- •Минобрнауки россии
- •I.Тепловой и динамический расчеты автомобильного двигателя.
- •II. Конструирование и расчет деталей автомобильного двигателя.
- •Введение
- •1. Задание на проектирование и выбираемые параметры
- •2. Порядок выполнения теплового расчёта
- •2.2. Параметры свежего заряда
- •2.3. Состав и количество продуктов сгорания
- •2.4. Параметры процесса впуска
- •2.5. Параметры процесса сжатия
- •2.6. Параметры процесса сгорания
- •2.11 Расчет и построение индикаторной диаграммы.
- •3. Порядок выполнения динамического расчета.
- •3.1 Исходные данные.
- •3.2. Последовательность расчёта
- •3.3. Построение графиков динамического расчёта
- •1. Расчёт деталей цилиндровой группы
- •1.1. Расчёт стенки цилиндра (гильзы)
- •1.2. Расчёт силовых шпилек крепления головки
- •2. Расчёт деталей поршневой группы
- •2.1. Расчёт поршня
- •2.2. Расчёт поршневого пальца
- •2.3. Расчёт поршневого кольца
- •3. Расчёт деталей шатунной группы
- •3.1. Расчёт верхней головки шатуна
- •3.2. Расчёт стержня шатуна
- •3.3. Расчёт крышки нижней головки шатуна
- •3.4. Расчёт шатунных болтов
- •4. Расчёт коленчатого вала
- •4.1. Расчёт шеек коленчатого вала на износостойкость
- •4.2. Расчёт коленчатого вала на прочность
- •I положение
- •II положение
- •5. Расчёт деталей механизма газораспределения
- •5.1. Проверка пропускной способности клапана
- •5.2. Профилирование выпуклого гармонического кулачка распределительного вала
- •5.3. Расчёт клапанной пружины
- •5.4. Расчёт штанги привода клапана
- •5.5. Расчёт распределительного вала
- •6. Расчёт элементов системы смазки
- •7. Расчёт элементов системы жидкостного охлаждения
- •Заключение
- •Список используемой литературы
2.3. Состав и количество продуктов сгорания
Количество отдельных составляющих продуктов сгорания:
— для карбюраторных двигателей (1):
;
;
;
;
,
где
—
отношение числа молей водорода и окиси
углерода (К=0,45-0,50);
Суммарное количество продуктов сгорания М2, кмоль/кг:
— для карбюраторных двигателей
;
Приращение объёма в результате сгорания
,
кмоль/кг
.
Теоретический коэффициент молекулярного изменения 0
.
2.4. Параметры процесса впуска
Плотность заряда (воздуха) на впуске 0, кг/м3
,
где p0 — давление окружающей среды, МПа; в — молярная масса воздуха, кг/кмоль; R — универсальная газовая постоянная (R=8,314 Дж/(мольК));
Т0 — температура окружающей среды, К.
Давление в конце впуска pa, МПа
,
где (2+) — суммарный коэффициент, учитывающий гашение скорости и сопротивление впускной системы; wвп — скорость движения заряда в наименьшем сечении впускной системы, м/с.
Рекомендуется принимать (2+)=2,5-3,5 и wвп=70-110 м/с (меньшие значения для дизелей).
Коэффициент остаточных газов ост
,
где Т — температура подогрева заряда, К; Тr — температура остаточных газов, К; pr — давление остаточных газов, МПа; — степень сжатия.
Температура в конце впуска Тa, К
.
Коэффициент наполнения v
.
2.5. Параметры процесса сжатия
Давление в конце сжатия pС, МПа
,
где n1 — показатель политропы сжатия.
Температура в конце сжатия ТС, К
.
2.6. Параметры процесса сгорания
Действительный коэффициент молекулярного изменения д
.
Количество теплоты, не выделившееся вследствие неполноты сгорания Ни, кДж/кг (для карбюраторных двигателей при 1).
.
Теплота сгорания рабочей смеси Нсм, кДж/кмоль
,
где Ни — низшая теплота сгорания топлива, кДж/кг.
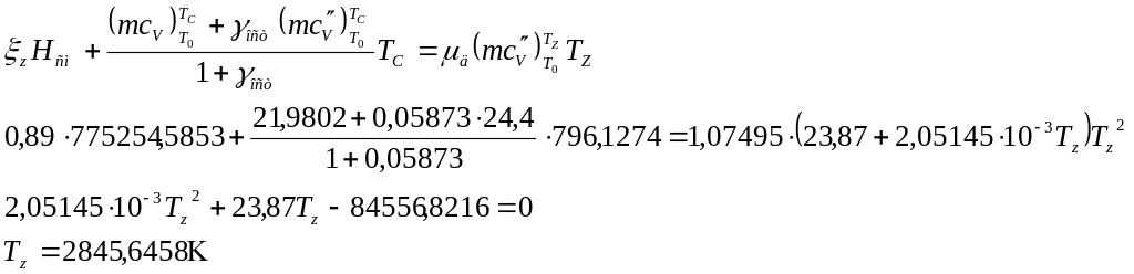
Уравнения сгорания:
— для карбюраторного двигателя
где z
— коэффициент использования теплоты;
— средняя мольная теплоёмкость свежего
заряда в конце сжатия, Дж/(мольК);
— средняя мольная теплоёмкость остаточных
газов в конце сжатия, Дж/(мольК);
— средняя мольная теплоёмкость продуктов
сгорания в конце сгорания, Дж/(мольК);
— степень
повышения давления при сгорании; TZ
— температура в конце сгорания, К.
Теплоёмкость свежего заряда
.
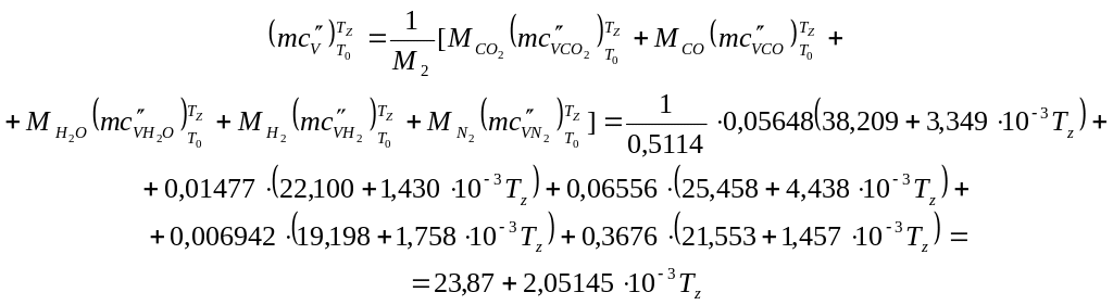
Средняя мольная теплоёмкость продуктов сгорания при температуре TZ:
— для карбюраторных двигателей
Средняя мольная теплоёмкость остаточных газов в конце сжатия для соответствующей температуры TC (в градусах Цельсия) и коэффициента избытка воздуха определяется путём интерполяции табличных значений, приведённых в справочной литературе [1, табл. 3.8, 3.9].
Каждое из уравнений после подстановки выражений для и численных значений других известных величин превращается в обычное квадратное уравнение вида
,
решаемое известными способами относительно величины TZ (A, B и C — постоянные коэффициенты).
Давление газов в конце сгорания pZ, МПа
— для карбюраторных двигателей
расчётное
;
действительное
;
Степень повышения давления (для карбюраторных двигателей)
.
2.7. Параметры процесса расширения
Давление газов в конце расширения pb, МПа
— для карбюраторных двигателей
;
Температура в конце расширения Tb, К
— для карбюраторных двигателей
;
Проверку правильности предварительного выбора температуры остаточных газов Tr осуществляют по формуле
.
При этом относительная погрешность
не должна превышать 5-7%.
2.8. Индикаторные показатели цикла
Среднее индикаторное давление цикла
(расчётное)
,
МПа
— для карбюраторных двигателей
;
Среднее индикаторное давление цикла
(действительное)
,
МПа
,
где — коэффициент скругления индикаторной диаграммы.
Индикаторный КПД i
.
Удельный индикаторный расход топлива gi, г/(кВтч)
.
2.9. Эффективные показатели рабочего цикла
Давление механических потерь pM, МПа
— для карбюраторных двигателей
при i8,
S/D1
;
где vср — средняя скорость поршня (vср=10-15 м/с).
Среднее эффективное давление pe, МПа
.
Механический КПД м
.
Эффективный КПД е
.
Удельный эффективный расход топлива gе, г/(кВтч)
.
2.10. Основные размеры двигателя
Литраж двигателя Vл, л
,
где Nmax — максимальная мощность двигателя, кВт; — тактность двигателя; nN — номинальная частота вращения коленчатого вала двигателя, об/мин.
Рабочий объём цилиндра Vh, л
где i — число цилиндров двигателя.
Диаметр цилиндра D, мм
,
где m=S/D — отношение хода поршня к диаметру цилиндра.
Ход поршня S, мм
.
Величины D и S, выраженные в миллиметрах, округляются до ближайших целых чисел, после чего по ним окончательно определяются параметры двигателя:
литраж двигателя, л
;
максимальная мощность, кВт
;
литровая мощность, кВт/л
;
часовой расход топлива, кг/ч
;
средняя скорость поршня, м/с
.
