- •Автор-составитель:
- •1. Цели и задачи дисциплины
- •2. Требования к уровню освоения дисциплины
- •3. Объем дисциплины
- •3.1 Объем дисциплины и виды учебной работы
- •3.2 Распределение часов по темам и видам учебной работы
- •4. Содержание курса
- •Тема 2. Модель парной регрессии. Метод наименьших квадратов. Геометрическая интерпретация. Матричная форма записи. Линейная регрессионная модель. Теорема Гаусса-Маркова. Оценка дисперсии ошибок 2
- •Тема 5. Системы линейных одновременных уравнений. Идентификация систем одновременных уравнений. Двухшаговый, трехшаговый и косвенный мнк.
- •Тема 6. Обобщенный метод наименьших квадратов. Теорема Айткена. Фиктивные переменные. Построение регрессионных моделей по неоднородным данным. Тест Чоу.
- •Тема 7. Нелинейные регрессионные модели и их линеаризация.
- •Тема 8. Модели стационарных и нестационарных рядов. Прогнозирование, основанное на использовании моделей временных рядов.
- •5. Темы практических занятий
- •Тема 2. Модель парной регрессии. Метод наименьших квадратов. Геометрическая интерпретация. Матричная форма записи. Линейная регрессионная модель. Теорема Гаусса-Маркова. Оценка дисперсии ошибок 2
- •Тема 5. Системы линейных одновременных уравнений. Идентификация систем одновременных уравнений. Двухшаговый, трехшаговый и косвенный мнк.
- •Тема 6. Обобщенный метод наименьших квадратов. Теорема Айткена. Фиктивные переменные. Построение регрессионных моделей по неоднородным данным. Тест Чоу.
- •Тема 7. Нелинейные регрессионные модели и их линеаризация.
- •Тема 8. Модели стационарных и нестационарных рядов. Прогнозирование, основанное на использовании моделей временных рядов.
- •6. Задания для самостоятельной работы студентов
- •Задача 2.1.
- •Задача 2.2.
- •Задача 2.3.
- •Задача 2.4.
- •Задача 3.1.
- •Задача 3.2.
- •Задача 3.3.
- •Задача 4.2.
- •Задача 4.3.
- •Задача 4.4.
- •Задача 4.5.
- •Задача 4.6.
- •Задача 7.1.
- •Задача 7.2.
- •Задача 7.3.
- •Задача 7.4.
- •Задача 8.1.
- •Задача 8.2.
- •Задача 8.3.
- •Вариант 1.
- •Вариант 2.
- •Вариант 3.
- •Вариант 4.
- •Вариант 5.
- •Вариант 6.
- •Вариант 7.
- •Вариант 8.
- •Вариант 9.
- •Вариант 10.
- •Вариант 11.
- •Вариант 12.
- •Вариант 13.
- •Вариант 14.
- •Вариант 15.
- •Вариант 16.
- •Вариант 17.
- •Вариант 18.
- •Вариант 19.
- •Вариант 20.
- •Вариант 21.
- •Вариант 22.
- •Вариант 23.
- •Вариант 24.
- •Вариант 25.
- •6.3. Примерные темы рефератов
- •7. Варианты контрольных работ и методические указания по их выполнению
- •Регрессионные модели с одним уравнением
- •Системы одновременных уравнений
- •Тема 2. Модель парной регрессии. Метод наименьших квадратов. Геометрическая интерпретация. Матричная форма записи. Линейная регрессионная модель. Теорема Гаусса-Маркова. Оценка дисперсии ошибок 2
- •Метод наименьших квадратов (мнк)
- •Геометрическая интерпретация
- •Матричная форма записи
- •Тема 5. Системы линейных одновременных уравнений. Идентификация систем одновременных уравнений. Двухшаговый, трехшаговый и косвенный мнк.
- •Тема 6. Обобщенный метод наименьших квадратов. Теорема Айткена. Фиктивные переменные. Построение регрессионных моделей по неоднородным данным. Тест Чоу.
- •Тема 7. Нелинейные регрессионные модели и их линеаризация.
- •Тема 8. Модели стационарных и нестационарных рядов. Прогнозирование, основанное на использовании моделей временных рядов.
- •Варианты контрольных работ.
- •8. Вопросы для подготовки к зачету
- •9. Учебно-методическое обеспечение дисциплины
- •9.1 Литература
- •9.2 Методическое обеспечение дисциплины
- •9.3 Материально-техническое и информационное обеспечение дисциплин
- •10. Инновационные технологии, используемые в преподавании курса «экономико-математические методы и модели в таможенной статистике»
Тема 8. Модели стационарных и нестационарных рядов. Прогнозирование, основанное на использовании моделей временных рядов.
Временным рядом (динамическим рядом) называется набор значений какого-либо показателя за несколько последовательных моментов или периодов времени. Отдельные наблюдения называются уровнями ряда.
В общем виде при исследовании экономических процессов временного ряда выделяются несколько составляющих:
yt = ut + vt + ct + εt (t=1, 2, …, n),
где ut – тренд, vt – сезонная компонента, ct – циклическая компонента, εt – случайная компонента.
Стационарные временные ряды.
Важное значение в анализе временных рядов имеют стационарные временные ряды, вероятностные свойства которых не изменяются во времени. Временной ряд yt (t=1, 2, …, n) называется строго стационарным, если совместное распределение вероятностей n наблюдений y1, y2,…, yn такое же, как и n наблюдений y1+τ, y2+τ,…, yn+τ при любых n, t, и τ. Таким образом, свойства строго стационарных рядов не зависят от момента времени t.
Степень тесноты связи между последовательностями наблюдений временного ряда y1, y2, …, yn и y1+τ, y2+τ, …, yn+τ можно оценить с помощью выборочного коэффициента корреляции r(τ):
.
Так как он оценивает корреляцию между уровнями одного и того же ряда, его называют коэффициентом автокорреляции.
Функция r(τ) называется выборочной автокорреляционной функцией, а ее график - коррелограммой.
Кроме автокорреляционной функции при исследовании стационарных временных рядов рассматривают частную автокорреляционную функцию. Статистической оценкой частного коэффициента корреляции является выборочный частный коэффициент корреляции (или просто частный коэффициент корреляции):
,
где rij, rik rjk – выборочные коэффициенты корреляции.
Так, выборочный частный коэффициент автокорреляции 1-го порядка между членами временного ряда yt и yt+2 при устранении влияния yt+1 определяется по формуле:
,
где r(1), r(1,2), r(2) – выборочные коэффициенты автокорреляции между yt и yt+1, yt+1 и yt+2, и yt и yt+2 соответственно.
Наиболее распространенным приемом устранения автокорреляции во временных рядах является подбор соответствующей модели: авторегрессионной АР(p), скользящей средней СС(q) или авторегрегрессионной модели скользящей средней АРСС(p,q) для остатков модели (в литературе можно встретить англоязычные названия моделей: авторегрессионной – АR(p), скользящей средней – MA(q) и авторегрегрессионной модели скользящей средней АRMA(p,q).)
Идентификацией временного ряда называется построение для ряда остатков адекватной АРСС-модели, в которой остатки представляют собой белый шум, а все регрессоры значимы. Такое представление, как правило, не единственное, и один и тот же ряд может быть идентифицирован и с помощью АР-модели, и с помощью СС-модели.
Авторегрессионная модель порядка p (модель АР(p)) имеет вид:
yt = β0 + β1 yt-1+ β2 yt-2+…+ βp yt-p+εt, (t=1, 2, …, n),
где β0, β1,… βp – некоторые константы.
Если исследуемый процесс yt в момент t определяется его значениями только в преды-дущий период t-1, то получаем авторегрессионную модель 1-го порядка (или модель АР(1)).
yt = β0 + β1 yt-1 +εt, (t=1, 2, …, n),
Наряду с авторегрессионными моделями временных рядов в эконометрике рассматриваются также модели скользящей средней. В них моделируемая величина задается линейной функцией от возмущений (остатков) в предыдущие моменты времени. Модель скользящей средней порядка q (модель СС(q)) имеет вид:
yt = εt – γ1εt-1 – γ2εt-2 –…– γqεt-q (t=1, 2, …, n).
Нередко используются и комбинированные модели временных рядов АР и СС, которые имеют вид:
yt = β0 + β1 yt-1+ β2 yt-2+…+ βp yt-p+ εt – γ1εt-1 – γ2εt-2 –…– γqεt-q.
Если все значения выборочной частной автокорреляционной функции порядка выше p незначимо отличаются от нуля, временной ряд следует идентифицировать с помощью модели, порядок авторегрессии которой не выше p.
Если все значения выборочной автокорреляционной функции порядка выше q незначимо отличаются от нуля, временной ряд следует идентифицировать с помощью модели скользящей средней, порядок которой не выше q.
Нестационарные временные ряды.
Пусть имеется временной ряд
yt = ρyt-1+ ξt.
Предположим, что ошибки ξt независимы и одинаково распределены, т.е. образуют белый шум. Перейдем к разностным величинам:
Δyt = λyt-1+ ξt,
где Δyt = yt – yt-1, λ= ρ-1.
Если ряд Δyt является стационарным, то исходный нестационарный ряд yt называется интегрируемым (или однородным).
Нестационарный ряд yt называется интегрируемым (однородным) k-го порядка, если после k-кратного перехода к приращениям
dkyt = dk-1yt – dk-1yt-1,
где d1yt = Δyt, получается стационарный ряд dkyt.
Если при этом стационарный ряд dkyt корректно идентифицируется как АРСС(p,q), то нестационарный ряд yt обозначается как АРПСС(p,k,q). Это означает модель авторегрессии – проинтегрированной скользящей средней (другое обозначение - ARIMA(p,k,q)) порядков p, k, q, которая известна как модель Бокса-Дженкинса. Процедура подбора такой модели реализована во многих эконометрических пакетах.
Модели с распределенными лагами.
При исследовании экономических процессов приходится моделировать ситуации, когда значение результативного признака в текущий момент времени t формируется под воздействием ряда факторов, действовавших в прошлые моменты времени. Величину l, характеризующую запаздывание в воздействии фактора на результат, называют лагом, а временные ряды самих факторных переменных, сдвинутые на один или более моментов времени, - лаговыми переменными. Модели, содержащие не только текущие, но и лаговые значения факторных переменных, называют моделями с распределенными лагами:
В случае конечной величины максимального лага модель имеет вид:
yt = a + b0xt + b1xt-1 + … + blxt-l +εt.
Коэффициент b0 характеризует среднее абсолютное изменение yt при изменении xt на 1 ед. своего измерения в некоторый фиксированный момент времени t, без учета воздействия лаговых значений фактора x. Этот коэффициент называется краткосрочным мультипликатором.
Долгосрочный мультипликатор вычисляется по формуле:
b = b0 + b1 + … + bl.
Он показывает абсолютное изменение в долгосрочном периоде t+l результата y под влиянием изменения на 1 ед. фактора x.
Величины βj=bj/b (j = 0,…,l) называются относительными коэффициентами модели с распределенным лагом.
Средний лаг определяется по формуле средней арифметической взвешенной:
и представляет собой средний период, в течение которого будет происходить изменение результата под воздействием изменения фактора в момент времени t. Небольшая величина среднего лага свидетельствует об относительно быстром реагировании результата на изменение фактора. Высокое его значение говорит о том, что воздействие фактора на результат будет сказываться в течение длительного периода времени.
Медианный лаг (lMe) – представляет собой период времени, в течение которого будет реализована половина общего воздействия фактора на результат и определяется следующим соотношением:
.
Оценка модели с распределенными лагами зависит от того, конечное или бесконечное число лагов она содержит.
Метод Алмон.
Предполагается, что веса текущих и лаговых значений объясняющих переменных подчиняются полиномиальному закону распределения:
bj = c0 + c1·j + c2·j2 + … + ck·jk. (5.1)
Уравнение регрессии примет вид:
yt = a + c0·z0 + c1·z1 + c2·z2 + … + ck·zk + εt, (5.2)
где
, i
= 1,…,k;
j=0,…,l. (5.3)
Схема расчета параметров модели:
устанавливается максимальная величина лага l;
определяется степень полинома k, описывающего структуру лага;
по соотношениям (5.3) рассчитываются значения переменных z0, z1,…, zk;
обычным методом наименьших квадратов определяются параметры уравнения линейной регрессии yt от zi (5.2);
рассчитываются параметры исходной модели по формулам (5.1).
Метод Койка.
Предполагается, что коэффициенты при лаговых значениях переменной убывают в геометрической прогрессии:
,
j
= 1, 2, … 0 < λ
< 1. (5.4)
Уравнение регрессии преобразуется к виду:
yt = a + b0xt + b0·λ xt-1 + b0·λ2 xt-2 +… +εt.
После ряда преобразований получается уравнение авторегрессии первого порядка:
yt = a·(1 – λ) + b0·xt + (1 – λ) yt-1 + ut,
где ut = εt – λ εt-1.
Определив параметры данной модели, находятся λ и оценки параметров a и b0 исходной модели. Далее из соотношения (5.4) определяются параметры модели b1, b2,… .
Величина среднего лага в модели Койка определяется формулой:
.
Пример 5. По данным о динамике товарооборота (Y, млрд. руб.) и доходах населения (X, млрд. руб.) была получена следующая модель с распределенными лагами:
Yt = 0,50∙Xt + 0,25∙Xt-1 + 0,13∙Xt-2 + 0,13∙Xt-3 + εt.
(0,06) (0,04) (0,04) (0,06)
В скобках указаны значения стандартных ошибок для коэффициентов регрессии. Значение R2 = 0,98.
Задание:
Проанализируйте полученные результаты регрессионного анализа.
Дайте интерпретацию параметров модели: определить краткосрочный и долгосрочный мультипликаторы.
Определите величину среднего лага и медианного лага.
Решение.
1. Проверка значимости отдельных коэффициентов модели дает следующие расчетные значения t-статистики для коэффициентов:
tb0 = 0,50/0,06 = 8,33; tb1 = 0,25/0,04 = 6,25;
tb2 = 0,13/0,04 = 3,25; tb3 = 0,13/0,06 = 2,17.
Таким образом, все коэффициенты оказываются значимыми, и выбор величины лага l=3 является оправданным. Об адекватности полученной модели свидетельствует и высокое значение коэффициента детерминации.
2. Краткосрочный мультипликатор в модели равен b0 = 0,50. Он показывает, что увеличение доходов на 1 млрд. руб. ведет в среднем к росту товарооборота на 0,5 млрд. руб. в том же периоде.
Долгосрочный мультипликатор для полученной модели составит:
b = b0 + b1 + b2 + b3 = 0,50 + 0,25 + 0,13 + 0,13 = 1,01.
Получаем, что увеличение доходов на 1 млрд. руб. в настоящий момент времени в долгосрочной перспективе (через 3 месяца) приведет к росту товарооборота на 1,01 млрд. руб.
Рассчитаем относительные коэффициенты модели:
β0 = 0,50/1,01 = 0,495; β1 = 0,25/1,01 = 0,248;
β2 = 0,13/1,01 = 0,129; β3 = 0,13/1,01 = 0,129.
Следовательно, 49,5% общего увеличения товарооборота, вызванного ростом доходов населения, происходит в текущий момент времени; 24,8% - в момент времени (t+1); 12,9% - в моменты времени (t+2) и (t+3).
3. Средний лаг в модели определяется следующим образом:
.
Величина среднего лага меньше месяца, что подтверждает, что эффект роста доходов населения на объем товарооборота проявляется сразу же.
Медианный лаг для данной модели составляет чуть более 1 месяца.
Характерной чертой адаптивных методов прогнозирования является их способность непрерывно учитывать эволюцию динамических характеристик изучаемых процессов, «адаптироваться» к этой эволюции, придавая тем больший вес, тем более высокую информационную ценность имеющимся наблюдениям, чем ближе они к текущему моменту прогнозирования.
В основе процедуры адаптации лежит метод проб и ошибок. По модели делается прогноз на один интервал по времени. Через один шаг моделирования анализируется результат: насколько он далек от фактического значения. Затем в соответствии с моделью происходит корректировка. После этого процесс повторяется. Таким образом, адаптация осуществляется рекуррентно с получением каждой новой фактической точки ряда.
Методы экспоненциального сглаживания. Модель Брауна.
Пусть анализируемый временной ряд x(t) представлен в виде:
x(t) = a0 + ε(t),
где a0 – неизвестный параметр, не зависящий от времени, ε(t) - случайный остаток со средним значением, равным нулю, и конечной дисперсией.
В соответствии с методом Брауна прогноз x*(t+τ) для неизвестного значения x(t+τ) по известной до момента времени t траектории ряда x(t) строится по формуле:
x*(t; τ) = S(t),
где значение экспоненциально взвешенной скользящей средней S(t) определяется по рекуррентной формуле:
S(t)= αx(t) + (1-α) S(t-1).
Коэффициент сглаживания α можно интерпретировать как коэффициент дисконтирования, характеризующий меру обесценивания информации за единицу времени. Из формулы следует, что экспоненциально взвешенная скользящая средняя является взвешенной суммой всех уровней ряда x(t), причем веса уменьшаются экспоненциально по мере удаления в прошлое.
В качестве S(0) берется, как правило, среднее значение ряда динамики или среднее значение нескольких начальных уровней ряда.
Случай линейного тренда: x(t) = a0 + a1t + ε(t).
В этом случае прогноз x*(t; τ) будущего значения определяется соотношением:
x*(t;
τ) =
,
а
пересчет коэффициентов
осуществляется
по формулам:
Начальные значения коэффициентов берутся из оценки тренда линейной функцией.
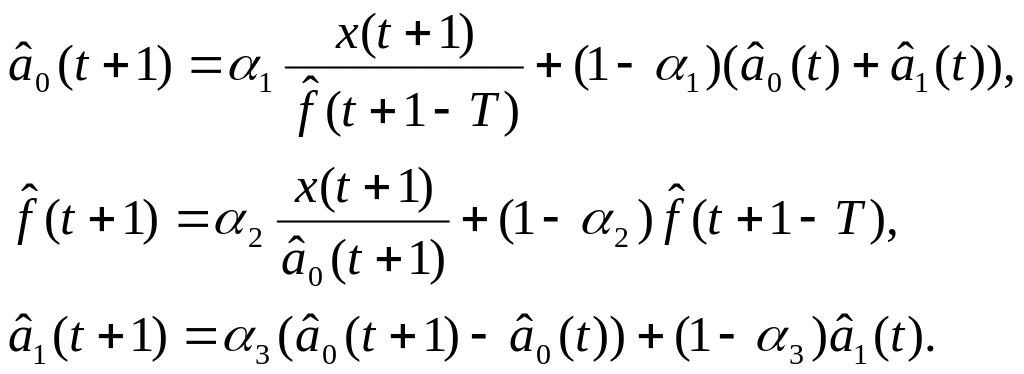
Модель Хольта.
В модели Хольта введено два параметра сглаживания α1 и α 2 (0< α 1, α 2 <1). Прогноз x*(t;l) на l шагов по времени определяется формулой:
x*(t;
τ) =
,
а
пересчет коэффициентов
осуществляется
по формулам:
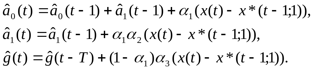
Модель Хольта-Уинтерса.
Эта модель помимо линейного тренда учитывает и сезонную составляющую. Прогноз x*(t;τ) на τ шагов по времени определяется формулой:
x*(t;τ)
=
,
где f(t) – коэффициент сезонности, а T – число временных тактов (фаз), содержащихся в полном сезонном цикле.
Видно, что в данной модели сезонность представлена мультипликативно. Формулы обновления коэффициентов имеют вид:
Модель Тейла-Вейджа.
Если исследуемый временной ряд имеет экспоненциальную тенденцию с мульти-пликативной сезонностью, то после логарифмирования обеих частей уравнения получается модель с линейной тенденцией и аддитивной сезонностью или модель Тейла-Вейджа.
Имеется модель:
x(t) = a0(t) + g(t) + δ(t),
a0(t) = a0(t-1) + a1(t).
Здесь a0(t) – уровень процесса после устранения сезонных колебаний, a1(t) – аддитивный коэффициент роста, ω(t) – аддитивный коэффициент сезонности и δ(t) – белый шум.
Прогноз x*(t;τ) на τ шагов по времени определяется формулой:
x*(t;τ)
=
.
Коэффициенты вычисляются рекуррентным способом по формулам:
Для определения оптимальных значений параметров адаптации перебирают различные наборы их значений и сравнивают получающиеся при этом среднеквадратические ошибки прогнозов.
