- •Раздел 1. Расчет сложной электрической цепи постоянного тока
- •Расчет токов по законам Кирхгофа
- •Замена треугольника сопротивлений эквивалентной звездой
- •Расчет методом «Контурных токов»
- •Баланс мощностей электрической цепи
- •Расчет потенциалов точек электрической цепи
- •Раздел 2. Расчет и анализ электрической цепи переменного ток
- •2.1 Расчет токов комплексным методом
- •2.2 Определение активной мощности ваттметра
- •2.3 Баланс активной и реактивной мощностей
- •2.4 Векторная диаграмма токов
- •Раздел 3. Расчет трехфазной электрической цепи
- •3.1 Расчет фазных и линейных токов
- •3.2 Мощности трехфазной электрической цепи
- •3.3 Векторная диаграмма токов и напряжений
- •Раздел 4. Расчет трехфазного асинхронного двигателя
СОДЕРЖАНИЕ
Введение 4
1 Раздел 1. Расчет сложной электрической цепи постоянного тока 5
1.1 Расчет токов по законам Кирхгофа 5
1.2 Замена треугольника сопротивлений эквивалентной звездой 6
1.3 Расчет методом «Контурных токов» 8
1.4 Баланс мощностей электрической цепи 9
1.5 Расчет потенциалов точек электрической цепи 10
2 Раздел 2. Расчет и анализ электрической цепи переменного тока 12
2.1 Расчет токов комплексным методом 12
2.2 Определение активной мощности ваттметра 14
2.3 Баланс активной и реактивной мощностей 14
2.4 Векторная диаграмма токов 14
3 Раздел 3. Расчет трехфазной электрической цепи 15
3.1 Расчет фазных и линейных токов 15
3.2 Мощности трехфазной электрической цепи 16
3.3 Векторная диаграмма токов и напряжений 17
4 Раздел 4. Расчет трехфазного асинхронного двигателя 18
Заключение 23
Список использованной литературы 24
Введение
Электротехника как наука является областью знаний, в которой рассматриваются электрические и магнитные явления и их практическое использование. На базе электротехники начали развиваться электроника, радиотехника, электропривод и другие смежные науки.
Электрическая энергия применяется во всех областях человеческой деятельности. Производственные установки на предприятиях имеют в основном электрический привод, т.е. приводят в действия электрические двигатели. Для измерения электрических и неэлектрических величин широко применяются электрические приборы и устройства.
Непрерывно расширяющиеся использование различных электротехнических и электронных устройств обуславливает необходимость знаниями специалистами всех областей науки, техники и производство основных понятий об электрических и электромагнитных явлений и их практическое применение.
Знание студентами данной дисциплины обеспечит их плодотворную деятельность в будущем как инженеров при современном состоянии энерговооруженности предприятий.
В результате полученных знаний инженер неэлектротехнических специальностей должен уметь квалифицированно эксплуатировать электротехническое и электронное оборудование и электропривод, применяемые в условиях современного производства, знать путь и методы экономии электроэнергии.
Раздел 1. Расчет сложной электрической цепи постоянного тока
Параметры схемы приведены в таблице 1.
Таблица 1 – Параметры схемы электрической цепи.
ЭДС источника питания 1 (E1) |
21 В |
ЭДС источника питания 2 (E2) |
4 В |
ЭДС источника питания 3 (E3) |
14 В |
Внутреннее сопротивление источника питания (R01) |
0,4 Ом |
Внутреннее сопротивление источника питания (R02) |
0,6 Ом |
Внутреннее сопротивление источника питания (R03) |
0,8 Ом |
Сопротивление резистора 1 (R1) |
5 Ом |
Сопротивление резистора 2 (R2) |
5 Ом |
Сопротивление резистора 3 (R3) |
5 Ом |
Сопротивление резистора 4 (R4) |
8 Ом |
Сопротивление резистора 5 (R5) |
3 Ом |
Сопротивление резистора 6 (R6) |
2 Ом |
Расчет токов по законам Кирхгофа
Показываем на схеме направление токов в ветвях (рис. 1).
Согласно первому закону Кирхгофа для цепей постоянного тока алгебраическая сумма токов в любом узле электрической цепи равна нулю, т.е. сумма токов, направленных от узла, равна сумме токов, направленных к узлу.
Составляем уравнения по первому закону Кирхгофа для узлов, количество которых равно (n–1), где n – количество узлов в схеме:
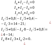
А) I6 + I1 – I5 = 0; (1.1)
B) I4 + I2 – I6 = 0; (1.2)
C) – I1 – I2 – I3 = 0. (1.3)
Согласно второму закону Кирхгофа для цепей постоянного тока в любом замкнутом контуре алгебраическая сумма напряжений на резистивных элементах равна алгебраической сумме ЭДС.
Составляем уравнения по второму закону Кирхгофа для каждого контура:
I3 ∙ (R3 + R03) – I1 ∙ (R1 + R01) – I5 ∙ R5 = E3 – E1; (1.4)
I2 ∙ (R2 + R02) – I4 R4 – I3 (R3 + R03) = E2 – E3; (1.5)
I4 ∙ R4 + I5 ∙ R5 – I6 ∙ R6 = 0. (1.6)
Решаем все полученные уравнения совместно как систему, подставив все известные значения:
=>
(1.7)
Решив матрицу, получим неизвестные значения токов в ветвях:
I1 = 1,297 А;
I2 = -1,376 А;
I3 = 0,079 А;
I4 = 0,23 А;
I5 = 0,151 А;
I6 = -1,146 А.
Если ток в ветви оказался отрицательным, значит, его направление противоположно выбранному на схеме.
Замена треугольника сопротивлений эквивалентной звездой
Проведем преобразование «треугольника» bcd, соответствующего схеме электрической цепи, в эквивалентную «звезду» (рис. 2). Исходный треугольник образован сопротивлениями R4, R5, R6. При преобразовании обязательно сохраняется условие эквивалентности схем, т.е. токи в проводах, проходящих к преобразуемой схеме, и напряжения между узлами не меняют своих величин.
При преобразовании «треугольника» в «звезду» используем расчетные формулы:
Ом;
(1.8)
Ом;
(1.9)
Ом.
(1.10)
В результате преобразования исходная схема упрощается (рис. 3).
В преобразованной схеме только три ветви и соответственно три тока I1, I2, I3. Для расчета этих токов достаточно иметь систему трех уравнений, составленных по законам Кирхгофа:
(1.11)
При составлении уравнений направление тока и обхода контуров выбирается так же, как и в трехконтурной схеме.
Составляем и решаем систему:
(1.12)
Решив матрицу, получим неизвестные значения токов I1, I2, I3:
I1 = 1,297 А;
I2 = –1,376 А;
I3 = 0,079 А.
Подстановкой полученных значений токов в уравнения, составленные для трехконтурной схемы, определим остальные токи I4, I5, I6:
I4 = 0,23 А;
I5 = 0,151 А;
I6 = –1,146 А.
