 
        
        - •Міністерство освіти і науки національний університет водного господарства та природокористування Математичні методи і моделі
- •Основні теоретичні відомості Постановка завдання інтерполяції
- •Розділені різниці. Інтерполяційний багаточлен Ньютона.
- •Похибка інтерполяції
- •Інтерполяційні формули Ньютона у разі рівновіддалених вузлів
- •Зразок виконання лабораторної роботи
- •Література
Міністерство освіти і науки національний університет водного господарства та природокористування Математичні методи і моделі
Методичні вказівки до лабораторних занять № 6 для студентів для напряму підготовки 6.080101 ,,Геодезія, картографія та землеустрій”
Рівне–2013
УДК 378+004
ББК 32. 973
Т 47
Математичні методи і моделі. Методичні вказівки до лабораторних занять № 6 для студентів для напряму підготовки 6.080101 ,,Геодезія, картографія та землеустрій” – Рівне: НУВГП, 2013. – 12 с.
Укладач: Ю.Й. Тулашвілі
Рецензенти:
Відповідальний за випуск: Ю.Й. Тулашвілі
Рекомендовано методичною комісією за галуззю знань 0403 "Системні науки та кібернетика", протокол № від 2013 року.
© Ю.Й. Тулашвілі 2013
Основні теоретичні відомості Постановка завдання інтерполяції
Нехай
на відрізку [a, b] задані n+1 точки 
 ,
які називаються вузлами інтерполяції,
і значення деякої функції
,
які називаються вузлами інтерполяції,
і значення деякої функції 
 в цих точках
в цих точках 
 .
Треба побудувати функцію
.
Треба побудувати функцію 
 (інтерполююча функція), що належить
відомому класу і що має у вузлах
інтерполяції ті ж значення, що і 
,
тобто таку, що
(інтерполююча функція), що належить
відомому класу і що має у вузлах
інтерполяції ті ж значення, що і 
,
тобто таку, що 
 .
.							
     
Геометрично
це означає, що треба знайти криву 
 деякого певного типу, що проходить через
задану систему точок
деякого певного типу, що проходить через
задану систему точок 
 .
.
Отриману інтерполяційну формулу зазвичай використовують для наближеного обчислення значень певної функції для значень аргументу х, відмінних від вузлів інтерполяції. Така операція називається інтерполяцією функції .
У такій
загальній постановці завдання може
мати незліченну безліч рішень або зовсім
не мати їх. Проте це завдання стає
однозначним, якщо замість довільної
функції 
шукати поліном 
 із степенем не вище
із степенем не вище 
 ,
що задовольняє умовам (1), тобто такий,
що
,
що задовольняє умовам (1), тобто такий,
що 
 .
.
Інтерполяційний багаточлен Лагранжа
Якщо
вузли 
 різні, то існує єдиний   інтерполяційний
багаточлен 
із степенем 
.
Його можна записувати в різних формах.
Розглянемо інтерполяційний багаточлен
Лагранжа і Ньютона. У формі Лагранжа
інтерполяційний багаточлен 
має вигляд
різні, то існує єдиний   інтерполяційний
багаточлен 
із степенем 
.
Його можна записувати в різних формах.
Розглянемо інтерполяційний багаточлен
Лагранжа і Ньютона. У формі Лагранжа
інтерполяційний багаточлен 
має вигляд  
               		 (1)
                                         (1)                         
                      
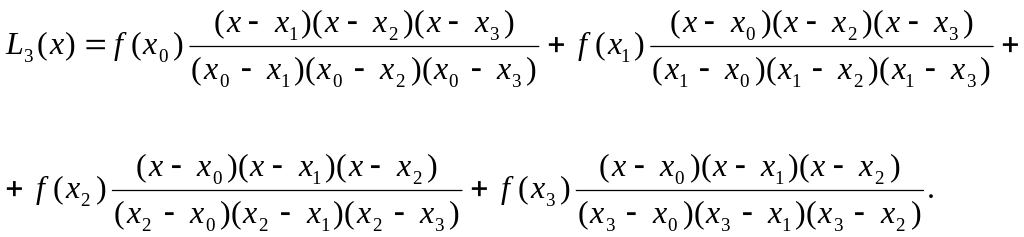
Наприклад,
 
 
 
Розділені різниці. Інтерполяційний багаточлен Ньютона.
Щоб
ознайомитися з інтерполяційним
багаточленом у формі Ньютона, введемо
в розгляд поняття розділена різниця.
Значення 
 функції 
у вузлах називаються розділеними
різницями нульового порядку. Числа виду
функції 
у вузлах називаються розділеними
різницями нульового порядку. Числа виду
 називаються розділеними різницями
першого порядку.
називаються розділеними різницями
першого порядку.
Розділена
різниця 
-го
порядку визначається через розділені
різниці 
 -го
порядку по реккурентной формулі
-го
порядку по реккурентной формулі 
 .
.					
Розділену
різницю 
 -го
порядку (
-го
порядку ( )
можна виразити через
)
можна виразити через 
 по наступній формулі:
по наступній формулі: 
 .
 .         
                                                          
Наприклад,
 .
.
Тобто, розділена різниця - симетрична функція своїх аргументів. За допомогою розділених різниць інтерполяційний багаточлен у формі Ньютона можна записати таким чином:
 (2)
	
     (2)
