 
        
        - •1.Дисперсия света
- •2. Электронная теория дисперсии
- •3.Поглощение света. Закон Бугера
- •Излучение Вавилова- Черенкова
- •Естественный и поляризационный свет
- •2. Поляроиды. Поляризаторы. Закон Малюса
- •3. Поляризация света при отражении и преломлении на границе двух диэлектриков. Закон Брюстера
- •- Закон Брюстера
- •4. Двойное лучепреломление
- •5. Поляризационные призмы и поляроиды
- •6. Искусственная оптическая анизотропия. Эффект Керра
- •7. Вращение плоскости поляризации
- •Рассеяние света в неоднородных средах. Закон Рэлея.
- •2. Молекулярное рассеяние света
7. Вращение плоскости поляризации
Некоторые вещества, например, скипидар, сахар, кварц, винная кислота является оптически активными. Оптически активные вещества – это вещества, которые способны поворачивать плотность поляризации. Принцип действия оптически активных веществ можно рассматривать на следующей установке, состоящей из поляризатора, анализатора, кюветы с оптически активным веществом.
 
Если поляризатор и анализатор скрещены, то свет через них не проходит, согласно закону Малюса. Если между ними поместить кювету с оптически активным веществом, то глаз наблюдателя начинает попадать свет. Начнем поворачивать анализатор, то при некотором угле φ свет в глаз вновь не попадает, а это значит, что свет, проходя через оптически активное вещество, становится линейно поляризованным. Плоскость поляризации оптически активного вещества поворачивается на угол φ. Угол φ может быть направлен как по часовой стрелке, так и против часовой стрелке. Вещества, которые поворачивают плоскость поляризации по часовой стрелке, называется правовращающими; вещества, которые поворачивают плоскость поляризации против часовой стрелки, называется левовращающими. Правовращающим веществам приписывается φ>0, левовращающим φ<0.
Как показали эксперименты, угол поворота плоскости поляризации φ определяется по формуле (1) для твердых веществ.
φ =αl (1)
и по формуле (2) для жидкостей:
 (2)
  (2)
- длина кюветы с оптически активным веществом
 -
коэффициент вращения на единицу длины.
-
коэффициент вращения на единицу длины.
Если
 ,
то вещество правовращающее,
,
то вещество правовращающее, 
 - вещество левовращающее.
- вещество левовращающее.
В
природе существует целый ряд веществ,
которые существуют в двух модификациях
и правовращающих и левовращающих
(например, кварц, винная кислота). Для
жидкостей с-
объемная весовая концентрация 
 
 -
удельное вращение
-
удельное вращение
 (3)
 (3)
 зависит
от 
падающего света, температуры вещества
и его химического строения. Опыты
показывают, что если вещество оптически
активно в жидком состоянии, то оно
обязательно будет оптически активным
и в твердом состояний. Однако, вещества
оптически активны в кристаллических
состояниях, но не всегда оптически
активны в жидком состоянии. Следовательно,
оптическая активность зависит не только
от химического состава вещества, но и
от особенности расположения частиц в
узлах кристаллической решетки. Явление
вращения плоскости поляризации в
оптически активных веществ объясняется
Френелем. Согласно Френелю вращение
плоскости поляризации, какова бы ни
была его природа, есть проявление особого
так называемого кругового двойного
лучепреломления. Линейнополяризованная
волна, вышедшая из поляризатора Р, может
рассматриваться как суперпозиция двух
волн с противоположным направлением
вращения 
.
зависит
от 
падающего света, температуры вещества
и его химического строения. Опыты
показывают, что если вещество оптически
активно в жидком состоянии, то оно
обязательно будет оптически активным
и в твердом состояний. Однако, вещества
оптически активны в кристаллических
состояниях, но не всегда оптически
активны в жидком состоянии. Следовательно,
оптическая активность зависит не только
от химического состава вещества, но и
от особенности расположения частиц в
узлах кристаллической решетки. Явление
вращения плоскости поляризации в
оптически активных веществ объясняется
Френелем. Согласно Френелю вращение
плоскости поляризации, какова бы ни
была его природа, есть проявление особого
так называемого кругового двойного
лучепреломления. Линейнополяризованная
волна, вышедшая из поляризатора Р, может
рассматриваться как суперпозиция двух
волн с противоположным направлением
вращения 
.
Эти волны имеют одинаковую амплитуду. При выходе из поляризатора результирующая волна
 (1)
   (1)
 -
в проекции на оси координат
-
в проекции на оси координат
 
 -
проекция на оси координат запишется в
виде (2)
-
проекция на оси координат запишется в
виде (2)
  
 
           
 (2)
        (2)
 (3)
     (3)
Формула (3) представляет суперпозицию компонент 1 и 2 волны, то есть волну вышедшую из поляризатора. Мы видим, что компонента вдоль оси у=0, и существует только 1 компонент вдоль ОХ. Действительно, волна вышедшая из поляризатора будет линейнополяризована. Пусть эта волна попадает в оптически активных веществ. Проходя через это вещество, как мы заметили из эксперимента, начинает поворачиваться оптическая ось. Поворот этой оптической оси вызван особыми свойствами оптически активного вещества. Поворот осуществляется на угле φ, и как получено из экспериментов, этот угол оказывается равным
 (4)
    (4)
 -
волновое число
-
волновое число
 -
толщина оптически активного вещества
-
толщина оптически активного вещества
 -
показатель преломления для 1 и 2 волны.
-
показатель преломления для 1 и 2 волны.
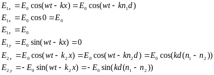
Рассмотрим, как можно получить формулу (4) теоретическим путем. Пусть волна выходит из оптически активного вещества в момент времени
 
Уравнение (1) волны для соответствия компонент с учетом, что затрачиваемое время на прохождения оптически активного вещества запишется в виде:
 
Индекс (0) нолик для волны вышедшей из поляризатора. Этот (0) мы убираем, когда пишем уравнение волны вышедшей из оптически активного вещества. Следовательно, если АВ – оптическая ось является осью симметрии для векторов Е1
и Е2
проводится под углом φ, а угол между Е1
и Е2,
разность фаз равна 2φ, то есть 2φ=kd(n1-
n2).
Е2
проводится под углом φ, а угол между Е1
и Е2,
разность фаз равна 2φ, то есть 2φ=kd(n1-
n2).
Знак
φ в формуле (4) зависит от соотношения
n1
и
 n2.
Если  
 .
.
Следовательно, угол φ определяющий сдвиг плоскости поляризации вызван тем, что провал и левая волна распространяется в пространстве с разными фазовыми скоростями.
 
              
 
Следовательно,
если вещество правовращающий φ>0, то
скорость второй волны больше чем скорость
второй волны; если φ<0, активное вещество
левовращающее; то 
 .
В природе существует так называемые
правые и левые кристаллы. Они имеют
одинаковую химическую природу, но
является зеркальным отражением друг
друга. Никакими пространственными
движениями нельзя совместить их друг
с другом. Такие кристаллы называются
оптическими
изомерами.
.
В природе существует так называемые
правые и левые кристаллы. Они имеют
одинаковую химическую природу, но
является зеркальным отражением друг
друга. Никакими пространственными
движениями нельзя совместить их друг
с другом. Такие кристаллы называются
оптическими
изомерами.
  
  В
природе правые и левые молекулы существует
раздельно друг от друга. Например,
аминокислоты – это оптически активные
вещества и все они левовращающие. Явление
вращения плоскости поляризации лежит
в основе точного метода определения
концентрации вещества. Метод называется
сахарометрией.
  В
природе правые и левые молекулы существует
раздельно друг от друга. Например,
аминокислоты – это оптически активные
вещества и все они левовращающие. Явление
вращения плоскости поляризации лежит
в основе точного метода определения
концентрации вещества. Метод называется
сахарометрией.
                
  
                                               
 (6)
       (6)
Сахариметрия называется также поляриметрией. Фарадеем было обнаружено явление вращения плоскости поляризации под действием магнитного поля. Угол поворота плоскости поляризации φ в случае вращения плоскости определяется формула (7)
 (7)
      (7)
где - толщина активного вещества
     
 -
напряженность продольного магнитного
поля
-
напряженность продольного магнитного
поля
      
 -
постоянная Верде – она зависит от 
падающего света, температуры вещества
и его химического строения.
-
постоянная Верде – она зависит от 
падающего света, температуры вещества
и его химического строения.
Лекция «Рассеяние света»
- Рассеяние света в неоднородных средах. Закон Рэлея. 
- Молекулярное рассеяние света. 
