- •Вятский государственный университет
- •Порядок оформления отчета
- •Лабораторная работа № 1 Программирование линейных и разветвляющихся вычислительных процессов
- •Контрольные вопросы
- •Лабораторная работа № 2 Программирование циклических вычислительных процессов
- •Контрольные вопросы
- •1. Вычислить сумму или произведение значений выражения для заданного числа значений аргумента , изменяющегося от начального значения с шагом .
МИНИСТЕРСТВО
ОБРАЗОВАНИЯ И НАУКИ РОССИЙСКОЙ ФЕДЕРАЦИИ
Федеральное государственное бюджетное
образовательное учреждение
высшего профессионального образования
Вятский государственный университет
Электротехнический факультет
Кафедра электрических станций
СБОРНИК ЗАДАНИЙ
ПО ИНФОРМАТИКЕ
Методические указания и задания
к лабораторным занятиям
по дисциплине «Основы информатики»
для студентов заочного отделения
направления подготовки 140400
Киров 2012
Составители: ст. преподаватель Е.Н. Хорошинина
Подписано в печать Усл. печ. л.
Бумага типографская Печать матричная
Заказ № Тираж Бесплатно
Текст напечатан с оригинал-макета, представленного автором
610000, г. Киров. ул. Московская 36.
Вятский государственный университет, 2012
Введение
Сборник содержит задания для лабораторных работ по дисциплине "Основы информатики". Задания снабжены исходными данными и ответами, что позволяет контролировать правильность составления программы и её реализации на ЭВМ.
Студент получает от преподавателя номера вариантов заданий, составляет программу, вносит ее в ЭВМ, производит расчет и проверяет правильность работы программы. После проверки преподавателем работоспособности программы студент оформляет отчет по лабораторной работе. Зачет по лабораторной работе ставится при наличии правильно оформленного отчета по результатам устных ответов на контрольные вопросы.
Порядок оформления отчета
Отчет оформляется на листах формата А4 (297210) с одной стороны листа. Первый лист отчета оформляется в соответствии с приложением 2. На втором и последующих листах должны присутствовать следующие обязательные пункты:
Цель работы.
Полный текст задания.
Номера вариантов и расчетные формулы.
Блок схема программы (в соответствии с приложением 1).
Текст программы.
Результаты работы программы.
Лабораторная работа № 1 Программирование линейных и разветвляющихся вычислительных процессов
Цель работы: изучение правил записи выражений, принципа работы условного оператора, правил построения линейных, разветвляющихся вычислительных процессов и приобретение навыков составления простейших программ.
Контрольные вопросы
Опишите общую структуру программы.
Как осуществляется описание переменных?
Перечислите стандартные целые и вещественные типы переменных.
Как осуществляется ввод и вывод значений переменных?
Как осуществляется деление операций по приоритетам?
Перечислите стандартные математические функции.
Приведите общий вид условного оператора.
Опишите применение логических операций для объединения нескольких условий. Перечислите логические операции с указанием приоритета.
Приведите результаты логических операций при всевозможных сочетаниях значений операндов.
Опишите алгоритм работы Вашей программы.
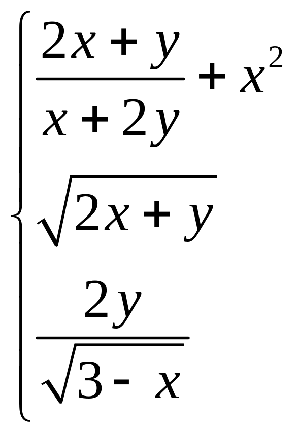
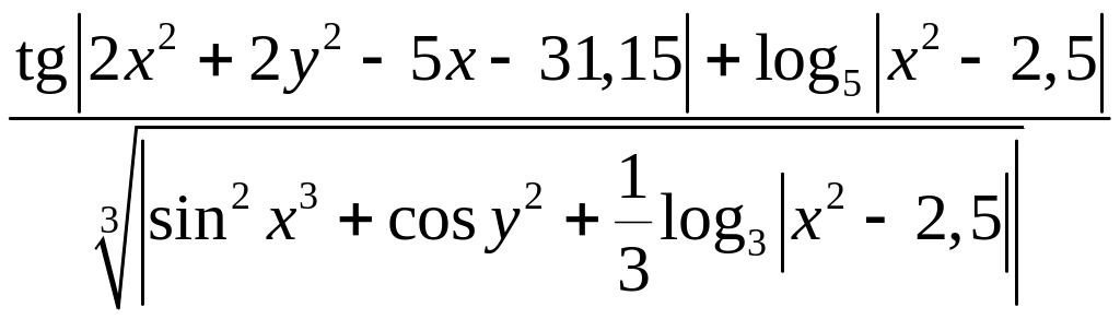
Задание 1: вычислить значение выражения при заданных значениях аргументов.
1.
Y =
X1
= 0,5 Y1
= 0,710
При X2 = –1,33 Ответ: Y2 = 0,838
X3
= –7,5 Y3
= 0,105
2.Y
=
При
Ответ:
3.Y
=
При
Ответ:
4.
X1
= –3,8 Y1
= –0,196
При X2
=
0,5 Ответ: Y2
= –0,469
X3 = 4,7071 Y3 = –0,108
5.
X1 = –1,84 Y1 = 0,323
При X2 = 0,651 Ответ: Y2 = 0,820
X3 = 1 Y3 = 0,573
6.
X1 = –1 Y1 = 0,346
При X2 = 0,917 Ответ: Y2 = 0,236
X3 = 6,333 Y3 = 0,731
7.
При
Ответ:
8.
При
Ответ:
9.
Y =
При
Ответ:
10.
Y =
При
Ответ:
11.
Y =
При
Ответ:
12.
Y =
При
Ответ:
13.
Y =
При
Ответ:
14.
Y =
При
Ответ:
15.
Y =
При
Ответ:
16.
Z =
При
Ответ:
17.
Z =
При
Ответ:
18.
Z =
При
Ответ:
19.
Z
=
X1 = –2,409 Y1 = –3,5 Z1 = 0,617
При X2 = 0,516 Y2 = 0, 516 Ответ: Z2 = 0,985
X3 = 1,7 Y3 = 5,808 Z3 = 0,178
20.
Z =
При
Ответ:
21.
Z=
X1 = –2,507 Y1 = –20,09 Z1 = 0,018
При X2 = 0,09 Y2 = 0,045 Ответ: Z2 = –0,763
X3 = 1,58 Y3 = 1,11 Z3 = 0,193
22.
Z =
X1 = –1,456 Y1 = –1,043 Z1 = 0,477
При X2 = 0,99 Y2 = 0,4 Ответ: Z2 = 0,906
X3 = 2,1 Y3 = 1,01 Z3 = 0,341
23.
Z =
X1 = –5,031 Y1 = –3,33 Z1 = 0,455
При X2 = 0,385 Y2 = 1,404 Ответ: Z2 = 0,675
X3 = 3,1774 Y3 = 2,38 Z3 = 0,172
24.
Z =
X1 = –0,1735 Y1 = –2,3456 Z1 = 0,596
При X2 = 0,241 Y2 = 0,1769 Ответ: Z2 = 0,586
X3 = 5,31 Y3 = 3,009 Z3 = 0,210
25.
Z =
X1 = –5,28 Y1 = 1,375 Z1 = 0,694
При X2
= 2,1148 Y2
=
–3,1 Ответ: Z2
= 0,156
X3 = 0,1213 Y3 = 0,5783 Z3 = –0,740
26.
Z =
X1 = –1,125 Y1 = 0,363 Z1 = 0,983
При X2 = 1,125 Y2 = –0,363 Ответ: Z2 = –0,190
X3 = 3,042 Y3 = 0,151 Z3 = 0,545
27.
Z=
X1 = 2,22 Y1 = –11,34 Z1 = –0,566
При X2 = 0,57 Y2 = 1,3589 Ответ: Z2 = 0,304
X3 = –9,05 Y3 = 3,3805 Z3 = 0,733
28.
Z =
X1 = –2,19 Y1 = 3,17 Z1 = 0,148
При X2 = 0,53 Y2 = 0,53 Ответ: Z2 = –0,166
X3 = 3,17 Y3 = –2,19 Z3 = 0,150
29.
Z =
X1 = 1,215 Y1 = –1,517 Z1 = –0,276
При X2 = 0,833 Y2 = 0,0404 Ответ: Z2 = –0,124
X3 = –2,027 Y3 = 4,5 Z3 = –0,481
30.
Z =
При
Ответ:
Задание 2: вычислить значения функций у (табл. 1.1) или z (табл. 1.2) в зависимости от заданного условия (с помощью условного оператора).
Таблица 1.1
№ вар. |
Выражение |
Условие выбора выражений |
Аргумент x |
Результат |
|
|
|
|
|
|
|
|
|
|
|
|
|
|
|
|
|
|
|
|
|
|
|
|
|
|
|
|
|
|
|
|
|
|
|
|
|
|
|
|
|
|
|
|
|
|
|
|
|
|
|
|
y= |
|
|
|
|
|
|
y= |
|
|
|
|
|
|
y= |
|
|
|
|
|
|
y= |
|
|
|
|
|
|
Окончание табл. 1.1 |
||
|
|
y= |
|
|
|
|
|
y= |
|
|
|
|
|
y= |
|
|
|
|
|
y= |
|
|
|
Таблица 1.2
№ вар. |
Выражение |
Условие выбора выражений |
Аргумент x |
Аргумент y |
Результат |
|
|
|
|
|
|
|
|
|
Продолжение табл. 1.2 |
|||||
№ вар. |
Выражение |
Условие выбора выражений |
Аргумент x |
Аргумент y |
Результат |
||
|
|
|
|
|
|
|
||
|
|
|
|
|
|
|
||
|
|
|
|
|
|
|
||
|
|
|
|
|
|
|
||
|
|
|
|
|
|
|
||
|
|
|
|
|
|
|
||
|
|
z
= |
|
|
|
|
||
|
|
Z
= |
|
x1= -1,24 x2= -3,84 x3= 0,15 |
y1= 4,85 y2= 0,2507 y3= 0,52 |
z1= -1,666 z2= 11,92 z3= 1,637 |
||
|
|
Z= |
|
x1= 0,3
x2= 0,2
x3= -1,25 |
y1= 2,4
y2= 0,8
y3= 0,4 |
z1= 0,251
z2= 0,16
z3= 0,724 |
||
|
|
Z= |
|
|
|
|
||
|
|
Z= |
|
|
|
|
||
|
|
Z= |
|
|
|
|
||
|
|
Окончание табл. 1.2 |
|||||
№ вар. |
Выражение |
Условие выбора выражений |
Аргумент x |
Аргумент y |
Результат |
||
|
|
Z= |
|
|
|
|
||
|
|
Z= |
|
|
|
|
||
