- •Практическое занятие 1 Расчет вентиляционных систем производственных помещений
- •Приложение 1.1
- •Практическое занятие 2 Расчет производственного освещения
- •4. Решение типовых задач
- •4.4. Указания к самостоятельному решению задач
- •Приложение 2.5
- •Приложение 2.6
- •Практическое занятие 3 Расчет заземлений
- •4. Решение типовых задач
- •Практическое занятие 4 Расчет высоты молниеотводов
- •1. Содержание занятия
- •2. Самостоятельная подготовка к занятию
- •3. Контрольные вопросы
- •4. Решение типовых задач
- •Практическое занятие 5 Расчет границы санитарно-защитной зоны от
- •4. Решение типовых задач
- •Практическое занятие 6 Расчет производственного шума
- •4. Решение типовых задач
- •Практическое занятие 7 Расчеты по пожарной безопасности
- •1. Содержание занятия
- •2. Самостоятельная подготовка к занятию
- •5. Ответить на контрольные вопросы.
- •3. Контрольные вопросы
- •4. Решение типовых задач
- •Приложение 7.1
Приложение 2.5
Лампы типа ДРЛ
Мощность, Вт |
80 |
125 |
250 |
400 |
700 |
1000 |
Световой поток, лм |
2000 |
4000 |
10000 |
18000 |
33000 |
50000 |
Приложение 2.6
Люминесцентные лампы, 220 В
Мощность, Вт |
Световой поток, лм |
||||
ЛДЦ |
ЛД |
ЛХБ |
ЛТБ |
ЛБ |
|
15 20 30 40 65 80 |
500 820 1450 2100 3050 3560 |
590 920 1040 2340 3570 4070 |
675 935 1720 2600 3820 4440 |
700 975 1720 2580 3980 4440 |
760 1180 2100 3000 4550 5220 |
Практическое занятие 3 Расчет заземлений
Цель занятия: Освоить инженерные методы расчета заземлений, их устройство, размещение и приобрести навыки работы с нормативными документами по электробезопасности.
Задание: Определить количество заземлений, длину соединительной полосы и размеры контура заземления.
1. Содержание занятия
Расчет заземляющих устройств для электроустановок с напряжением до 1000 В.
Расчет заземляющих устройств для защиты от статического электричества.
Расчет шагового напряжения на поверхности земли при замыканиях тока на землю.
2. Самостоятельная подготовка к занятию
Изучить лекционный материал темы "Шаговое напряжение", "Защитное заземление" и [2, с. 160-168]; [3, с. 67-78]; [4, с. 26-29; с. 45-60]; [5, с. 183-185; с. 191-195]; [3, с. 65-88].
Ответить на контрольные вопросы
3. Контрольные вопросы
В чем сущность, и какова область применения защитного заземления?
Каковы нормы сопротивления защитного заземления? Дать обоснование этих норм.
В каких случаях применяется защитное зануление, почему в этих случаях применение защитного заземления неэффективно?
Почему запрещена установка в нулевой провод предохранителей и выключателей?
В чем сущность, и какова область применения защитного отключения?
Каковы достоинства и недостатки схемы защитного отключения на напряжении корпуса относительно земли?
Каковы причины возникновения шагового напряжения?
На каком расстоянии от места замыкания опасно шаговое напряжение?
Норма сопротивления заземления для защиты от статического электричества.
Объяснить механизм электризации топлива, почему сопротивление заземления для разрядов статического электричества значительно больше, чем для защитного заземления электроустановок?
4. Решение типовых задач
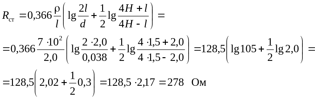
Задача 1. Определить необходимое количество заземлителей заземления для защиты от статического электричества при условии, что rз 100 Ом. В качестве одиночного заземлителя используется стержень стальной, диаметр d = 38 мм, длина l = 2,0 м, забитый от поверхности земли (грунт-песок) на глубину Н0 = 0,5 м. Расстояние между стержнями a = 2,0 м.
4.1. Указание к решению задачи 1
4.1.1 Примем удельное сопротивление песка = 7·102 Ом·м (табл. 3.1). Глубина заложения:
Н = Н0 + 0,5l = 0,5 + 0,5·2,0 =1,5 м.
4.1.2 Сопротивление одиночного стержневого заземлителя
Отношение a/l = 1.
Количество заземлителей n при коэффициенте = 0,75 (взятым из табл. 3.2)
Округлим и принимаем количество труб, соединенных полосой сваркой, n = 4.
Таблица 3.1
Удельные сопротивления
Грунт |
Удельное сопротивление, , Ом·м·102 |
Грунт |
Удельное сопротивление, , Ом·м·102 |
Песок |
7 (4 – 7) |
Глина |
0,4 (0,08 – 0,7) |
Супесок |
3 (1,5 – 4) |
Торф |
0,2 (0,01 – 0,3) |
Чернозем |
0,2 (0,09 – 0,53) |
Вода речная |
0,5 (0,1 – 1,0) |
Суглинок |
1 (0,4 – 1,5) |
Вода морская |
0,01(0,002 – 0,01) |
Примечание: 1. Значение удельных сопротивление грунтов дано при их влажности 10 – 20 %.
2. В скобках приведены придельные значения колебаний удельного сопротивления в зависимости от влажности.
Таблица 3.2
Коэффициенты использования одиночных заземлителей
Число стержней (уголков) в контуре |
ст; уг |
пол |
При a/l = 1 3 4 6 10 20 40 |
0,75 0,65 0,60 0,55 0,50 0,40 |
0,50 0,45 0,40 0,35 0,25 0,20 |
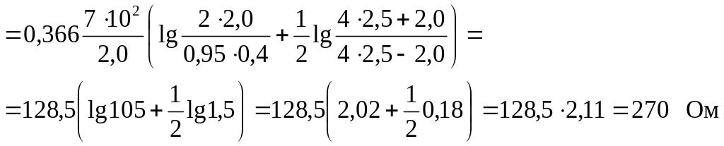
Задача 2. Определить количество заземлителей и длину соединительной полосы контурного заземляющего устройства на стоянке самолетов для защиты от статического электричества. Сопротивление контура Rи 100 Ом. Одиночный заземлитель – стальной уголок, полка b = 40 мм, длина l = 2,0 м, глубина заложения Нуг = 2,5 м (грунт – песок). Расстояние между уголками a = 2,0 м (отношение a/l = 1). Уголки соединены стальной полосы 40 40 мм, с помощью сварки.
4.2. Указание к решению задачи 2
4.2.1 Примем d = 0,95b, = 7·102 Ом·м. Сопротивление одиночного заземлителя из стального уголка
4.2.2 Ориентировочно приняв количество забитых уголков n = 3 шт., определим длину соединительных полос
l1 = na = 3 · 2,0 = 6 м.
Глубина заложения полос Нпол = 1,5 м.
4.2.3 Определим сопротивление растекания тока в земле от стальной полосы
Коэффициенты уг и пол для отношения a/l = 1 при n = 3 выберем из табл. 3.2. Коэффициенты уг = 0,75и пол = 0,5.
4.2.4 Сопротивление контурного заземляющего устройства
Полученное значение сопротивление контурного заземляющего устройства меньше нормируемого (rк.з < 100 Ом), поэтому принимаем количество заземлителей n = 3, а длину соединительных полос l = 6 м.
Задача 3. Рассчитать контурное заземление подстанции 6/0,4 кВ. На подстанции два понижающих трансформатора 6/0,4 кВ, у которых нейтрали заземлены на стороне 0,4 кВ. Подстанция размещается в кирпичном здании размером 1015 м. Вблизи подстанции частично зарыта в землю металлическая конструкция, которую можно использовать в качестве естественного заземлителя с сопротивлением растекания тока с учетом сезонных колебаний Rе = 40 Ом. Протяженность кабельных линий 6 кВ, lкл = 80 км, воздушных – lвл = 50 км. В качестве одиночных вертикальных заземлителей будут использоваться стальные стержни длиной lв = 5 м, диаметром d = 16 мм, верхние концы стержней будут соединяться стальной полосой Нпол = сечением 440 мм, уложенной в землю на глубине t = 0,8 м. Вертикальные заземлители, главным образом, располагаются в суглинке с удельным сопротивлением грунта в = 110 Ом·м, а горизонтальная стальная полоса b = 0,04 м в черноземе с удельным сопротивлением пол = 190 Ом·м (табл. 3.1).
4.3. Указания к решению задачи 3
4.3.1 Определим ток замыкания на землю, Iз, А на стороне 6 кВ
,
где U – линейное напряжение сети, кВ; lкл, lвл – длины кабельных и воздушных линий, км.
.
4.3.2 Сопротивление контурного заземления принимаем общим для установок 6 кВ и 0,4 кВ. В соответствии с ПЭУ-86 оно должно быть:
4.3.3 Требуемое сопротивление искусственного заземления с учетом использования естественного заземлителя будет равно
Разместим предварительно заземлители на плане с учетом размеров подстанции. Заземлители располагаем по периметру подстанции на расстоянии a = 5 м друг от друга. Их количество составит: n = 12 шт., а длина соединительной полосы lпол=an=5·12=60 м.
Рассчитаем сопротивление растеканию тока от одиночного вертикального заземлителя, Rст, Ом, и от соединительной полосы Rпол, Ом, по формулам:
По табл. 3.2 определим коэффициенты использования одиночных заземлителей при отношении a/lв = 5/5 = 1 и n = 12 шт., ст = 0,55 и соединительной полосы пол = 0,35.
4.3.5 Сопротивление искусственного контурного заземления Rr.к.з определим по формуле
Рассчитанное сопротивление искусственного контурного заземления больше, чем Rи = 2,78 Ом, поэтому принимаем решение увеличить в контуре заземлителя количество вертикальных заземлителей до 13 шт. Затем вновь по табл. 3.2 находим коэффициенты использования ст = 0,54 и пол = 0,33 при a/l = 1 и вычисляем:
,
т.е. сопротивление равно требуемому 2,78 Ом.
Таким образом, контурное заземление подстанции состоит из 13 вертикальных стержней длиной 5 м, диаметром 16 мм, забитых по периметру здания подстанции на расстоянии 5 м друг от друга, соединенных стальной полосой длиной 65 м, сечением 440 мм, на глубине 0,8 м и подключенных к естественному заземлителю путем сварки.
Задача 4. Рассчитать защитное заземление подстанции 110/35/6 кВ, расположенное в двухслойном грунте по допустимому сопротивлению.
Исходные данные. На подстанции установлено два понижающих трансформатора: 110/35/6 кВ с эффективно заземленной нейтралью со стороны 110 кВ и понижающий трансформатор 6/0,4 кВ с глухозаземленной нейтралью со стороны низшего напряжения. На подстанции установлены распределительные устройства 110 кВ и 35 кВ открытого и 6 кВ закрытого типов. Площадь подстанции, на которой будет размещаться контур заземления, S = 7300 м2. Контур заземления будет выполняться вертикальными стержневыми заземлителями длиной lст = 5,5 м, диаметром d = 20 мм, забитыми в грунт по периметру территории подстанции, и горизонтальными полосовыми электродами сечением 440 мм, заложенными в грунт на глубину Нпол = 0,8 м, соединяющими вертикальные заземлители в виде сетки. Расчетные удельные сопротивления верхнего слоя грунта – 1 = 300 Ом·м, нижнего – 2 = 100 Ом·м при толщине верхнего слоя земли h1 = 3,5 м.
Предполагается в дополнение к искусственному контурному заземлению использовать естественный заземлитель – систему трос-пара двух воздушных линий электропередачи 110 кВ, подходящих к подстанции на металлических опорах с длинной пролета между опорами lпрол = 240 м. Сечение стального грозозащитного троса каждой воздушной линии электропередач S = 60 мм2. Сопротивление заземления одной опоры примем с учетом сезонных колебаний, rоп = 15 Ом, количество опор с тросом на каждой воздушной линии электропередач больше 25 шт. Ток замыкания Iз на землю на стороне 110 кВ примем равным 4,5 кА, на стороне 35 кВ – 45 А, на стороне 6 кВ – 25 А.
4.4. Указания к решению задачи 4
4.4.1 Норма сопротивления защитного заземления подстанции (с большими токами замыкания на землю) в соответствии с ПЭУ-86 должна быть Rи 0,05 Ом.
4.4.2 В первую очередь рассчитаем сопротивление растеканию тока от естественного заземлителя – двух линий электропередач 110 кВ системы трос-опоры. Сопротивление растеканию тока от грозозащитной системы трос-опоры Rе (Ом) при количестве опор с тросом более 20 определяем по приближенной формуле
где rоп – принятое сопротивление заземления одной опоры, Ом; nт – количество тросов на опоре, принимаем nт = 1 шт., rт – активное сопротивление грозозащитного троса на длине одного пролета, определяется: rт = 0,15lпрол/S, Ом; lпрол – длина троса в пролете между опорами; S – сечение стального троса, мм2.
4.4.3 Сопротивление искусственного заземления Rи, которое нужно будет устроить с учетом естественного Rе = 1,5 Ом и нормируемого Rи = 0,5 Ом равно
.
4.4.4 На территории подстанции площадью S = 7300 м2 размещаем контурный заземлитель в виде сетки. Он состоит из вертикальных стержней и горизонтальных полос, соединяющими вертикальные стержни по периметру. Для выравнивания потенциалов горизонтальные полосы прокладывают между сторонами контура заземлителя на глубине Нпол = 0,8 м. Рассчитываемый контур должен охватывать распределительные устройства и основные вспомогательные здания и сооружения подстанции.
4.4.5 Предварительно суммарная длина горизонтальных полос контура lпол = 1360 м; количество вертикальных заземлителей, забитых в землю только по периметру контура, ориентировочно примем n = 36 шт.
4.4.6 Расчетная модель контура заземления в виде квадратной сетки площадью S = 7300 м2 будет иметь длину одной стороны lстор
Количество ячеек m, по одной стороне расчетной модели определиться по формуле:
Принимаем m = 7.
Уточненная расчетная суммарная длина полос l1пол, м, составит:
Длина стороны b ячейки в расчетной модели
Расстояние a между вертикальными стержнями
.
Суммарная длина вертикальных заземлителей lст, забитых по периметру контура:
4.4.7 Относительная глубина погружения tотн верхней части вертикального стержневого заземлителя, которая находится в верхнем слое грунта:
.
Относительная глубина погружения lотн верхней части вертикального стержневого заземлителя, которая находится в верхнем слое грунта:
.
4.4.8 Расчетное эквивалентное удельное сопротивление земли з сложного группового заземлителя в виде горизонтальной сетки с ячейками одинакового размера определим по формуле
,
где 1 и2 – удельное сопротивление верхнего и нижнего слоев грунта соответственно, Ом·м; k – показатель степени при 1 1/2 10 определяется по формуле
Тогда
4.4.9 Определим сопротивление искусственного контурного заземления Rк.з подстанции
,
где А – коэффициент при 0 < tотн < 0,1 определяется из выражения:
А = 0,444 – 0,84tотн=0,444 – 0,84·0,074 = 0,382 Ом
Тогда
4.4.10 Сопротивление искусственного контурного заземления Rк.з = 0,72 Ом меньше, чем необходимое Rи = 0,75 Ом, поэтому рассчитанный контур заземления принимаем.
Сопротивление контурного группового заземления подстанции с учетом естественного заземления составит
Сопротивление Rк.г.з = 0,486 Ом меньше, чем Rн = 0,5 Ом и поэтому рассчитанный контур искусственного заземления удовлетворяет условию задачи.
4.4.11 потенциал контурного заземления в аварийный период составит
АВ = Iз · Rк.г.з = 4500 · 0,486 = 2187 В.
Такой потенциал допустим, так как он меньше 10000 В.
5. Задачи для самостоятельного решения
Задача 5. Рассчитать систему искусственного заземления электроустановок в аэропорту. Определить объект (по норме заземления rн Ом) заземления. Исходные данные приведены в табл. 3.3; 3.4. Номер варианта определяется по двум последним цифрам зачетной книжки. Например, вариант 38, исходные данные берем из табл. 3.3 и графы 3, а из табл. 3.4 из графы 8.
5.1. Указания к решению задачи 5
5.1.1 Удельное сопротивление грунта
= измКс,
где изм – удельное сопротивление грунта измеренное, берется из табл. 3.1; Кс – коэффициент сезонности из табл. 3.3.
5.1.2 Определяем сопротивление одиночного заземлителя, количество заземлителей, коэффициенты использования одиночного заземлителя и полосы (по табл. 3.2) и указаниям 4.1, 4.2, 4.3 настоящего практического занятия.
Таблица 3.3
Исходные данные для задачи 5
Исходные данные |
Первая цифра номера варианта |
|||||||||
0 |
1 |
2 |
3 |
4 |
5 |
6 |
7 |
8 |
9 |
|
Грунт |
песок |
супесок |
чернозем |
суглинок |
глина |
торф |
вода речная |
вода морская |
песок |
супесок |
Коэффициент увеличения удельного сопротивления грунта (коэффициент сезонности (Кс)) |
2,0 |
1,5 |
1,5 |
1,6 |
1,1 |
1,8 |
2,2 |
2,1 |
1,1 |
1,9 |
Таблица 3.3
Исходные данные для задачи 5
Элементы заземления, их размеры, м |
Вторая цифра номера варианта |
|||||||||
0 |
1 |
2 |
3 |
4 |
5 |
6 |
7 |
8 |
9 |
|
Заземлители стальные стержни. Длина l, м |
2,0 |
2,1 |
2,2 |
2,3 |
2,4 |
2,5 |
2,6 |
2,7 |
2,8 |
2,9 |
Диаметр d, м |
0,025 |
0,032 |
0,038 |
0,050 |
0,038 |
0,025 |
0,038 |
0,038 |
0,025 |
0,050 |
Глубина заложения Н, м |
1,8 |
2,0 |
1,8 |
1,9 |
2,0 |
2,2 |
2,3 |
2,1 |
2,2 |
2,3 |
Полосовая сталь. Ширина b, м |
0,04 |
0,04 |
0,10 |
0,04 |
0,10 |
0,04 |
0,10 |
0,04 |
0,04 |
0,10 |
Нормы сопротивления контура заземления rн, Ом |
2 |
4 |
8 |
10 |
0,5 |
4 |
8 |
10 |
2 |
0,5 |
Задача 6. Определить шагового напряжения, которое может воздействовать на человека на расстоянии x = 1,0; 1,5; 2,0; 2,5; 3,0; 2,5; 4,0; 4,5; 5,0; 5,5 м от места замыкания электрического тока на землю. Ток замыкания на землю Iз = 100; 105; 110; 115; 120; 125; 125; 130; 135; 140; 145 А. Величина шага а = 0,8 м, удельное сопротивление грунта = 1000 Ом·м.
5.2. Указание к решению задачи 6
5.2.1 Для решения задачи изучить материал [2, с. 160-168]; [4, с. 26-29]; [5, с. 183-185].
5.2.2 Для вариантов задачи использовать по одному значению x и Iз из приведенных в задаче. Значение для всех десяти вариантов одинаково.
