 
        
        - •Минобрнауки россии
- •I.Тепловой и динамический расчеты автомобильного двигателя.
- •II. Конструирование и расчет деталей автомобильного двигателя.
- •Введение
- •1. Задание на проектирование и выбираемые параметры
- •2. Порядок выполнения теплового расчёта
- •2.2. Параметры свежего заряда
- •2.3. Состав и количество продуктов сгорания
- •2.4. Параметры процесса впуска
- •2.5. Параметры процесса сжатия
- •2.6. Параметры процесса сгорания
- •2.11 Расчет и построение индикаторной диаграммы.
- •3. Порядок выполнения динамического расчета.
- •3.1 Исходные данные.
- •3.2. Последовательность расчёта
- •3.3. Построение графиков динамического расчёта
- •1. Расчёт деталей цилиндровой группы
- •1.1. Расчёт стенки цилиндра (гильзы)
- •1.2. Расчёт силовых шпилек крепления головки
- •2. Расчёт деталей поршневой группы
- •2.1. Расчёт поршня
- •2.2. Расчёт поршневого пальца
- •2.3. Расчёт поршневого кольца
- •3. Расчёт деталей шатунной группы
- •3.1. Расчёт верхней головки шатуна
- •3.2. Расчёт стержня шатуна
- •3.3. Расчёт крышки нижней головки шатуна
- •3.4. Расчёт шатунных болтов
- •4. Расчёт коленчатого вала
- •4.1. Расчёт шеек коленчатого вала на износостойкость
- •4.2. Расчёт коленчатого вала на прочность
- •I положение
- •II положение
- •5. Расчёт деталей механизма газораспределения
- •5.1. Проверка пропускной способности клапана
- •5.2. Профилирование выпуклого гармонического кулачка распределительного вала
- •5.3. Расчёт клапанной пружины
- •5.4. Расчёт штанги привода клапана
- •5.5. Расчёт распределительного вала
- •6. Расчёт элементов системы смазки
- •7. Расчёт элементов системы жидкостного охлаждения
- •Заключение
- •Список используемой литературы
1. Расчёт деталей цилиндровой группы
1.1. Расчёт стенки цилиндра (гильзы)
Толщина стенки цилиндра (гильзы) двигателя водяного охлаждения определяется из условия обеспечения прочности на разрыв по образующей от внутреннего давления газов при вспышке на режиме максимальной мощности.
Толщина стенки цилиндра (гильзы) δЦ, м
 
где D — диаметр
цилиндра, м; 
 — допускаемое нормальное напряжение
на растяжение материала цилиндра, МПа
(для чугуна 
=40…60
МПа, для стали 
=80…100
МПа); p'Z
— действительное давление газов в конце
сгорания, МПа (из теплового расчёта).
— допускаемое нормальное напряжение
на растяжение материала цилиндра, МПа
(для чугуна 
=40…60
МПа, для стали 
=80…100
МПа); p'Z
— действительное давление газов в конце
сгорания, МПа (из теплового расчёта).
Полученное значение δЦ должно быть проверено по условию обеспечения прочности цилиндра в поперечном направлении. Нормальное напряжение растяжения σР в кольцевом сечении цилиндра (гильзы), МПа
 ,
,
 
где FП — площадь днища поршня, м2; DСР — средний диаметр стакана цилиндра (гильзы), м.
1.2. Расчёт силовых шпилек крепления головки
Силовые шпильки крепления головки проверяются на разрыв от силы давления газов при вспышке на режиме максимальной мощности с учётом предварительной затяжки.
Расчётное усилие для шпильки PШП, МН
 
где k — коэффициент,
учитывающий предварительную затяжку
(k=1,25); FПР
— площадь проекции камеры сгорания на
плоскость, перпендикулярную оси цилиндра,
м2 (при верхнем расположении
клапанов 
 ,
iШП —
количество шпилек (болтов), приходящееся
на один цилиндр при верхнем расположении
клапанов iШП=4…6,
,
iШП —
количество шпилек (болтов), приходящееся
на один цилиндр при верхнем расположении
клапанов iШП=4…6,
Напряжение разрыва шпильки σР, МПа
 
где fmin — площадь минимального сечения шпильки или болта, м2; — допускаемое нормальное напряжение на растяжение материала шпильки, МПа (для простых углеродистых сталей =100…150 МПа, для легированных сталей =320…540 МПа).
2. Расчёт деталей поршневой группы
2.1. Расчёт поршня
При расчёте поршня проверяют на прочность днище, поперечное сечение, ослабленное отверстиями для отвода масла, а также износостойкость юбки.
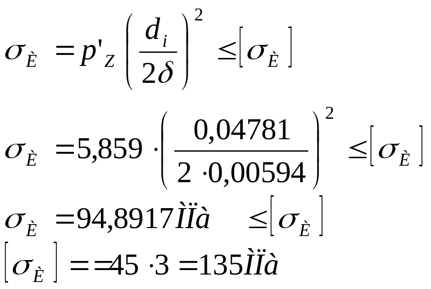
Днище поршня проверяется на поперечный изгиб как круглая плита, свободно опирающаяся на цилиндр и нагруженная равномерно распределённой нагрузкой максимального давления газов при вспышке.
Максимальное напряжение изгиба в диаметральном сечении днища поршня σИ, МПа
 
При наличии рёбер жёсткости на днище
поршня величины 
 могут быть увеличены в 3…4 раза
могут быть увеличены в 3…4 раза
где di =0,066-2*(0,0066+0,00297)+0,00095=0,04781м - внутренний диаметр стакана поршня в зоне первого поршневого кольца, м;
δ=0,09*0,066=0,00594м — толщина днища поршня, м;
— допускаемое нормальное напряжение изгиба материала поршня, МПа (для алюминиевого сплава =20…25 МПа, для чугуна =40…50 МПа).
s=0,1*0,066=0,0066м
t=0,045*0,066=0,00297м
 t=0,00095мм
t=0,00095мм
Значения величин di и δ приведены в справочной литературе [1, табл. 12.1].
Сечение "Х—Х" головки поршня на уровне нижнего маслосъёмного кольца, ослабленное отверстиями для отвода масла, проверяется на сжатие и разрыв.
Напряжения сжатия σСЖ, МПа возникают от максимальной силы давления газов при вспышке на режиме максимального крутящего момента:
 
где pZ
=6,893МПа — расчётное давление газов в
конце сгорания,  FХ–Х
— площадь сечения "Х—Х"
поршня, м2; 
 — допускаемое нормальное напряжение
сжатия материала поршня, МПа (для
алюминиевого сплава
— допускаемое нормальное напряжение
сжатия материала поршня, МПа (для
алюминиевого сплава 
 =30…40
МПа, для чугуна 
=60…80
МПа).
=30…40
МПа, для чугуна 
=60…80
МПа).
Площадь FХ–Х определяется по формуле
 
где s — толщина стенки
головки поршня, м; n'M
=6 — число масляных отверстий в поршне;
dM
 м
— диаметр масляного канала, м.
м
— диаметр масляного канала, м.
 высота
кольца, м
высота
кольца, м
Значения величин s, n'M и dM принимаются по данным справочной литературы [1, табл. 12.1].
Напряжения разрыва в сечении "Х—Х" возникают от силы инерции возвратно-поступательно движущейся массы головки поршня с поршневыми кольцами, расположенной выше сечения "Х—Х", в момент, когда поршень проходит ВМТ (на границе тактов выпуска и впуска) на режиме максимальной частоты вращения.
Напряжение разрыва σР, МПа
 
где PjГП
— сила инерции возвратно-поступательно
движущейся массы головки поршня, МН; 
 — допускаемое нормальное напряжение
растяжения материала поршня, МПа (для
алюминиевого сплава 
=4…10
МПа, для чугуна 
=8…20
МПа).
— допускаемое нормальное напряжение
растяжения материала поршня, МПа (для
алюминиевого сплава 
=4…10
МПа, для чугуна 
=8…20
МПа).
Сила инерции PjГП, МН
 
где m'ГП
— конструктивная масса головки поршня
с кольцами, расположенная выше сечения
"Х—Х", кг/м2 ( );
m'П = 90 —
конструктивная масса поршневой группы,
кг/м2 (из динамического расчёта);
ωхх — максимально допустимая
угловая скорость коленчатого вала
двигателя на режиме холостого хода, с-1
(для карбюраторных двигателей
);
m'П = 90 —
конструктивная масса поршневой группы,
кг/м2 (из динамического расчёта);
ωхх — максимально допустимая
угловая скорость коленчатого вала
двигателя на режиме холостого хода, с-1
(для карбюраторных двигателей 
 ;
nN
=7000 — номинальная частота вращения
коленчатого вала, об/мин; R
— радиус кривошипа, м;
;
nN
=7000 — номинальная частота вращения
коленчатого вала, об/мин; R
— радиус кривошипа, м; 
 — отношение радиуса кривошипа к длине
шатуна (из динамического расчёта).
— отношение радиуса кривошипа к длине
шатуна (из динамического расчёта).
Юбка поршня проверяется на износостойкость (удельное давление) от максимальной боковой силы на режиме максимальной мощности.
Удельное давление на юбку поршня qЮ, МПа
 
где PБ —
максимальная боковая (нормальная) сила,
действующая на стенку цилиндра, МН ( );
);
hЮ
=0,75*0,066=0,0495 — высота юбки поршня, м [1,
табл. 12.1]; 
 — допускаемое удельное давление на
юбку поршня, МПа (
=0,3…1,0
МПа).
— допускаемое удельное давление на
юбку поршня, МПа (
=0,3…1,0
МПа).
