- •6.1.1. Поняття невизначеного інтеграла
- •6.1.2. Основні властивості невизначеного інтеграла
- •Закінчення табл.
- •Робоча формула
- •Узагальнена формула інтегрування частинами:
- •1. Інтегрування основних простих дробів
- •Стислі відомості про алгебраїчні рівняння
- •Тотожна рівність двох многочленів
- •Розклад многочлена з дійсними коефіцієнтами
- •6. Розклад правильного раціонального дробу на найпростіші
- •6.1.7. Інтегрування раціональних дробів: інший підхід
- •Властивості раціональних функцій
- •6.1.8. Інтегрування ірраціональних виразів
- •6.1.9. Біноміальний диференціал
- •6.1.10. Інтегрування тригонометричних виразів
Стислі відомості про алгебраїчні рівняння
Теорема
(Безу).
При діленні многочлена
на
остача від ділення дорівнює
.
Доведення.
Поділивши
на
,
дістанемо частку
і остачу
Звідси
Нехай
,
тоді
Д
ано
Поділимо
на
Отже,
.
Водночас за теоремою Безу
.
Наслідок.
Для того, щоб многочлен
ділився без остачі на
,
необхідно і достатньо, щоб
Сформулюємо без доведення основну теорему алгебри, автором якої є К. Гаусс.
Теорема.
Будь-який алгебраїчний многочлен при
має дійсний (або комплексний) корінь.
З теореми Гаусса випливає, що кожний многочлен n-го степеня можна розкласти на множники:
,
де
— корені цього многочлена.
Тотожна рівність двох многочленів
Розглянемо два многочлени n-го степеня:
,
.
Означення.
Якщо
тобто
всі відповідні коефіцієнти многочленів
рівні між собою, то говорять, що многочлени
і
тотожно рівні між собою. Записують:
.
Теорема.
Якщо
,
то відповідні коефіцієнти много-
членів
однакові:
.
Теорема.
Якщо значення двох многочленів n-го
степеня збігаються в
точці, то многочлени тотожно рівні між
собою.
Розклад многочлена з дійсними коефіцієнтами
Теорема.
Якщо многочлен з дійсними коефіцієнтами
має комплексний корінь
,
то він має і комплексно спряжений корінь
.
Візьмемо довільний многочлен з дійсними коефіцієнтами й розкладемо його на лінійні множники:
.
Серед коренів можуть бути дійсні та комплексні. Згрупувавши однакові корені, дістанемо:
де
— дійсні корені многочлена
;
— цілі числа, так зва-
ні кратності
коренів многочлена;
— цілі числа, так звані крат-
ності
квадратних тричленів;
— дійсні числа. При цьому
,
де n
— степінь многочлена
.
6. Розклад правильного раціонального дробу на найпростіші
Теорема 2.3.
Якщо
— правильний раціональний дріб, то його
можна записати у вигляді:
,
де всі дроби є правильними.
Теорема 2.4. Правильний раціональний дріб
у
разі, якщо
не ділиться на
,
можна подати у вигляді:
Теорема
(Ейлера). 2.5.
Нехай
— правильний раціональний дріб, знаменник
якого записано в зазначеному щойно
вигляді, тоді цей дріб можна єдиним
чином подати як суму найпростіших
дробів:
Наведений вираз називається розкладом раціонального дробу на найпростіші дроби.
Для
визначення невідомих коефіцієнтів
існують кілька способів.
Рівність
між многочленом
у лівій частині і многочленом у правій
частині має виконуватися для всіх
,
тому коефіцієнти при однакових степенях
в обох частинах мають збігатися. Зрівнюючи
їх, дістаємо систему лінійних алгебраїчних
рівнянь відносно
невідомих коефіцієнтів. Цей метод
знаходження коефіцієнтів
розкладу правильного раціонального
дробу на суму найпростіших дробів
називається методом
невизначених коефіцієнтів.
● Зведемо ліву і праву частини до спільного знаменника:
1.
Якщо
містить
лінійних множників, то, підставляючи в
обидві частини останньої рівності
замість х
значення відповідних коренів, знайдемо
коефіцієнти:
2.
Підставивши в обидві частини цієї ж
рівності замість х
певні значення (наприклад,
отримаємо систему алгебраїчних рівнянь,
розв’язавши яку знайдемо коефіці-
єнти
Інший шлях: коефіцієнти
знайдемо методом невизначених
коефіцієнтів. Потрібно розкрити дужки,
звести подібні члени й розв’язати
утворену систему рівнянь.
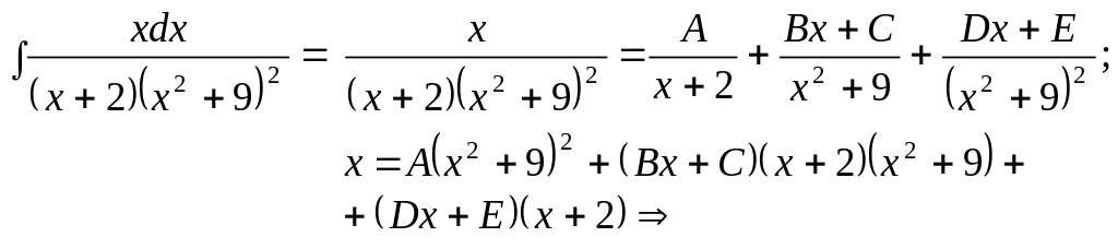
З
найти
.
●
Розкладаємо спочатку підінтегральний дріб на прості дроби за теоремою 2.5
Коефіцієнт
знайдемо підставлянням значення кореня
:
Коефіцієнти
знайдемо методом невизначених
коефіцієнтів:
Степені |
Рівності, отримані при порівнянні коефіцієнтів при відповідних степенях |
З
найти
.
●
З
найти
.
