- •Численное дифференцирование
- •Вычисление производной по определению
- •Вычисление производной на основе интерполяционного многочлена Лагранжа
- •Численное интегрирование
- •Формула трапеций
- •Формула Симпсона
- •Численное решение дифференциальных уравнений Основные определения и постановка задачи
- •Метод Эйлера
- •Методы Рунге-Кутта
- •Классический метод Рунге-Кутта
Численное дифференцирование
Производной
функции y=f(x)
в точке x0
называется предел отношения приращения
функции y
к приращению аргумента x
при стремлении x
к нулю:
.
Если
производную от функции в данной точке аналитически найти не удается либо
вычисление производной слишком громоздко или занимает очень много времени либо
функция f(x) задана на конечном множестве точек {xi} (i=0,1,…,n),
то необходимо перейти к численному дифференцированию.
Вычисление производной по определению
Вычисление производной по определению применяется, когда известно аналитическое выражение функции y=f(x).
Пусть функция y=f(x)
определена в некоторой окрестности
точки x0 и
имеет производную в этой точке, т.е.
,
Где x=x–x0 ,
y=f(x0+x) – f(x0)
Значение производной
функции y=f(x)
в точке x0
получим, рассматривая последовательность
,
где (x)0 – некоторое начальное приращение аргумента;
a – некоторое число a>1;
n = 0, 1, …
Значение производной
примет вид:
,
где
,
откуда получим:
.
Оценим точность приближения.
Пусть функция y=f(x) имеет непрерывную производную до второго порядка включительно в окрестности точки x0.
По формуле Тейлора
,
откуда
,
где
– максимальное значение производной
на (x, x0).
Окончательно получим:
,
где
Для достижения
заданной степени точности ε при вычислении
производной можно использовать
неравенство:
и, соответственно, последний результат
принимают в качестве производной
функции, вычисленной в точке x
с заданной степенью точности.
Блок-схема вычисления производной по определению:
начало
Ввод
x,e
dF:=(
f(x+dX)- f(x))/dX
dX:=0,1 der1:=dF(x,dX)
dF(x,dX)
конец
e1<e
Вывод
x, der2,e1
конец
+
dX:=dX/a der2:=dF(x,dX) e1:=|der1-der2| der1:=der2
Программа вычисления производной по определению
program deriveFunction;
uses Crt;
const a=10;
var
deltaX, der1, der2, e, e1, x : real;
function F(x : real): real;
begin
f:=sin(x);
end;
{ *** Вычисление производной по определению *** }
function derivF(x, deltaX : real): real;
begin
derivF:=(f(x+deltaX)-f(x))/deltaX;
end;
BEGIN
ClrScr;
writeln('Введите значение х и точность epsilon');
readln(x,e);
deltaX:=0.1; der1:=derivF(x,deltaX);
repeat
deltaX:=deltaX/a;
der2:=derivF(x,deltaX);
e1:=abs(der1-der2);
der1:=der2;
until e1<e;
writeln('x = ',x:4:2, ' производная = ',der2:10:6);
writeln('Погрешность приближения = ', e1);
readln
END.
Вычисление производной на основе интерполяционного многочлена Лагранжа
Вычисление производной на основе интерполяционного многочлена Лагранжа применяется, когда аналитическое выражение функции y=f(x) не известно, а функция y=f(x) задана таблично.
Пусть функция y=f(x) определена на отрезке и в точках {xi} (i=0,1,2,…,n) этого отрезка принимает значения yi=f(xi).
Разность между соседними значениями аргумента xi постоянна и является шагом h=xi– xi-1 (i=1, …,n) разбиения отрезка на n частей, прием a=x0 и b=xn.
Найдем аппроксимации производной первого порядка с помощью значений функций yi в узловых точках xi.
Для того чтобы выразить значения производной через значения функции yi в узлах интерполяции xi, построим интерполяционный многочлен Лагранжа Lm(x) степени m, удовлетворяющий условиям
Lm(x)= f(xk)= yk (k=i, i+1, …, i+m), i+mn
Многочлен Лагранжа Lm(x) интерполирует функцию f(x) на отрезке [xi, xi+m]. Дифференцируя многочлен Lm(x), получаем значения производной в точках {xi} (k=i, i+1, …, i+m).
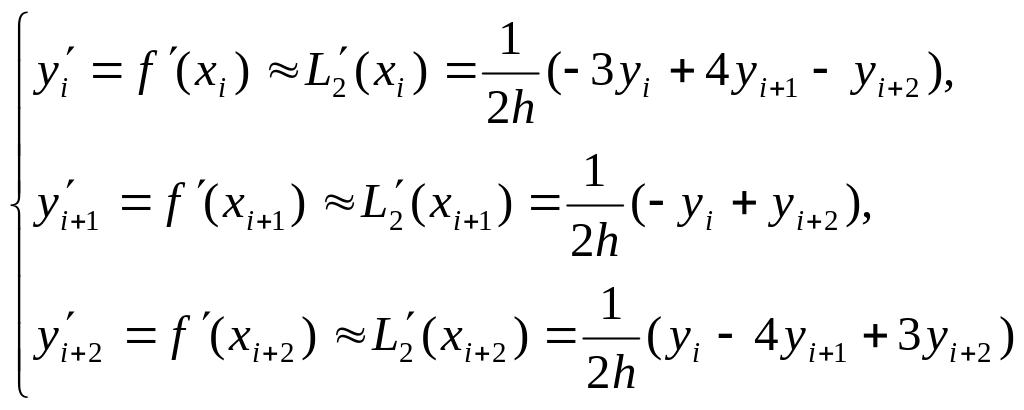
Если m=2, то график интерполяционного многочлена Лагранжа L2(x) – парабола, проходящая через три точки (xi, yi), (xi+1, yi+1) и (xi+2, yi+2).
Вычислим первую производную многочлена L2(x) на отрезке [xi, xi+2]:
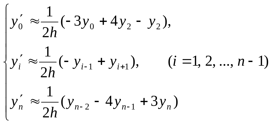
Производная многочлена L2(x) в точках xi, xi+1, xi+2 является приближением производной функции f(x) в этих точках:
(1)
Погрешности при вычислении производных в точках xi, xi+1, xi+2 определяются следующим образом:
(2)
Формулы (2) показывают,
что погрешности аппроксимации первой
производной
с помощью формул (1) имеют один и тот же
порядок O(h2),
таким образом, можно вычислять производную
на отрезке [a,b]
в точках {xi}
(i=0,1,2,…,n)
при n2
по формулам:
(3)
Полагаем, что значения
производных
и
в точках х, близких к точкам xi,
равны соответствующим значениям
и
.
Будем считать точку
близкой к xi,
если она принадлежит промежутку
.
Точки х, близкие к точкам xi,
имеют одно и то же значение параметра
В зависимости от i при n3 используем одну из формул (5).
Программа вычисления производной первого порядка на основе интерполяционного многочлена Лагранжа:
program deriveFunction1order;
const p=15;
type
vector = array [0..p] of real;
var i,n : integer;
a,b,h,x,y1 : real;
y : vector;
BEGIN
repeat
writeln('Введите n - число разбиений отрезка [a,b]');
readln(n);
until (n>=3) and (n<=15);
writeln('Введите координаты концов отрезка [a,b]');
readln(a,b);
writeln('Введите значения функции y[i] в узлах,');
writeln('причем y0=f(a), yn=f(b)');
for i:=0 to n do readln(y[i]);
writeln('Введите x');
readln(x);
h:=(b-a)/n;
i:=trunc((x-a)/h+h/2);
if i=0 then y1:=(-3*y[0]+4*y[1]-y[2])/(2*h);
if (i>0) and (i<n) then y1:=(-y[i-1]+y[i+1])/(2*h);
if i=n then y1:=(y[n-2]-4*y[n-1]+3*y[n])/(2*h);
writeln('x=',x:6:3, 'производная 1 порядка=',y1:10:6);
readln
END.
