 
        
        - •Аналіз даних
- •1. За вибірками X та y при рівні значущості перевірити гіпотезу про рівність дисперсій:
- •2.За вибірками X та y при рівні значущості перевірити гіпотезу про рівність середніх: ,
- •3. Дослідити вплив факторів а і в на масу корів у кг:
- •4. За даною вибіркою:
- •5. За даними таблиці:
- •6. Досліди залежність урожайності пшениці від сорту пшениці. Результати дослідження наведено в таблиці:
- •7.Залежність вмісту срібла в руді y від вмісту свинцю X
- •Зробити висновок про тісноту зв’язку.
- •8. За даними таблиці:
- •9.Залежність вмісту свинцю y в руді від вмісту срібла х наведено в таблиці
- •Зробити висновок про тісноту зв’язку.
- •10. Знайти коефіцієнти множинної лінійної кореляції , , та частинної кореляції для трьох змінних за даними таблиці:
- •Функціональний аналіз Теоретичні питання
- •Практичні завдання
- •Диференціальні рівняння Теоретичні питання
- •Практичні завдання
- •Теорія функцій комплексної змінної Теоретичні питання
- •Практичні завдання
- •Теорія керування Теоретичні питання
- •Практичні завдання
- •Системне програмування
- •Бази даних та інформаційні системи Теоретичні питання
- •Практична частина
- •Алгебра та геометрія
- •Математичний аналіз
Практичні завдання
1. Розв’язати задачу швидкодії:
 
2. Розв’язати задачу швидкодії:
 
3. Розв’язати задачу швидкодії:
 
4. Розв’язати задачу спостережуваності:
 
5. Розв’язати задачу спостережуваності:
 
6. Розв’язати задачу оптимального керування за допомогою принципу максимуму Понтрягіна:
 
7. Розв’язати задачу оптимального керування за допомогою принципу максимуму Понтрягіна:
 
8. Розв’язати задачу оптимального керування за допомогою принципу максимуму Понтрягіна:
 
9. Розв’язати задачу оптимального керування за допомогою принципу максимуму Понтрягіна:
 
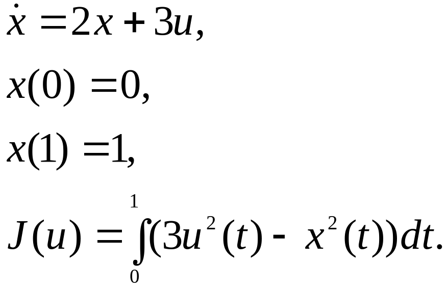
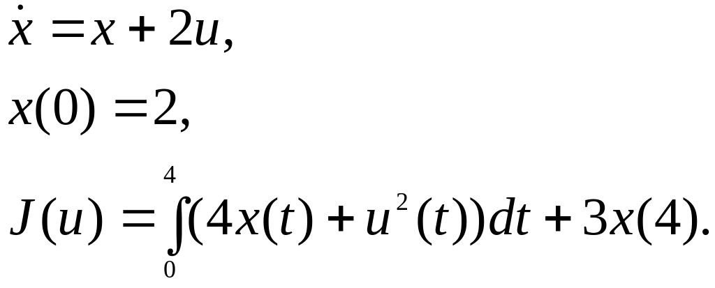
10. Розв’язати задачу оптимального керування за допомогою принципу максимуму Понтрягіна:
 
Системне програмування
Теоретичні питання
- Структура консольного додатка. 
- Механізм роботи акселераторів. 
- Контекст дисплею 
- Контекст в пам'яті. 
- Блокування файлів. 
- Створення процесу. 
- Локальні області зберігання потоків. 
- Назвати основні властивості мютексів. 
- Використання семафорів. 
- Описати основні властивості іменованих каналів. 
Практичні питання
- Файл складається з цілих чисел, знайти суму всіх чисел, що більше 5. Результат вивести на консольне вікно. (Виконати на Асемблері) 
- З клавіатури в консольному додатку вводиться: 
- Координати центра кола, та його радіус, 
- Координати п’ятьох точок. 
Визначити які з цих точок лежать в межах круга, що задається даним колом. (Виконати на Асемблері)
- Написати консольний додаток, в якому вводиться рядок тексту, а потім виводиться посимвольно в стовпчик. (Виконати на Асемблері) 
- Ввести 7 чисел на консольний додаток і вибрати серед них найменше. (Виконати на Асемблері) 
- З текстового файлу вибрати і вивести на екран приголосні літери. (Виконати на Асемблері) 
- Написати віконний додаток з меню і підключити до нього «гарячі клавіші». (Виконати на Асемблері) 
- Написати віконний додаток з меню, в якому є один пункт – «Кольори», з підпунктами – назвами різних кольорів. При виборі певного підпункту повинно відкритися нове вікно з відповідним кольором. (Виконати на Асемблері) 
- Написати консольний додаток, в якому б курсор рухається в напрямку стрілочок. (Виконати на Асемблері) 
- Написати консольний додаток, в якому вводяться три рядки, визначити з них середній по довжині. (Виконати на Асемблері) 
- Вивести на консольний додаток  ,
	де ,
	де вводиться з екрану. (Виконати на
	Асемблері) вводиться з екрану. (Виконати на
	Асемблері)
WEB-ПРОГРАМУВАННЯ
Теоретичні питання
- Наслідування в Java. 
- Робота з масивами в Java. 
- Механізм потоків в Java. 
- Виняткові ситуації в Java. 
- Робота з файловою системою в РНР. 
- Підтримка MySQL в РНР. 
- Класи об’єкти і оголошення методів в РНР 
- URL – схема Java Script 
- Управління вікнами на JavaScript 
- Управління вікном браузера на Java Script 
Практичні питання
- Написати РНР – сценарій для сортування по зростанню рядків текстового файлу. 
- Виконати обчислення і вивести результати у вікно Java аплета (значення параметрів вводяться у вікні аплета).   
- Вивести час перебування вівідувача на сайті у рядок статусу (виконати на Java Script). 
- Вивести графік функції (виконати на Java)   
- З текстового масиву (елементи масиву слова) вивести всі слова, що починаються на голосні літери. (на РНР). 
- Написати РНР – сценарій для створення, переміщення та видалення файлів через Web сторінку (керування здійснювати через кнопки). 
- Вивести рухомий рядок на Web сторінку (з допомогою Java Script). 
- З текстового файлу вибрати і вивести на Web сторінку найдовший рядок (виконати на РНР) 
- З допомогою Java Script змінити колір фону Web сторінки. 
- З допомогою Java Script вивести дату останньої зміни Web – сторінки 
