 
        
        - •1. Матричная алгебра и теория графов в электроэнергетике
- •1.1. Матричная алгебра
- •1.1.1. Классификация матриц
- •1.1.2. Определитель
- •1.1.3. Миноры и алгебраические дополнения
- •1.1.4. Действия с матрицами
- •1.1.5. Транспонированная матрица
- •1.1.6. Обратная матрица
- •1.1.7. Алгоритм вычисления обратной матрицы
- •Основные свойства обратной матрицы
- •Возведение матрицы в степень
- •1.1.8. Нормы матрицы
- •1.1.9. Ранг матрицы
- •1.2. Теория графов в электроэнергетике
- •1.2.1. Некоторые сведения об электрических системах
- •1.2.2. Геометрический образ электрической сети
- •1.2.3. Уравнения законов Ома и Кирхгофа в матричной форме
- •1.2.4. “Прямой ” расчет токораспределения в электрической сети
- •1.2.5. Метод узловых напряжений
- •1.2.6. Метод контурных токов
- •Контрольные вопросы к разделу 1
- •2. Решение систем линейных и нелинейных алгебраических уравнений
- •2.1. Методы решения систем линейных уравнений
- •2.1.1. Метод обратной матрицы
- •2.1.2. Метод определителей
- •2.1.3. Метод Гаусса
- •2.1.4. Вычисление определителя методом Гаусса
- •2.1.5. Вычисление обратной матрицы методом Гаусса
- •2.1.6. Трангуляция матрицы
- •2.1.7. Метод Жордана-Гаусса
- •2.1.8. Метод простой итерации
- •2.1.9. Метод Зейделя
- •2.2. Методы решения систем нелинейных уравнений
- •2.2.1. Понятие о системах нелинейных уравнений и методах их решения
- •Решение нелинейного уравнения методом Ньютона
- •Решение системы нелинейных уравнений методом Ньютона
- •Контрольные вопросы к разделу 2
- •3. Расчет установившихся режимов электрических сетей
- •3.1. Инженерные методы расчета установившихся режимов электрических сетей
- •3.1.1. Расчет установившегося режима разомкнутой электрической сети методом «в два этапа»
- •3.1.2. Расчет установившегося режима кольцевой электрической сети методом в два этапа
- •3.2. Матричные методы расчета установившихся режимов электрических сетей
- •Линейные уун в формуле баланса токов в узлах.
- •3.2.1. Линейные уун в формуле баланса токов в узлах
- •3.2.2. Определение параметров установившегося режима электрической сети по известным значениям
- •3.2.3. Учет поперечной проводимости при использовании уун
- •3.2.4. Нелинейные уун в форме балансов токов в узлах
- •3.2.5. Нелинейные уун в форме балансов мощностей в узлах
- •Контрольные вопросы к разделу 3
- •4. Математическое программирование в электроэнергетике
- •4.1. Математическая модель задачи оптимизации
- •4.2. Характеристика задач оптимизации
- •4.3. Оптимальное распределение потоков мощности в электрической сети
- •4.4. Градиентный метод
- •4.5. Метод наискорейшего спуска
- •4.6. Учет ограничений в форме неравенств
- •Контрольные вопросы к разделу 4
- •Метод наискорейшего спуска.
- •Список литературы
- Решение нелинейного уравнения методом Ньютона
Рассмотрим применение метода Ньютона сначала для решения одного нелинейного уравнения f(х)=0, где f(х) - непрерывно дифференцируемая функция.
Функцию f(х) можно разложить в ряд Тейлора в окрестностях произвольно взятой точки х(0)
| 
			 | (1) | 
Если в многочлене (1) отбросить производные высших порядков и оставить только линейные члены, то получим
| 
 | 
			 | 
где
 - называется поправкой.
- называется поправкой.
Эта операция называется линеаризацией нелинейного уравнения.
Из линеаризованного уравнения (2) можно выразить поправку
| 
			 | (3) | 
и вычислить новое (первое) приближение к корню
| 
			 | (4) | 
Если
подставить значение 
 в f(х),
то получим невязку
в f(х),
то получим невязку 
 .
По величине невязки
.
По величине невязки 
 можно судить о близости 
к корню. Если невязка 
значительно отличается от нуля, то
требуется вычислять новую поправку
можно судить о близости 
к корню. Если невязка 
значительно отличается от нуля, то
требуется вычислять новую поправку 
 ,
подставляя в линеаризованное уравнение
(2) значение 
.
Вычислительная процедура повторяется
до тех пор, пока очередная невязка не
станет достаточно близкой к нулю.
,
подставляя в линеаризованное уравнение
(2) значение 
.
Вычислительная процедура повторяется
до тех пор, пока очередная невязка не
станет достаточно близкой к нулю.
Таким образом, суть метода Ньютона заключается в линеаризации нелинейного уравнения и решении полученного линейного уравнения на каждой итерации. Значение корня линейного уравнения является очередным приближением к корню решаемого нелинейного уравнения.
Графическая иллюстрация применения метода Ньютона для решения нелинейного уравнения f(х)=0 дана на рисунке.
 
Рис.2.1. Графическая иллюстрация применения метода Ньютона
Как
видно из рисунка, к действительному
корню 
 нелинейного уравнения приближаемся
последовательно от заданного начального
приближения х(0).
нелинейного уравнения приближаемся
последовательно от заданного начального
приближения х(0).
Алгоритм решения нелинейного уравнения f(х)=0 методом Ньютона состоит из следующих действий:
- Задаем начальное приближение х(0). 
- Вычисляем невязку f(х(0)). 
- Определяем  -
	значение производной (как тангенс угла -
	значение производной (как тангенс угла ,
	образованного касательной к кривой в
	точке В с осью х). ,
	образованного касательной к кривой в
	точке В с осью х).
- Вычисляем поправку ∆х(1) (как катет АС прямоугольного треугольника АВС). 
 .
.
- О - f(х) пределяем новое приближение х(1)=х(0)-∆х(1) .
- Вычисляем невязку f(х(1)) и проверяем условие  ε. ε.
Если условие выполняется, то вычислительный процесс заканчивается, в противном случае повторяем действия начиная с 3-го.
Примечание: 1. Значение ε задается в каждом конкретном случае и не должно быть равным нулю, так как итерационный метод не позволяет определить абсолютно точное значение корня (это обычно практически не требуется). Неоправданное снижение значения ε не рекомендуется, поскольку при этом увеличивается число итераций.
 
2. Если у функции f(х)=0 имеется несколько корней, то метод Ньютона позволяет найти вещественный корень и причем только один в области притяжения которого находится начальное приближение.
П
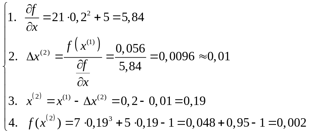
Нужно решить нелинейное уравнение 7х3+5х-1=0 (ε = 0,01)
| 0 итерация | 
			 | Зададим х(0)=0 | 
| Начальная невязка f(х(0))=1| ≥ε | 
1
итерация 
 
|0,056| > ε
2
итерация 
|0,002|< ε
Результаты расчетов целесообразно представить в следующей таблице
| № итерации (к) | 
				 тангенс | ∆х(к) поправка | х(к) приближение | f(х(к)) невязка | 
| 0 | - | - | 0 | -1 | 
| 1 | 5 | -0,2 | 0,2 | 0,056 | 
| 2 | 5,84 | 0,01 | 0,19 | 0,002 | 

 .
. (2)
			    (2) 
 .
. 
