы взять в аренду при различных возможных уровнях платы за нее. При высокой арендной плате количество сдаваемой в аренду земли будет меньше, чем при низкой.
Кривая спроса на землю тождественна кривой предельного дохода от земли. Предельный доход земли зависит, в свою очередь от производительности природного ресурса. Привысокой ренте только очень производительные земли могут быть взяты в аренду, так как лишь высокий предельный доход может позволить уплатить высокую ренту и, возможно, обеспечить прибыль арендатора. При понижении земельной ренты даже менее производительные земли будут арендоваться.
