- •Практическое занятие 1 Расчет вентиляционных систем производственных помещений
- •Приложение 1.1
- •Практическое занятие 2 Расчет производственного освещения
- •4. Решение типовых задач
- •4.4. Указания к самостоятельному решению задач
- •Приложение 2.5
- •Приложение 2.6
- •Практическое занятие 3 Расчет заземлений
- •4. Решение типовых задач
- •Практическое занятие 4 Расчет высоты молниеотводов
- •1. Содержание занятия
- •2. Самостоятельная подготовка к занятию
- •3. Контрольные вопросы
- •4. Решение типовых задач
- •Практическое занятие 5 Расчет границы санитарно-защитной зоны от
- •4. Решение типовых задач
- •Практическое занятие 6 Расчет производственного шума
- •4. Решение типовых задач
- •Практическое занятие 7 Расчеты по пожарной безопасности
- •1. Содержание занятия
- •2. Самостоятельная подготовка к занятию
- •5. Ответить на контрольные вопросы.
- •3. Контрольные вопросы
- •4. Решение типовых задач
- •Приложение 7.1
Практическое занятие 6 Расчет производственного шума
Цель занятия: Освоить инженерные методы расчета снижения уровня шума от авиационных двигателей самолетов в гражданской авиации и приобрести навыки работы с нормативной документацией по шуму.
Задание: Определить снижение уровня шума при удалении рабочего места от источника шума, оценить необходимость применения средств индивидуальной защиты.
1. Содержание занятия
1. Рассчитать уровень шума на боковом удалении 60м. от работающего двигателя в зонах максимального излучения (под углом соответственно 45 и 150 от основной струи).
2. Определить средства индивидуальной защиты для техников на стоянке самолетов при определенном техническом обслуживании.
2. Самостоятельная подготовка к занятию
1. Изучить лекционный материал по теме "Защита от шума и вибрации" и литературу [1, с.112 – 126], [5, с.101 – 125]; [2].
2. Ознакомиться с ГОСТ 12.1.003-86 ССБТ. Шум. Общие требования безопасности, ОСТ 54.72.004-82 ССБТ. Акустические экраны для защиты от шума на предприятиях гражданской авиации. Общие требования.
3. Ответить на контрольные вопросы.
3. Контрольные вопросы
1. Назовите основные физические характеристики шума и дайте их аналитическое определение.
2. Какими параметрами определяется величина шума, создаваемого реактивной струей, компрессором (вентилятором)?
3. Как производится нормирование производственного шума на местности? Производственного шума на рабочих местах?
4. Укажите направление максимальной интенсивности шума, излучаемого реактивной струей, компрессором, воздушным винтом.
5. Назовите основные методы снижения шума применительно к условиям эксплуатационных предприятий гражданской авиации.
6. Объясните физические основы ослабления шума при удалении от источника.
7. В чем сущность понятия "звукоизолирующая способность ограждений"? Каким способом она определяется?
8. В чем сущность понятия "звукопоглощающие свойства материалов и конструкций" и методы их определения?
9. Назовите основные средства индивидуальной защиты.
4. Решение типовых задач
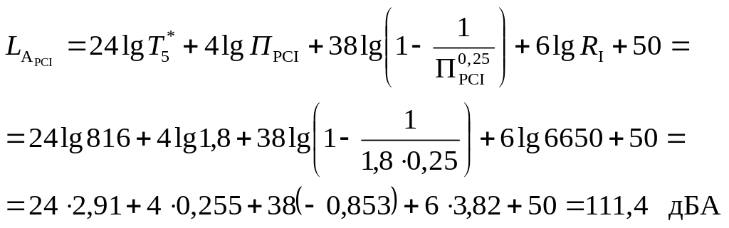
Задача 1. Рассчитать уровень шума в децибелах на рабочих местах авиатехников на перроне при техническом обслуживании самолетов в зоне максимальной интенсивности излучения шума реактивной струи и компрессора от одного авиационного двигателя Аи – 25.
Исходные данные: Линейное удаление рабочих мест от среза сопла шумящего авиадвигателя – 60м; степень расширения на срезе реактивного сопла ПP.CI = 1,82; ПP.CII = 1,75; полная температура газа на срезе реактивного сопла первого контура Т5* = 816 К; тяга двигателя первого контура RI = 6650 Н; второго контура RII = 8380 Н, окружная скорость первой ступени компрессора u =357 м\с; массовый расход воздуха m = 42,7 кг\с; К.П.Д. P.CII = 0,5.
4.1. Указание к решению задачи 1
4.1.1 Максимальный линейный уровень шума от реактивной струи первого контура на удалении 60 м.
4.1.2 Линейный уровень шума от реактивной струи второго контура на удалении 60 м.
4.1.3 Линейный шум от компрессора.
Из расчета видно, что на рабочих местах, расположенных на боковом удалении 60 м от двигателя Аи-25 в зонах максимального излучения под углом 45 и 150 от оси струи, уровень шума составляет 111,4, 112,8 и 110,3 дБА. Это значит, что техники должны использовать средства индивидуальной защиты.
Задача 2. На основании измерений в зоне работы техника при оперативном техническом обслуживании шум от трех двигателей самолета Ту-154 на расстоянии 60м от среза ближнего сопла LА = 110 дБА, а спектр шума на его рабочем месте приведен в табл. 6.1.
Определить средства индивидуальной защиты из табл. 6.2.,которые обеспечили бы надлежащие условия труда техника в течении 8ч. рабочего дня.
Таблица 6.1
Спектр шума на рабочем месте техника.
f, Гц |
63 |
125 |
250 |
500 |
1000 |
2000 |
4000 |
8000 |
L,дБ |
95 |
105 |
100 |
100 |
99 |
97 |
104 |
102 |
Таблица 6.2
Эффективность снижения шума средством индивидуальной защиты.
Тип СИЗ |
f, Гц |
|||||||
63 |
125 |
250 |
500 |
1000 |
2000 |
4000 |
8000 |
|
Ватный тампон Гарнитур АГ-2 Гарнитур Г-63 Наушники ВЦНИИОТ-2 |
- - -
- |
3 1 22
7 |
3 1 25
10 |
3 3 28
14 |
8 2 30
22 |
15 10 34
35 |
15 15 40
47 |
16 17 42
38 |
4.2. Указания к решению задачи 2
4.2.1 Определить по спектрам, какие частоты превышают нормируемые.
4.2.2 По табл. 6.2. подобрать средства индивидуальной защиты, которые обеспечивают снижение шума.
4.2.3 Составить таблицу: фактический спектр дБ, указанный в ГОСТ 12.1.003-86, превышение фактического уровня, название средства индивидуальной защиты, отклонения в превышении.
5. Задача для самостоятельного решения
Задача 3. Рассчитать уровень шума на рабочих местах техников, удаленных на 60 м от среза сопла, для техников обслуживающих самолеты с двигателями, приведенными в табл. 6.3.
Таблица 6.3
Исходные данные для расчета задачи 3
Вар. |
Тип двигателя |
RI, H |
RII, H |
m, кг/с |
u, m/c |
ПPCI |
ПPCII |
T5, K |
Все |
Д-20П |
20850+10*N |
34150+15*N |
113+2*N |
396+3*N |
1,93+0.37*N |
2,4+0.43*N |
980+2*N |
5.1. Указания к решению задачи 3
5.1.1 Исходные данные для большого числа вариантов преподаватель подбирает со студентами в зависимости от того с какими двигателями и самолетами в период практики работал студент, какие двигатели и самолеты будет проектировать студент в дипломном проекте.
5.1.2.Расчет следует проводить в соответствии с указаниями 4.1.1 – 4.1.3 настоящего практического занятия.
5.1.3.Для большего числа вариантов преподаватель может менять некоторые параметры двигателей.
