- •Минобрнауки россии
- •I.Тепловой и динамический расчеты автомобильного двигателя.
- •II. Конструирование и расчет деталей автомобильного двигателя.
- •Введение
- •1. Задание на проектирование и выбираемые параметры
- •2. Порядок выполнения теплового расчёта
- •2.2. Параметры свежего заряда
- •2.3. Состав и количество продуктов сгорания
- •2.4. Параметры процесса впуска
- •2.5. Параметры процесса сжатия
- •2.6. Параметры процесса сгорания
- •2.11 Расчет и построение индикаторной диаграммы.
- •3. Порядок выполнения динамического расчета.
- •3.1 Исходные данные.
- •3.2. Последовательность расчёта
- •3.3. Построение графиков динамического расчёта
- •1. Расчёт деталей цилиндровой группы
- •1.1. Расчёт стенки цилиндра (гильзы)
- •1.2. Расчёт силовых шпилек крепления головки
- •2. Расчёт деталей поршневой группы
- •2.1. Расчёт поршня
- •2.2. Расчёт поршневого пальца
- •2.3. Расчёт поршневого кольца
- •3. Расчёт деталей шатунной группы
- •3.1. Расчёт верхней головки шатуна
- •3.2. Расчёт стержня шатуна
- •3.3. Расчёт крышки нижней головки шатуна
- •3.4. Расчёт шатунных болтов
- •4. Расчёт коленчатого вала
- •4.1. Расчёт шеек коленчатого вала на износостойкость
- •4.2. Расчёт коленчатого вала на прочность
- •I положение
- •II положение
- •5. Расчёт деталей механизма газораспределения
- •5.1. Проверка пропускной способности клапана
- •5.2. Профилирование выпуклого гармонического кулачка распределительного вала
- •5.3. Расчёт клапанной пружины
- •5.4. Расчёт штанги привода клапана
- •5.5. Расчёт распределительного вала
- •6. Расчёт элементов системы смазки
- •7. Расчёт элементов системы жидкостного охлаждения
- •Заключение
- •Список используемой литературы
5.4. Расчёт штанги привода клапана
Штанга рассчитывается на продольную устойчивость от действия максимальной суммарной нагрузки, приведённой к оси штанги, в момент открытия выпускного клапана.
Расчётное суммарное усилие PШТ, МН
где
— сила избыточного давления газов на
выпускной клапан в момент его открытия,
приведённая к оси толкателя (штанги),
МН;
— сила предварительного сжатия пружины,
приведённая к оси толкателя, МН;
— максимальная сила инерции подвижных
масс клапанного механизма в начале
движения клапана, приведённая к оси
толкателя, МН.
Указанные силы определяются по формулам:
где p'b — давление в цилиндре в момент открытия выпускного клапана, МПа (определяется по индикаторной диаграмме с учётом φОП= 60º); p'r≈p0=0,1 МПа.
Критическая сила
,
МН
где IШТ — момент инерции сечения штанги, м4; Е — модуль упругости материала штанги, МПа (для стали Е=2,2·105 МПа, для алюминиевого сплава Е=0,7·105 МПа); lШТ= 0,025м — длина штанги, м.
Момент инерции сечения штанги IШТ, м4
,
где DШТ и dШТ — наружный и внутренний диаметры штанги, м,
Значениями величин lШТ = 0,25м, DШТ= 0,01м и dШТ= 0,006м необходимо задаться, исходя из конструктивных соображений.
Запас устойчивости штанги nШТ
где
— минимально допустимый запас устойчивости
штанги (
=2…5).
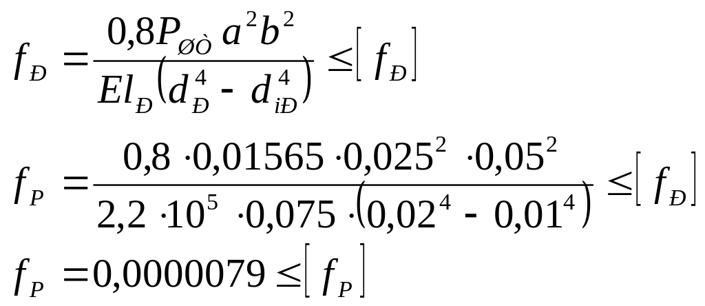
5.5. Расчёт распределительного вала
При расчёте распредвала определяют стрелу его прогиба под действием максимальной суммарной силы на кулачок со стороны привода в момент открытия выпускного клапана. Вал считают двухопорной разрезной балкой, нагруженной сосредоточенной силой в месте действия толкателя.
Стрела прогиба распределительного вала fР, м
где a, b,
lР — линейные
размеры пролёта распредвала, м; dР,
diР
— наружный и внутренний диаметры
распредвала, м (значения a,
b, lР,
dР и diР
принимаются конструктивно);
— максимально допустимая стрела прогиба,
м (
=(0,02…0,05)·10-3
м).
6. Расчёт элементов системы смазки
Расчёт элементов системы смазки заключается в определении размеров шестерён масляного насоса. Этому расчёту предшествует определение циркуляционного расхода масла в системе, который зависит от количества отводимого маслом от двигателя тепла.
Теоретический циркуляционный расход масла VM0, м3/с
где QM — количество тепла, отводимое маслом от двигателя за одну секунду, кДж/с; ρМ — плотность масла, кг/м3 (ρМ=900 кг/м3); сМ — средняя массовая теплоёмкость масла, кДж/(кг·К) (сМ=2,094 кДж/(кг·К)); ΔТМ — температура нагрева масла в двигателе, К (ΔТМ=10…15 К).
Количество тепла, отводимое маслом от двигателя за одну секунду, QM, кДж/с
где QТ —количество теплоты, выделяемое топливом за одну секунду, кДж/с; Nmax — максимальная мощность двигателя, кВт; ηе — эффективный КПД (из теплового расчёта).
Действительный циркуляционный расход топлива VМД, м3/с
Расчётная производительность насоса VМР, м3/с
где ηН — объёмный коэффициент подачи насоса, (ηН=0,6…0,8).
Длина зуба шестерни масляного насоса b, м
где m — модуль зуба шестерни масляного насоса, м (m=(3…6)·10-3 м); z — число зубьев шестерни масляного насоса (z=6…12); ωН — угловая скорость вала масляного насоса, с-1.
Угловая скорость вала насоса ωН определяется по формуле
где uН —
окружная скорость точек наружного
диаметра шестерни, м/с (uН=8…10
м/с); DН —
наружный диаметр шестерни, м (
).
Мощность, затрачиваемая на привод масляного насоса NН, кВт
где pМ — давление масла в системе смазки, МПа (для карбюраторных двигателей pМ=0,3…0,5 МПа, для дизелей pМ=0,3…0,7 МПа); ηМЕХ — механический КПД масляного насоса (ηМЕХ=0,85…0,90).
