- •Волновая и квантовая оптика
- •Раздел 8. Геометрическая оптика
- •Лекция 1. Законы геометрической оптики.
- •Введение
- •1. 1. Элементы геометрической оптики.
- •1. 2. Явление полного внутреннего отражения.
- •1. 3. Электромагнитная теория света.
- •Раздел 9.Волновая оптика
- •1. 1. Принцип Гюйгенса.
- •1.2. Интерференция световых волн.
- •1.3. Интерференционная картина.
- •1. 2. Метод Юнга. Получение интерференционной картины.
- •Лекция 2. Интерференция света в тонких пленках.
- •Лекция 3. Расчет интерференционной картины от двух источников
- •3.2. Применение интерференции.
- •Лекция 4. Дифракция света.
- •4. 1. Принцип Гюйгенса-Френеля.
- •4. 2. Метод зон Френеля.
- •4 . 3. Дифракция Френеля на круглом отверстии и диске.
- •3. 4. Дифракция Фраунгофера на прямоугольной щели.
- •3. 5. Дифракция Фраунгофера на дифракционной решетке.
- •3. 6. Дифракция рентгеновских лучей.
- •Лекция 5. Дисперсия света
- •5. 1. Поглощение света.
- •5. 2. Дисперсия света.
- •5. 3. Отражение и пропускание света. Окраска тел в природе.
- •Лекция 6. Поляризация света.
- •6.1. Естественный и поляризованный свет.
- •6. 2. Поляризация света при отражении и преломлении на границе раздела двух диэлектрических сред. Закон Брюстера.
- •6. 3. Поляризация света при двойном лучепреломлении.
- •6. 4. Методы поляризации света.
- •6. 5. Анализ плоскополяризованного света. Закон Малюса.
- •6. 6. Интерференция поляризованных лучей.
- •6. 7. Искусственная оптическая анизотропия.
- •6. 8. Оптическая активность веществ.
- •Раздел10. Квантовая природа излучения
- •Лекция 2. Формула Рэлея-Джинса.
- •2.1.Квантовый характер излучения.
- •2.2. Пирометрия и пирометры.
- •Лекция 3. Фотоэлектрический эффект.
- •Раздел 11.Элементы атомной физики и квантовой механики
- •Отрицательное поглощение. Генераторы когерентного света
- •Раздел 12..Элементы квантовой статистики и физики твердого тела
- •Раздел 13. Элементы физики атомного ядра и элементарных частиц
- •Библиографический список
1.2. Интерференция световых волн.
Если монохроматические световые волны имеют постоянную во времени разность фаз и колебания их световых векторов происходят в одной плоскости, то они называются когерентными (от греч. cohereus - согласованный). Явление перераспределения интенсивности световой волны в пространстве при наложении двух или нескольких когерентных волн называется интерференцией света.
Любое светящееся тело состоит из огромного количества светящихся атомов, каждый из которых излучает лишь очень короткое время τ = 10- с и затем «потухает». За это время атом испускает кусок волны приблизительно 3 м, называемый волновым цугом. Затем возбуждение атома повторяется, но излучаемый волновой цуг будет иметь другую начальную фазу, которая задается случайным образом. Следовательно, цуги одного атома, а тем более цуги разных атомов, принадлежащих одному источнику, будут некогерентными. По этой причине в результате наложения световых волн от двух независимых источников (например, двух электрических ламп накаливания) явление интерференции никогда не наблюдается.
1.3. Интерференционная картина.
П
усть
в некоторую точку А одновременно приходят
две световые волны от когерентных
источников света S1
и S2,
световые векторы которых колеблются
в одной плоскости (рис. 1.1). Пусть источники
начинают излучать одновременно, начальные
фазы волн равны нулю и амплитуды
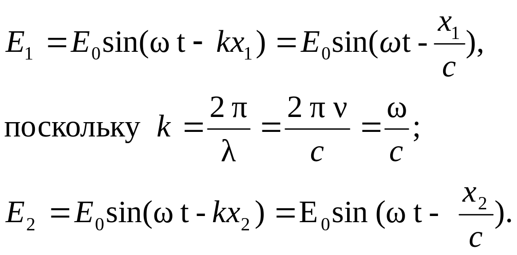
одинаковы. Тогда уравнения волн можно
записать следующим образом:
Складывая эти выражения, можно получить, что результирующая величина Е в точке А будет равна:
.
Величина
не
зависит от времени и является амплитудой
суммарного колебания в точке А. Амплитуда
может принимать нулевое значение, если
а это выполняется если аргумент
косинуса равен нечетному числу π/2. При
этом происходит взаимное «гашение»
волн и мы наблюдаем ослабление
интенсивности суммарной волны, то есть
интерференционный
минимум.
Определим положение в пространстве
таких точек:
,
где m
= 0, 1, 2…. - любое целое число, которое
называется порядком
интерференции,
запись
означает нечетное число. х1
и х2
– геометрические пути световых волн
от источников света S1
и S2
соответственно,
до произвольной точки А (рис. 1.1). Разность
х2
- х1
= Δ
называется геометрической
разностью хода
волн. Если свет распространяется в
среде с показателем преломления n,
необходимо рассматривать оптический
путь волн l
= xn.
Если световые волны проходят в разных
средах, их оптические
пути
будут l1=x1n1 и
l2=x2n2
и оптическая
разность хода
Δ
= l2
- l1.
Таким образом, если
в произвольной точке пространства
оптическая разность хода накладываемых
волн равна нечетному числу полуволн,
то в ней наблюдается минимум интерференции.
Условие
есть условие
интерференционного минимума.
Если
что возможно при равенстве аргумента
нулю или четному числу π/2, амплитуда
светового вектора для данной точки
будет в любой момент времени равна 2Е0.
Определим положение этих точек:
.
Если
в произвольной точке пространства
оптическая разность хода накладываемых
волн равна четному числу полуволн или
целому числу длин волн, то в ней наблюдается
максимум интерференции и условие
является
условием
интерференционного максимума.
Если между световыми волнами существует
разность хода, то они также обладают
разностью фаз.
Получим условия интерференционных максимумов и минимумов для разности фаз δ:
.
Если вместо Δ подставить значения Δmax и Δ min, то мы получим условия максимума и минимума интерференции для разности фаз δ max = ±2πm и δ min = ±(2m+1)π, ( m = 0,1,2…).
Если амплитудные значения светового вектора не равны друг другу, т.е. Е01 ≠ Е02, то квадрат результирующей амплитуды определяется по формуле:
Е2 = Е012 + Е022 + 2Е01Е02cos (φ2 – φ1),
где (φ2 – φ1) – разность фаз колебаний. Поскольку интенсивность света I пропорциональна квадрату амплитудного значения Е, то
.
В точках пространства, где cos (φ2 – φ1) > 0, результирующая интенсивность I > I1 + I2. Если cos (φ2 – φ1) < 0, то I < I1 + I2. Таким образом, мы наблюдаем перераспределение интенсивности и интерференционную картину.
